The Nature of d0 Ion Effect on the Electrochemical Activity of the O2–/O–-Redox-Couple in Oxyfluorides with the Disordered Rock-Salt Structure
- Authors: Mishchenko K.V.1, Podgornova O.A.1, Kosova N.V.1
-
Affiliations:
- Institute of Solid State Chemistry and Mechanochemistry, Siberian Branch, Russian Academy of Sciences
- Issue: Vol 59, No 3 (2023)
- Pages: 158-166
- Section: Articles
- URL: https://ogarev-online.ru/0424-8570/article/view/139246
- DOI: https://doi.org/10.31857/S0424857023030088
- EDN: https://elibrary.ru/HWVZRN
- ID: 139246
Cite item
Full Text
Abstract
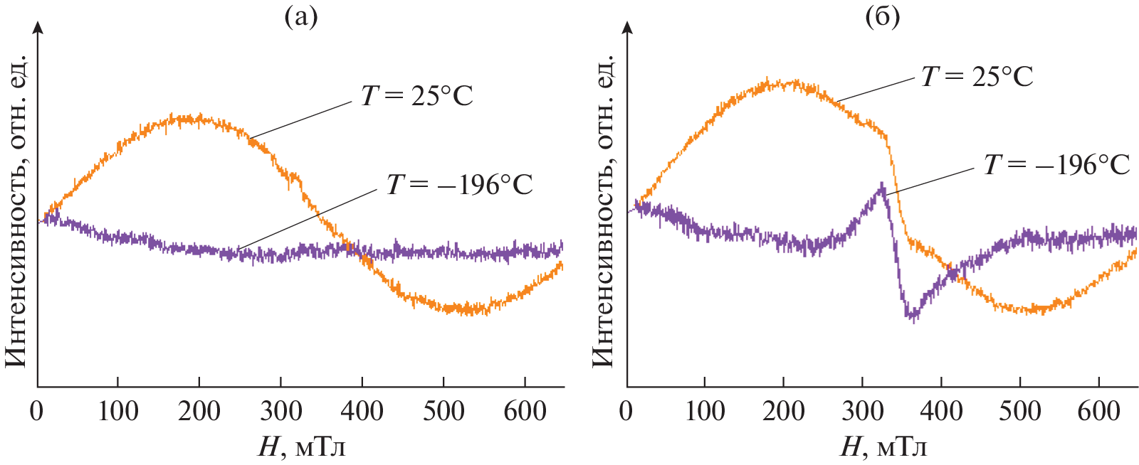
The effect of the nature of the transition metal ion (electron configuration 3d0 and 4d0) on the local structure and electrochemical properties of lithium-rich oxyfluorides with disordered rock-salt structure Li1 + x(MеMn3+)1 – xO2 – yFy, where Mе = Ti4+, Nb5+, 0.2 ≤ x ≤ 0.288 and 0.05 ≤ y ≤ 0.15 is studied. The compounds are thoroughly investigated by the methods of X-ray diffraction analysis, scanning electron microscopy, granulometry, electron spin resonance spectroscopy, and galvanostatic cycling. The galvanostatic-cycling curves of the compounds have two plateaus in the voltage regions of 3.3–3.4 and 4.1–4.3 V. They can be attributed to redox-processes involving two couples: Mn3+/Mn4+ and O2–/O–. In the case of Ti-containing oxyfluorides with disordered rock-salt structure, with the increasing of fluorine content the contribution from O2–/O–-couple during the electrochemical process decreases. In both systems of the oxyfluorides with disordered rock-salt structure we observed formation of paramagnetic clusters Mn3+–O–Mn4+ whose number increased with the increasing of Mn content. The largest clusterization is observed for the sample Li1.266Nb0.217Mn0.55O1.85F0.15. At the same time, the diffusion coefficient for Nb-containing oxyfluorides with disordered rock-salt structure is lower by order of magnitude than for the Ti-containing ones. This may be connected with the strongest clustering of Mn3+ ions, which hinders the Li+ ion macrodiffusion and, as a consequence, deteriorates the kinetics of the process.
