Self-Discharge of Supercapacitors: A Review
- Autores: Volfkovich Y.M.1
-
Afiliações:
- Frumkin Institute of Physical Chemistry and Electrochemistry, Russian Academy of Sciences
- Edição: Volume 59, Nº 1 (2023)
- Páginas: 29-42
- Seção: Articles
- URL: https://ogarev-online.ru/0424-8570/article/view/139223
- DOI: https://doi.org/10.31857/S0424857023010267
- EDN: https://elibrary.ru/JZJCCN
- ID: 139223
Citar
Texto integral
Resumo
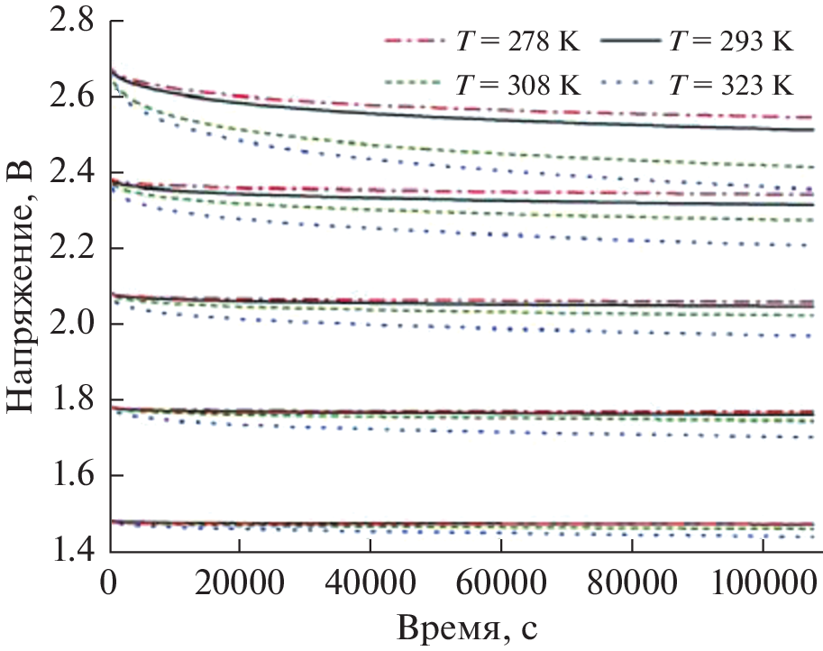
The literature on the self-discharge of supercapacitors is reviewed, the advantages of electrochemical supercapacitors over batteries are formulated. The principal disadvantage of the electrochemical supercapacitors is their rapid self-discharge. A study of self-discharge of electrochemical supercapacitors was conducted; methods of the self-discharge studying, the effect of functional carbon groups on the self-discharge, the self-discharge mechanisms and mathematical modeling of the self-discharge are described. The development of new supercapacitor devices destined to minimize the self-discharge is described, including additives to the electrolyte, solid-state supercapacitors, electrochemical supercapacitors with ion-exchange membranes, the using of pure electrolytes, methods of the electrode chemical modification to slow down self-discharge. A study of self-discharge of electrochemical supercapacitors with electrodes based on activated carbon cloth CH 900 (the Kuraray Co. production) and 1 M MgSO4 aqueous electrolyte is conducted. The rate of self-discharge after ~70 min after its start is found to be proportional to the charging voltage. The voltage dependence of the self-discharge rate at 2000 min after its start goes through a minimum. This minimum is explained, firstly, by a significant contribution to the capacity from the Faradaic redox-reaction pseudo-capacity involving the functional groups; secondly, the very presence of these groups increases the self-discharge rate. It is the former factor that dominates in the low-voltage region; the second one, in the high voltage region.
Palavras-chave
Sobre autores
Yu. Volfkovich
Frumkin Institute of Physical Chemistry and Electrochemistry, Russian Academy of Sciences
Autor responsável pela correspondência
Email: yuvolf40@mail.ru
Moscow, 119071 Russia
Bibliografia
- Conway, B., Electrochemical Supercapacitors: Scientific Fundamentals and Technological Applications, Berlin: Springer Science & Business Media, 2013.
