Ионные комплексы на основе дисульфопроизводных антрахинона как перспективный органический неголит проточных редокс-батарей
- Авторы: Петров М.М.1, Чикин Д.В.1, Крючков А.Д.2, Абунаева Л.З.1, Антипов А.Е.1, Скорб Е.В.2
-
Учреждения:
- НОЛ ЭМХИТ, Российский химико-технологический университет им. Д.И. Менделеева
- НОЦ Инфохимии Университета ИТМО
- Выпуск: Том 59, № 4 (2023)
- Страницы: 235-246
- Раздел: Статьи
- URL: https://ogarev-online.ru/0424-8570/article/view/139266
- DOI: https://doi.org/10.31857/S0424857023040114
- EDN: https://elibrary.ru/AQQIYM
- ID: 139266
Цитировать
Полный текст
Аннотация
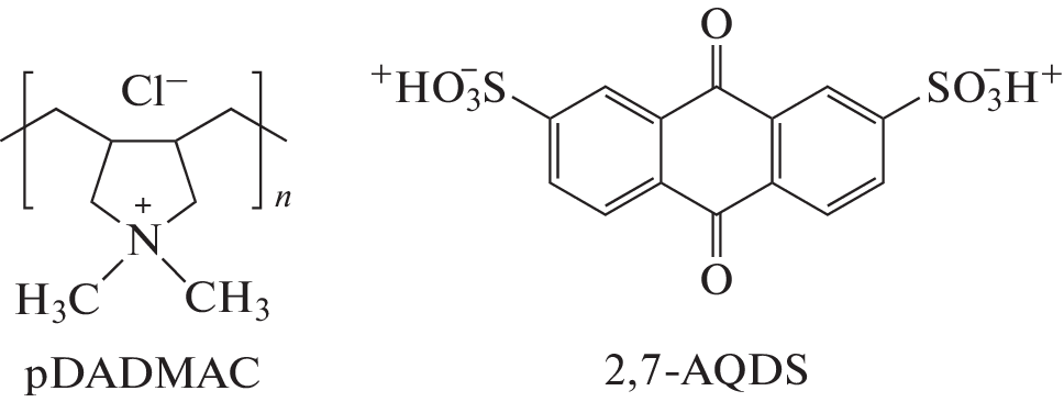
2,7-дисульфокислота антрахинона (AQDS) – это органическое электроактивное соединение, которое, благодаря своим высокой растворимости, а также обратимости и скорости протекающих редокс-реакций, перспективно для изготовления электролитов проточных редокс-батарей и других энергетических применений. Однако его широкое применение на данный момент ограничено – прежде всего из-за склонности к побочным химическим реакциям и образованию хингидронных комплексов между различными редокс-формами молекулы. В работе изучается возможность нейтрализации этих недостатков за счет простого метода функционализации AQDS с введением поликатиона полидиаллилдиметиламмония (pDADMAC). Показано, что в данной смеси образуются ионные комплексы, что приводит к подавлению образования хингидронных соединений. При этом смеси pDADMAC/AQDS сохраняют редокс-активность и могут быть использованы в качестве неголита антрахинон-бромной проточной редокс-батареи (АБПРБ), а все ключевые характеристики такой батареи оказываются сопоставимы с АБПРБ, использующей чистую AQDS. Для pDADMAC/AQDS c 0.1 М AQDS разрядная мощность при состоянии заряда батареи 100% составляет 105 мВт/см2, при 50% – 65 мВт/см2, а энергетическая эффективность по итогам 5 заряд-разрядных циклов составляла 57.4%. В перспективе состав ионных комплексов pDADMAC/AQDS может быть оптимизирован так, чтобы сохранить редокс-характеристики и растворимость AQDS и одновременно обеспечить снижение интенсивности побочных химических реакций, в том числе образования хингидронных комплексов.
