Предпосылки к созданию электрохимического планарного датчика на основе композита RGO–PPD–SiW для определения содержания изониазида в биологических жидкостях
- Авторы: Писаревская Е.Ю.1, Клюев А.Л.1, Ефимов О.Н.2, Шапагин А.В.1, Андреев В.Н.1
-
Учреждения:
- Институт физической химии и электрохимии им. А.Н. Фрумкина РАН
- Федеральный исследовательский центр проблем химической физики и медицинской химии РАН
- Выпуск: Том 59, № 3 (2023)
- Страницы: 167-175
- Раздел: Статьи
- URL: https://ogarev-online.ru/0424-8570/article/view/139247
- DOI: https://doi.org/10.31857/S0424857023030106
- EDN: https://elibrary.ru/HWZDME
- ID: 139247
Цитировать
Полный текст
Аннотация
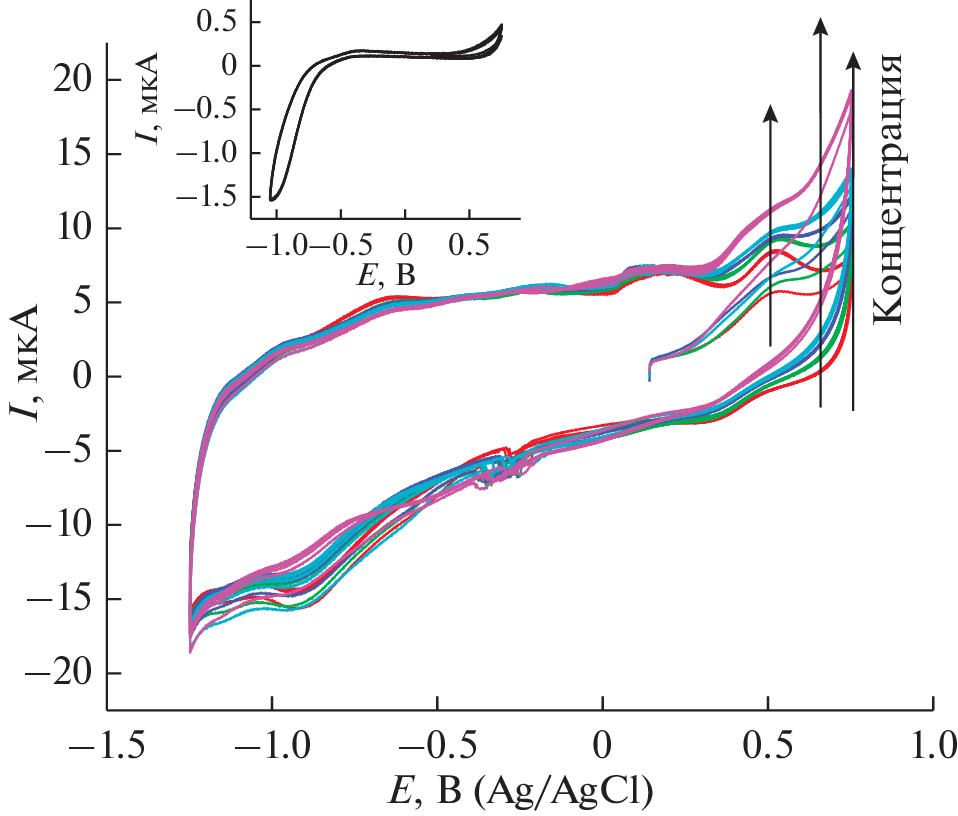
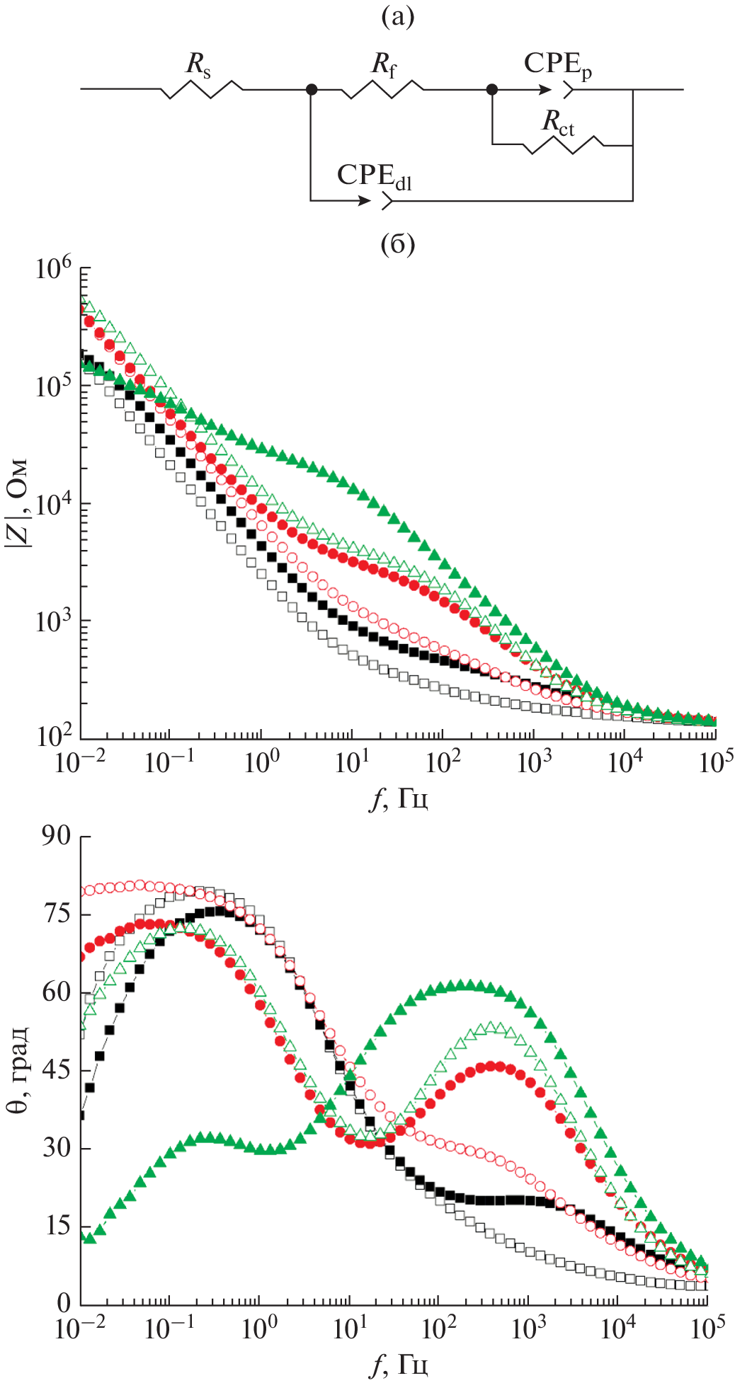
Изучался новый редокс-активный композиционный материал на основе восстановленного оксида графена (RGO), поли-о-фенилендиамина (PPD) и кремневольфрамовой кислоты (SiW). Методом СЭМ показано резкое снижение содержания атомов кислорода в композите по сравнению с чистым оксидом графена (GO), что связано с его восстановлением до RGO в процессе синтеза RGO–PPD–SiW. Сочетание проводимости RGO и редокс-катализа за счет электроактивных