About the authors
K. V. Mishchenko
Institute of Solid State Chemistry and Mechanochemistry, Siberian Branch, Russian Academy of Sciences
Email: kosova@solid.nsc.ru
Novosibirsk, 630128 Russia
O. A. Podgornova
Institute of Solid State Chemistry and Mechanochemistry, Siberian Branch, Russian Academy of Sciences
Email: kosova@solid.nsc.ru
Novosibirsk, 630128 Russia
N. V. Kosova
Institute of Solid State Chemistry and Mechanochemistry, Siberian Branch, Russian Academy of Sciences
Author for correspondence.
Email: kosova@solid.nsc.ru
Novosibirsk, 630128 Russia
References
- Lee, J., Urban, A., Li, X., Dong, S., Hautier, G., and Ceder, G., Unlocking the potential of cation disordered oxides for rechargeable lithium batteries, Science, 2014, vol. 343, p. 519.
- Yabuuchi, N., Material design concept of lithium-excess electrode materials with rocksalt-related structures for rechargeable non-aqueous batteries, Chem. Rec., 2019, vol. 19, p. 690.
- Chen, D., Wu, J., Papp, J. K., McCloskey, B., and Chen, G., Role of redox-inactive transition-metals in the behavior of cation-disordered rocksalt cathodes, Small, 2020, vol. 16, p. 173.
- Kosova, N.V., Mishchenko, K.V., Podgornova, O.A., Semykina, D.O., and Shindrov, A.A., High-energy density electrode materials with disordered rock-salt structure, Russ. J. Electrochem., 2022, vol. 58(7), p. 567.
- Ji, H., Urban, A., Kitchaev, D.A., Kwon, D.H., Artrith, N., Ophus, C., Huang, W.H., Cai, Z., Shi, T., Kim, J.C., Kim, H., and Ceder, G., Hidden structural and chemical order controls lithium transport in cation-disordered oxides for rechargeable batteries, Nat. Commun., 2019, vol. 10, p. 592.
- Li, L., Lun, Zh., Chen, D., Yue, Y., Tong, W., Chen, G., Ceder, G., and Wang, C., Fluorination-enhanced surface stability of cation disordered rocksalt cathodes for Li-ion batteries, Adv. Funct. Mater., 2021, vol. 31, no. 2101888.
- Croguennec, L., Bains, J., Ménétrier, M., Flambard, A., Bekaert, E., Jordy, C., Biensan, P., and Delmas, C., Synthesis of “Li1.1 (Ni0.425Mn0.425Co0.15)0.9O1.8F0.2” materials by different routes: is there fluorine substitution for oxygen? J. Electrochem. Soc., 2009, vol. 156, p. A349.
- Lun, Z., Ouyang, B., Kitchaev, D., Clément, R., Papp, J., Balasubramanian, M., Tian, Y., Lei, T., Shi, T., McCloskey, B., Lee, J., and Ceder, G., Improved cycling performance of Li-excess cation-disordered cathode materials upon fluorine substitution, Adv. Energy Mater., 2019, vol. 9, p. 1802959.
- Ahn, J., Chen, D., and Chen, G., A fluorination method for improving cation-disordered rocksalt cathode performance, Adv. Energy Mater., 2020, vol. 10, No. 2001671.
- Crafton, M., Yue, Y., Huang, T., Tong, W., and McCloskey, B.D., Anion reactivity in cation-disordered rocksalt cathode materials: the influence of fluorine substitution, Adv. Energy Mater., 2020, vol. 10, no. 2001500.
- Lun, Z., Ouyang, B., Kwon, D.H., Ha, Y., Foley, E.E., Huang, T.Y., Cai, Z., Kim, H., Balasubramanian, M., Sun, Y., Huang, J., Tian, Y., Kim, H., McCloskey, B.D., Yang, W., Clément, R.J., Ji, H., and Ceder, G., Cation-disordered rocksalt-type high-entropy cathodes for Li-ion batteries, Nat. Mater., 2021, vol. 20, p. 214.