Об авторах
М. М. Петров
НОЛ ЭМХИТ, Российский химико-технологический университет им. Д.И. Менделеева
Email: mikepetrovm@gmail.com
Россия, Москва
Д. В. Чикин
НОЛ ЭМХИТ, Российский химико-технологический университет им. Д.И. Менделеева
Email: mikepetrovm@gmail.com
Россия, Москва
А. Д. Крючков
НОЦ Инфохимии Университета ИТМО
Email: mikepetrovm@gmail.com
Россия, Санкт-Петербург
Л. З. Абунаева
НОЛ ЭМХИТ, Российский химико-технологический университет им. Д.И. Менделеева
Email: mikepetrovm@gmail.com
Россия, Москва
А. Е. Антипов
НОЛ ЭМХИТ, Российский химико-технологический университет им. Д.И. Менделеева
Email: mikepetrovm@gmail.com
Россия, Москва
Е. В. Скорб
НОЦ Инфохимии Университета ИТМО
Автор, ответственный за переписку.
Email: mikepetrovm@gmail.com
Россия, Санкт-Петербург
Список литературы
- Sánchez-Díez, E., Ventosa, E., Guarnieri, M., Trovò, A., Flox, C., Marcilla, R., Soavi, F., Mazur, P., Aranzabe, E., and Ferret, R., Redox flow batteries: Status and perspective towards sustainable stationary energy storage, J. Power Sources, 2021, vol. 481, p. 228804.
- Петров, М.М., Модестов, А.Д., Конев, Д.В., Антипов, А.Е., Локтионов, П.А., Пичугов, Р.Д., Карташова, Н.В., Глазков, А.Т., Абунаева, Л.З., Андреев, В.Н., Воротынцев М.А. Проточные редокс-батареи: место в современной структуре электроэнергетики и сравнительные характеристики основных типов. Успехи химии. 2021. № 90(6). С. 677. [Petrov, M.M., Modestov, A.D., Konev, D.V., Antipov, A.E., Loktionov, P.A., Pichugov, R.D., Kartashova, N.V., Glazkov, A.T., Abunaeva, L.Z., Andreev, V.N., and Vorotyntsev, M.A., Redox flow batteries: role in modern electric power industry and comparative characteristics of the main types, Russ. Chem. Rev., 2021, vol. 90, no. 6, p. 677.]
- Winsberg, J., Hagemann, T., Janoschka, T., Hager, M., and Schubert, U., Redox-Flow Batteries: From Metals to Organic Redox-Active Materials, Angew. Chemie, 2017, vol. 56, no. 3, p. 686.
- Minke, C., Kunz, U., and Turek, T., Techno-economic assessment of novel vanadium redox flow batteries with large-area cells, J. Power Sources, 2017, vol. 361, p. 105.
- Huskinson, B., Marshak, M., Suh, C., Er, S., Gerhardt, M., Galvin, C., Chen, X., Aspuru-Guzik, A., Gordon, R., and Aziz, M., A metal-free organic-inorganic aqueous flow battery, Nature, 2014, vol. 505, no. 7482, p. 195.
- Chen, Q., Gerhardt, M., Hartle, L., and Aziz, M., A Quinone-Bromide Flow Battery with 1 W/cm2 Power Density, J. Electrochem. Soc., 2016, vol. 163, no. 1, p. A5010.
- Chen, Q., Eisenach, L., and Aziz, M.J., Cycling Analysis of a Quinone-Bromide Redox Flow Battery, J. Electrochem. Soc., 2016, vol. 163, no. 1, p. A5057.
- Lee, W., Permatasari, A., Kwon, B., and Kwon, Y., Performance evaluation of aqueous organic redox flow battery using anthraquinone-2,7-disulfonic acid disodium salt and potassium iodide redox couple, Chem. Eng. J., 2019, vol. 358, p. 1438.
- Lee, W., Permatasari, A., and Kwon, Y., Neutral pH aqueous redox flow batteries using an anthraquinone-ferrocyanide redox couple, J. Mater. Chem. C, 2020, vol. 8, no. 17, p. 5727.