компонентов (PPD и SiW) делают возможным создание различных датчиков при нанесении RGO–PPD–SiW на планарные электроды (SPCE). В настоящей работе изучалась возможность создания датчика на содержание противотуберкулезного антибиотика изониазида (гидразида изоникотиновой кислоты C6H7N3O – ГИНК). Методом ЦВА показано, что зависимость тока окисления изониазида от его концентрации представляет собой линейную зависимость. Электрокаталитический характер поведения композита при окислении изониазида также доказан методом импедансной спектроскопии.
Об авторах
Е. Ю. Писаревская
Институт физической химии и электрохимии им. А.Н. Фрумкина РАН
Email: elena_pisarevska@bk.ru
Россия, Москва
А. Л. Клюев
Институт физической химии и электрохимии им. А.Н. Фрумкина РАН
Email: elena_pisarevska@bk.ru
Россия, Москва
О. Н. Ефимов
Федеральный исследовательский центр проблем химической физики и медицинской химии РАН
Email: elena_pisarevska@bk.ru
Россия, Черноголовка
А. В. Шапагин
Институт физической химии и электрохимии им. А.Н. Фрумкина РАН
Email: elena_pisarevska@bk.ru
Россия, Москва
В. Н. Андреев
Институт физической химии и электрохимии им. А.Н. Фрумкина РАН
Автор, ответственный за переписку.
