Effect of Ga3+ and In3+ Ions on the Anodic Dissolution of Aluminum in KOH Ethanol Solutions
- Authors: Rybalka K.V.1, Beketaeva L.A.1
-
Affiliations:
- Frumkin Institute of Physical Chemistry and Electrochemistry, Russian Academy of Sciences
- Issue: Vol 59, No 2 (2023)
- Pages: 111-116
- Section: Articles
- URL: https://ogarev-online.ru/0424-8570/article/view/139237
- DOI: https://doi.org/10.31857/S0424857023020093
- EDN: https://elibrary.ru/NGEFCD
- ID: 139237
Cite item
Full Text
Abstract
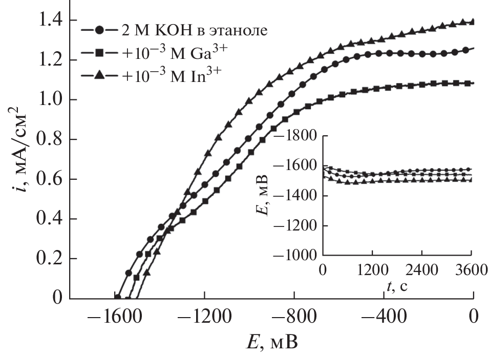
The anodic dissolution of aluminum in the KOH ethanol solutions is considered. It is shown that an addition of gallium and indium compounds to the 2 M KOH solution in 96% ethanol leads to an abrupt increase in the anodic dissolution current of aluminum near the open-circuit potential and its shift by 300 mV toward negative values. The discharge galvanostatic curves in the solutions with the additives of gallium and indium compounds contain a flat discharge plateau at the current densities up to 4 mA/cm2. The hydrogen evolution rate in a number of KOH ethanol solutions is measured.
About the authors
K. V. Rybalka
Frumkin Institute of Physical Chemistry and Electrochemistry, Russian Academy of Sciences
Email: mamaison2000@yandex.ru
Moscow, 119071 Russia
L. A. Beketaeva
Frumkin Institute of Physical Chemistry and Electrochemistry, Russian Academy of Sciences
Author for correspondence.
Email: mamaison2000@yandex.ru
Moscow, 119071 Russia
References
- Matsuda, Y., Ouchi, Y., and Tamura, H., Anodic polarization of aluminium in organic electrolytes, J. Appl. Electrochem., 1974, vol. 4, p. 53.
- Гонтмахер, Н.М., Григорьев, В.П., Нечаева, О.Н., Беркман, Е.А., Гутерман, В.Е., Петрова, Г.М. Растворение Al и сплава Al–Mg–Hg в органических и водноорганических средах. Электрохимия. 1984. Т. 20. С. 80. [Gontmakher, N.M., Grigoriev, V.P., Nechaeva, O.N., Berkman, E.A., Guterman, V.E., and Petrova, G.M., Dissolution of aluminum and Al–Mg–Hg alloys in organic and aqueous-organic solvents, Sov. Electrochem., 1984, vol. 20, p. 76.]
- Скундин, А.М., Осетрова, Н.В. Использование алюминия в низкотемпературных источниках тока. Электрохим. кинетика. 2005. Т. 5. № 1 С. 3. [Skundin, A.M., and Osetrova, N.V., The use of aluminum in low-temperature current sources, Electrochemical kinetics, 2005, vol. 5, no. 1, p. 3.]
- Bai, L. and Conway, B.E., Complex behavior of Al dissolution in non-aqueous medium as revealed by impedance spectroscopy, J. Electrochem. Soc., 1990, vol. 137, no. 12, p. 3737.
- Bai, L. and Conway, B.E., Role of indium in promoting anodic dissolution of Al-In alloys in non-aqueous electrolyte, J. Appl. Electrochem., 1992, vol. 22, p.131.
- Rybalka, K.V. and Beketaeva, L.A., Anodic dissolution of aluminium in nonaqueous electrolytes, J. Power Sources, 1993, vol. 42, p. 377.
- Shao, H.B., Wang, J.M., Wang, X.Y., Zhang, J.O., and Cao, C.N., Anodic dissolution of aluminum in KOH ethanol solutions, Electrochem. Comm., 2004, vol. 6, p. 6.
- Burri, G., Luedi, W., and Haas, O., Electrochemical properties of aluminum in weakly acidic sodium chloride solutions, Part I. Influence of the electrolyte additives In3+, and Zn2+, J. Electrochem. Soc., 1989, vol. 136, no. 8, p. 2167.
- Equey, J.F., Müller, S., Desilvestro, J., and Haas, O., Electrochemical properties of aluminum in weakly acidic sodium chloride solutions. II. Influence of electrolyte additives Hg2+, In3+, Ga3+ and Sn3+, J. Electrochem. Soc., 1992, vol. 139, no. 6, p. 1499.
- Levitin, G., Tel-Vered, R., Yarnitzky, C., and Licht, S., Organic solvents for anodic aluminum electrochemistry, Rev. Anal. Chem., 1999, vol. 18, p. 269.
- Licht, S., Tel-Vered, R., Levitin, G., and Yarnitzky, C., Solution activators of aluminum electrochemistry in organic media, J. Electrochem. Soc., 2000, vol. 147, p. 496.
- Tel-Vered, R., Levitin, G., Yarnitzky, C., and Licht, S., Analytical determination of In activation of aluminum anodes in the organic phase, Rev. Anal. Chem., 1999, vol.18, no. 5, p. 249.
- Licht, S., Levitin, G., Tel-Vered, R., and Yarnitzky, C., The effect of water on the anodic dissolution of aluminum in non-aqueous electrolytes, Electrochem. Commun., 2000, vol. 2, p. 329.
- Levitin, G., Tel-Vered, R., Yarnitzky, C., and Licht, S., Analytical determination of water effects on the anodic dissolution of aluminum in nonaqueous electrolytes, Rev. Anal. Chem., 2000, vol. 19, p. 235.
- Licht, S., Levitin, G., Yarnitzky, C., and Tel-Vered, R., Organic phase for aluminum batteries, Electrochemical and solid-state letters, 1999, vol. 2, p. 262.
- Despic, A. and Parkhutik, V.P., Electrochemistry of Aluminum in Aqueous Solutions and Physics of its Anodic Oxide, in Modern Aspects of Electrochemistry. Conway, B.E., Bockris, J., O’M., and White, R.E., Eds, N.Y.: Plenum Press, 1991, vol. 20, p. 401.
- Breslin, C.B. and Carroll, W.M., The Electrochemical behavior of aluminum activated by Gallium in Aqueous Electrolytes, Corros. Sci., 1992, vol. 33, p. 1735.
Supplementary files