- Cao, J., Zhu, Z., Xu, J., Tao, M., and Chen, Z., Nitrogen-doped porous graphene as a highly efficient cathodic electrocatalyst for aqueous organic redox flow battery application, J. Mater. Chem. A, 2017, vol. 5, no. 17, p. 7944.
- Ruan, W., Mao, J., and Chen, Q., Redox flow batteries toward more soluble anthraquinone derivatives, Curr. Opin. Electrochem., 2021, vol. 29, p. 100748.
- Martinez, C.M., Zhu, X., and Logan, B.E., AQDS immobilized solid-phase redox mediators and their role during bioelectricity generation and RR2 decolorization in air-cathode single-chamber microbial fuel cells, Bioelectrochemistry, 2017, vol. 118, p. 123.
- Santos, M.S.S., Peixoto, L., Azevedo, J., Monteiro, R.A.R., Dias-Ferreira, C., Alves, M.M., and Mendes, A., Microbially-charged electrochemical fuel for energy storage in a redox flow cell, J. Power Sources, 2020, vol. 445, p. 227307.
- Wei, Z., Almakrami, H., Lin, G., Agar, E., and Liu, F., An organic-inorganic hybrid photoelectrochemical storage cell for improved solar energy storage, Electrochim. Acta, 2018, vol. 263, p. 570.
- Li, W., Fu, H.-C., Li, L., Cabán-Acevedo, M., He, J.-H., and Jin, S., Integrated Photoelectro-chemical Solar Energy Conversion and Organic Redox Flow Battery Devices, Angew. Chemie, 2016, vol. 55, no. 42, p. 13104.
- Kwabi, D.G., Ji, Y., and Aziz, M.J., Electrolyte Lifetime in Aqueous Organic Redox Flow Batteries: A Critical Review, Chem. Rev., 2020, vol. 120, no. 14, p. 6467.
- Goulet, M.A., Tong, L., Pollack, D.A., Tabor, D.P., Odom, S.A., Aspuru-Guzik A., Kwan, E.E., Gordon, R.G., and Aziz, M.J., Extending the lifetime of organic flow batteries via redox state management, J. Amer. Chem. Soc., 2020, vol. 141, no. 20, p. 8014.
- Carney, T.J., Collins, S.J., Moore, J.S., and Brushett, F.R., Concentration-Dependent Dimerization of Anthraquinone Disulfonic Acid and Its Impact on Charge Storage, Chem. Mater., 2017, vol. 29, no. 11, p. 4801.
- Wiberg, C., Carney, T., Brushett, F., Ahlberg, E., and Wang, E., Dimerization of 9,10-anthraquinone-2,7-Disulfonic acid (AQDS), Electrochim. Acta, 2019, vol. 317, p. 478.
- Chai, J., Wang, X., Lashgari, A., Williams, C., and Jiang, J., A pH-Neutral, Aqueous Redox Flow Battery with a 3600-Cycle Lifetime : Micellization-Enabled High Stability and Crossover Suppression, ChemSusChem, 2020, vol. 13, no. 1, p. 4069.
- Kozhunova, E.Y., Gvozdik, N.A., Motyakin, M.V., Vyshivannaya, O.V., Stevenson, K.J., Itkis, D.M., and Chertovich, A.V., Redox-Active Aqueous Microgels for Energy Storage Applications, J. Phys. Chem. Lett., 2020, vol. 11, p. 10561.
- Korshunov, A., Gibalova, A., Grünebaum, M., Ravoo, B., Winter, M., and Cekic-Laskovic, I., Host-Guest Interactions Enhance the Performance of Viologen Electrolytes for Aqueous Organic Redox Flow Batteries, Batteries & Supercaps, 2021, vol. 4, p. 923.
- Montoto, E.C., Nagarjuna, G., Hui, J., Burgess, M., Sekerak, N.M., Hernández-Burgos, K., Wei, T.-S., Kneer, M., Grolman, J., Cheng, K.J., Lewis, J.A., Moore, J.S., and Rodríguez-López, J., Redox Active Colloids as Discrete Energy Storage Carriers, J. Amer. Chem. Soc., 2016, vol. 138, p. 13230.