- Zhou, K., Zheng, S., Ren, F., Wu, J., Liu, H., Luo, M., Liu, X., Xiang, Y., Zhang, C., Yang, W., He, L., and Yang, Y., Fluorination effect for stabilizing cationic and anionic redox activities in cation-disordered cathode materials, Energy Storage Mater., 2020, vol. 32, p. 234.
- Lee, J., Kitchaev, D.A., Kwon, D.H., Lee, C.W., Papp, J.K., Liu, Y.S., Lun, Z., Clément, R.J., Shi, T., McCloskey, B.D., Guo, J., Balasubramanian, M., and Ceder, G., Reversible Mn2+/Mn4+ double redox in lithium-excess cathode materials, Nat. Mater., 2018, vol. 556, p. 185.
- Ouyang, B., Artrith, N., Lun, Z., Jadidi, Z., Kitchaev, D.A., Ji, H., Urban, A., and Ceder, G., Effect of fluorination on lithium transport and short-range order in disordered-rocksalt-type lithium-ion battery cathodes, Adv. Energy Mater., 2020, vol. 10, no. 1903240.
- Lun, Z., Ouyang, B., Cai, Z., Clément, R.J., Kwon, D.H., Huang, J., Papp, J.K., Balasubramanian, M., Tian, Y., McCloskey, B.D., Ji, H., Kim, H., Kitchaev, D.A., and Ceder, G., Design principles for high-capacity Mn-based cation-disordered rocksalt cathodes, Chem., 2020, vol. 6, p. 153.
- Semykina, D.O., Morkhova, Ye.A., Kabanov, A.A., Mishchenko, K.V., Slobodyuk, A.B., Kirsanova, M.A., Podgornova, O.A., Shindrov, A.A., Okhotnikov, K.S., and Kosova, N.V., Effect of transition metal cations on the local structure and lithium transport in disordered rock-salt oxides, Phys. Chem. Chem. Phys., 2022, vol. 24, p. 5823.
- Mishchenko, K.V., Kirsanova, M.A., Slobodyuk, A.B., Krinitsyna, A.A., and Kosova, N.V., Effect of cooling rate on the structure and electrochemical properties of Mn-based oxyfluorides with cation-disordered rock-salt structure, Chim. Techno Acta, 2022, vol. 9(3), no. 20229310.
- Stoyanova, R., Gorova, M., and Zhecheva, E., EPR of Mn4+ in spinels Li1 + xMn2 – xO4 with 0 ≤ x ≤ 0.1, J. Phys. Chem. Solids, 2000, vol. 61(4), p. 609.
- Julien, C., Gendron, F., Ziolkiewicz, S., and Nazri, G.A., Electrical and ESR studies of lithium manganese oxide spinels, Mat. Res. Soc. Symp., 1998, vol. 548, p.187.
- Geng, F., Hu, B., Li, C., Zhao, C., Lafon, O., Trébosc, J., Amoureux, J.P., Shen, M., and Hu, B., Anionic redox reactions and structural degradation in a cation-disordered rock-salt Li1.2Ti0.4Mn0.4O2 cathode material revealed by solid-state NMR and EPR, J. Mater. Chem. A, 2020, vol. 8(32), p. 16515.
- Chen, D., Ahn, J., and Chen, G., An overview of cation-disordered lithium excess rocksalt cathode, ACS Energy Lett., 2021, vol. 6, p. 1358.
- Clément, R.J., Lun, Z., and Ceder, G., Cation-disordered rocksalt transition metal oxides and oxyfluorides for high energy lithium-ion cathodes, Energy Environ. Sci., 2020, vol. 13, p. 345.
- Weppner, W. and Huggins, R.A., Determination of the kinetic parameters of mixed-conducting electrodes and application to the system Li3Sb, J. Electrochem. Soc., 1977, vol. 124, p. 1569.
- Wang, R., Huang, B., Qu, Z., Gong, Y., He, B., and Wang, H., Research on the kinetic properties of the cation disordered rock-salt Li-excess Li1.25Nb0.25Mn0.5O2 material, Solid State Ionics, 2019, vol. 339, No. 114999.
Supplementary files