Email: elena_pisarevska@bk.ru
Россия, Москва
Список литературы
- Simões, F.R. and Xavier, M.G., Electrochemical Sensors, In: Nanoscience and its Applications, 2017, ISBN 978-0-323-49780-0.
- Bobacka, J., Electrochemical sensors for real-world applications, J.Solid State Electrochem., 2020, vol. 24, p. 2039. https://doi.org/10.1007/s10008-020-04700-4
- Murthy, H.C.A., Kelele, K.G., Ravikumar, C.R., Nagaswarupa, H.P., Tadesse, A., and Desalegn, T., Graphene-supported nanomaterials as electrochemical sensors: A mini review, Results in Chem., 2021, vol. 3, p. 100131. https://doi.org/10.1016/j.rechem.2021.100131
- Roy, S., Soin, N., Bajpai, R., Misra, D.S., McLaughlin, J.A., and Roy, S.S., Graphene oxide for electrochemical sensing applications, J. Mater. Chem., 2011, vol. 21, p. 14725. https://doi.org/10.1039/C1JM12028J
- Shiri, S., Pajouheshpoor, N., Khoshsafar, H., Amidi, S., and Bagheri, H., An electrochemical sensor for the simultaneous determination of rifampicin and isoniazid using a C-dots@CuFe2O4 nanocomposite modified carbon paste electrode, New J. Chem., 2017, vol. 41, p.15564. https://doi.org/10.1039/C7NJ03029K
- Tajik, S., Dourandish, Z., Nejad, F.G., Afshar, A.A., and Beitollahi, H., Voltammetric Determination of Isoniazid in the Presence of Acetaminophen Utilizing MoS2-Nanosheet-Modified Screen-Printed Electrode, Micromachines, 2022, vol. 13, p. 369. https://doi.org/10.3390/mi13030369
- Zargar, B., Ghanavatizadeh, Z., and Hatamie, A., Electrochemical Study and Sensing of Isoniazid in Pharmaceutical with Modified Carbon Paste Electrode with Nanoceria Particles as an Effective Catalytic Amplifier, Anal. Bioanal. Electrochem., 2019, vol. 11, p. 727.
- Botelho, C.N., Pavão, D.P., Damos, F.S., and Luz Rde C., Photoelectrochemical Sensor for Isoniazid: Application in Drugs Used in the Treatment of Tuberculosis, Electroanalysis, 2021, vol. 33, p. 1936. https://doi.org/10.1002/elan.202100023
- Bergamini, M.F., Santos, D.P., and Zanoni, M.V.B., Determination of isoniazid in human urine using screen-printed carbon electrode modified with poly-L-histidine, Bioelectrochemistry, 2010, vol. 77, p. 133. https://doi.org/10.1016/j.bioelechem.2009.07.010
- Si, X., Jiang, L., Wang X., et al., Determination of Isoniazid on Cysteic acid/Graphene Modified Glassy Carbon Electrode, Anal. Methods, 2015, vol. 7, p. 793. https://doi.org/10.1039/C4AY02013H
- Qian, L., Thiruppathi, A.R., Zalm, J., and Chen, A., Graphene Oxide-Based Nanomaterials for the Electrochemical Sensing of Isoniazid, ACS Appl. Nano Mater., 2021, vol. 4, p. 3696. https://doi.org/10.1021/acsanm.1c00178
- Lima, K.C.M.S., Santos, A.C.F., Fernandes, R.N., Damos, F.S., and Luz, R. de C.S., Development of a novel sensor for isoniazid based on 2,3-dichloro-5,6-dicyano-p-benzoquinone and graphene: Application in drug samples utilized in the treatment of tuberculosis, Microchem. J., 2016, vol. 128, p. 226. https://doi.org/10.1016/j.microc.2016.04.024
- Pisarevskaya, E.Yu. and Efimov, O.N., Graphene Oxide as a Basis for Molecular Design, Prot. Met. Phys.Chem. Surf., 2019, vol. 55, p. 468. https://doi.org/10.1134%2FS2070205119030213