- Ivanov, A.S., Pershina, L.V., Nikolaev, K.G., and Skorb, E.V., Recent Progress of Layer-by-layer Assembly, Free-Standing Film and Hydrogel Based on Polyelectrolytes, Macromolecular Bioscience, vol. 21, p. 2100117.
- Конев, Д.В., Антипов, А.Е., Воротынцев, М.А., Шиндарова, Ю.А., Векшина, Ю.В., Пичугов, Р.Д. Способ получения бромата лития и его моногидрата. Пат. 2703618 (Россия), 2018. [Konev, D.V., Antipov, A.E., Vorotyntsev, M.A., Shindarova, Y.A., Vekshina, Y.V., and Pichugov, R.D., Method for producing lithium bromate and its monohydrate, Patent 2703618 (Russia), 2018.]
- Антипов, А.Е., Воротынцев, М.В., Глазков, А.Т., Конев, Д.В., Петров, М.М., Пичугов, Р.Д., Царьков, И.О. Устройство спектрофотометрической проточной кюветы. Пат. 186501 (Россия), 2019. [Antipov, A.E., Vorotyntsev, M.A., Glazkov, A.T., Konev, D.V., Petrov, M.M., Pichugov, R.D., and Tsarkov, I.O., Spectrophotometric flow cell design, Patent 186501 (Russia), 2019.]
- Batchelor-McAuley, C., Li, Q., Dapin, S., and Compton, R., Voltammetric characterization of DNA intercalators across the full pH range: Anthraquinone-2,6-disulfonate and anthraquinone-2-sulfonate, J. Phys. Chem. B, 2010, vol. 114, no. 11, p. 4094.
- Gerhardt, M.R., Tong, L., Gómez-Bombarelli, R., Chen, Q., Marshak, M.P., Galvin, C.J., Aspuru-Guzik, A., Gordon, R.G., and Aziz, M.J., Anthraquinone Derivatives in Aqueous Flow Batteries, Adv. Energy Mater., 2017, vol. 7, no. 8, p. 1601488.
- Compton, R.G. and Banks, C.E., Understanding Voltammetry (2Nd Edition), Manchester: World Scientific Publ., 2010. 444 p.
- Kwabi, D.G., Wong, A.A., and Aziz, M.J., Rational Evaluation and Cycle Life Improvement of Quinone-Based Aqueous Flow Batteries Guided by In-Line Optical Spectrophotometry Rational Evaluation and Cycle Life Improvement of Quinone-Based Aqueous Flow Batteries Guided by In-Line Optical Spectrophotometry, J. Electrochem. Soc., 2018, vol. 165, no. 9, p. A1770.
- Tong, L., Chen, Q., Wong, A., Gómez-Bombarelli, R., Aspuru-Guzik, A., Gordon, R.G., and Aziz, M.J., UV-Vis spectrophotometry of quinone flow battery electrolyte for: In situ monitoring and improved electrochemical modeling of potential and quinhydrone formation, Phys. Chem. Chem. Phys., 2017, vol. 19, no. 47, p. 31684.
- Yang, B., Hoober-Burkhardt L., Wang, F., Surya Prakash, G., and Narayanan, S., An Inexpensive Aqueous Flow Battery for Large-Scale Electrical Energy Storage Based on Water-Soluble Organic Redox Couples, J. Electrochem. Soc., 2014, vol. 161, no. 9, p. A1371.
- Huskinson, B., Marshak, M., Gerhardt, M., and Aziz, M., Cycling of a Quinone-Bromide Flow Battery for Large-Scale Electrochemical Energy Storage, ECS Trans., 2014, vol. 61, no. 37, p. 27.
- Li, G., Jia, Y., Zhang, S., Li, X., Li, J., and Li, L., The crossover behavior of bromine species in the metal-free flow battery, J. Appl. Electrochem., 2017, vol. 47, no. 2, p. 261.
Дополнительные файлы