- Pisarevskaya, E.Yu., Klyuev, A.L., Averin, A.A., Gorbunov, A.M., and Efimov, O.N., One-pot electrosynthesis and physicochemical properties of multifunctional material based on graphene oxide, poly-o-phenylenediamine, and silicotungstic acid, J. Solid. State Electrochem., 2020, vol. 25, p. 859. https://doi.org/10.1007/s10008-020-04859-w
- Pisarevskaya, E.Yu., Klyuev, A.L., and Efimov, O.N., Comparison of electrochemical behavior of composites based on graphene oxide, poly-o-phenylenediamine, and heteropolyacids, Polym. Adv. Technol., 2022, vol. 34, p.1137. https://doi.org/10.1002/pat.5587
- Pisarevskaya, E.Yu., Kolesnichenko, I.I., Averin, A.A., Gorbunov, A.M., and Efimov, O.N., A novel multifunctional composite based on reduced graphene oxide, poly-o-phenylenediamine and silicotungstic acid, Synth. Metals, 2020, vol. 270, p. 116596. https://doi.org/10.1016/j.synthmet.2020.116596
- Lv, Ye., Kong, A., Zhang, H., Yang, W., Chen, Y., Liu, M., Fu, Y., Zhang, J., and Li, W., Electrocatalytic oxidation of toluene into benzaldehyde based on molecular oxygen activation over oxygen vacancy of heteropoly acid, Appl. Surface Sci., 2022, vol. 599, p. 153916. https://doi.org/10.1016/j.apsusc.2022.153916
- Zakrzewska, B., Jakubów-Piotrowska, K., Gralec, B., et al, Multifunctional Material Composed of Cesium Salt of Keggin-Type Heteropolytungstate and PtRh/Vulcan Nanoparticles for Electrochemical Oxidation of 2-Propanol in Acidic Medium, Electrocatalysis, 2020, vol. 11, p. 454. https://doi.org/10.1007/s12678-020-00606-x
- Yu, S., Zhao, X., Su, G., et al., Synthesis and electrocatalytic performance of a P-Mo-V Keggin heteropolyacid modified Ag@Pt/MWCNTs catalyst for oxygen reduction in proton exchange membrane fuel cell, Ionics, 2019, vol. 25, p. 5141. https://doi.org/10.1007/s11581-019-03090-6
- Oliveira, P.R., Oliveira, M.M., Zarbin, A.J.G., Marcolino-Junior, L.H., and Bergamini, M.F., Flow injection amperometric determination of isoniazid using a screen-printed carbon electrode modified with silver hexacyanoferrates nanoparticles, Sensors and Actuators B: Chem., 2012, vol. 171–172, p. 795. https://doi.org/10.1016/j.snb.2012.05.073
- Couto, R.A.S., Lima, J.L.F.C., and Quinaz, M.B., Screen-printed Electrode Based Electrochemical Sensor for the Detection of Isoniazid in Pharmaceutical Formulations and Biological Fluids, Int. J. Electrochem. Sci., 2015, vol. 10, p. 8738.
- Hung, Y.F., Cheng, C., Huang, C.K., et al, Investigation of electrochemical reduction effects on graphene oxide powders for high-performance supercapacitors, Int. J. Adv. Manuf. Technol., 2021, vol. 113, p. 1203. https://doi.org/10.1007/s00170-020-06578-y
- Писаревская, Е.Ю., Клюев, А.Л., Ефимов, О.Н., Андреев, В.Н. Электрохимическое поведение нового композита на основе восстановленного оксида графена, поли-о-фенилендиамина и кремневольфрамовой кислоты. Электрохимия. 2021. Т. 57. С. 519. [ Pisarevskaya, E.Yu, Klyuev, A.L., Efimov, O.N., and Andreev, V.N., Electrochemical Behavior of Novel Composite Based on Reduced Graphene Oxide, Poly-o-Phenylenediamine, and Silicotungstic Аcid, Russ. J. Electrochem., 2021, vol. 57, p. 921. https://doi.org/10.1134/s1023193521090044]https://doi.org/10.31857/S0424857021090048
Дополнительные файлы