- Bagotsky, V.S., Skundin, A.M., and Volfkovich, Yu.M., Electrochemical Power Sources. Batteries, Fuel Cells, Supercapacitors, N.J.: Jhon Wiely & Sons Inc. Publisher, 2015.
- Volfkovich, Yu.M., Bograchev, D.A., Rychagov, A.Yu., Sosenkin, V.E., and Chaika, M.Yu., Supercapacitor carbon electrodes with high capacitance, J. Solid State Electrochem., 2015, vol. 19, p. 1.
- Oren, Y., Capacitive deionization (CDI) for desalination and water treatment–past, present and future (a Review), Desalination, 2008, vol. 228, p. 10.
- Вольфкович, Ю.М., Электрохимические суперконденсаторы (обзор). Электрохимия. 2021. Т. 57. С. 197. [Volfkovich, Yu. M., Electrochemical Supercapacitors (a Review), Russ. J. Electrochem., 2021, vol. 57, p. 311.]
- Вольфкович, Ю.М, Сердюк, Т.М. Электрохимические конденсаторы. Электрохимия. 2002. Т. 38. С. 1043. [Volfkovich, Yu.M. and Serdyuk, T.M., Electrochemical capacitors, Russ. J. Electrochem., 2002, vol. 38, p. 935.]
- Fic, K., Meller, M., Menzel, J., and Frackowiak, E., Specific carbon/iodide interactions in electrochemical capacitors monitored by EQCM technique, Electrochim. Acta, 2016, vol. 206, p. 496.
- Yang, X., Fei, B., Ma, J., Liu, L., Liu, X., Yang, S., Tian, G., Jiang, Z., Yang, S., Tian, G., and Jiang, Z., Porous nanoplatelets wrapped carbon aerogels by pyrolysis of regenerated bamboo cellulose aerogels as supercapacitor electrodes, Carbohydrate Polymers, 2018, vol. 180, p. 385.
- Kowal, J., Avaroglu, E., Chamekh, F., and Šenfelds, A., Detailed analysis of the self-discharge of supercapacitors, J. Power Sources, 2011, vol. 196, p.573.
- Diab, Y., Venet, P., Gualous, H., and Rojat, G., Self-discharge characterization and modeling of electrochemical capacitor used for power electronics, IEEE Transactions on Power Electronics, 2008, vol. 24, p. 510.
- Kurzweil, P. and Shamonin, M., State-of-charge monitoring by impedance spectroscopy during long-term self-discharge of supercapacitors and Lithium-Ion batteries, Batteries, 2018, vol. 4, p. 35.
- Liu, K., Yu, C., Guo, W., Ni, L., Yu, J., Xie, Y., and Wang, Z., Recent research advances of self-discharge in supercapacitors: Mechanisms and suppressing strategies, J. Energy, 2021, vol. 58, p. 94.
- Tevi, T., Yaghoubi, H., Wang, J., and Takshi, A., Understanding performance limitation and suppression of leakage current or self-discharge in electrochemical capacitors: a review, J. Power Sources, 2013, vol. 241, p. 586.
- Shen, J.F., He, Y.J., and Ma, Z.F., A systematical evaluation of polynomial based equivalent circuit model for charge redistribution dominated self-discharge process in supercapacitors, J. Power Sources, 2016, vol. 303, p. 294.
- Saha, P. and Khanra, M., Equivalent circuit model of supercapacitor for self-discharge analysis. comparative study. 2016. Internat. Conf. on Signal, India. https://doi.org/10.1109/SCOPES.2016.7955667
- Brouji, H.E., Vinassa, J.M., and Briat, O., Ultracapacitors self discharge modelling using a physical description of porous electrode impedance. IEEE 2008, Vehicle Power and Propulsion Conf. IEEE. Harbin, China. https://doi.org/10.1109/VPPC.2008.4677493
- Bamgbopa, M.O., Belaineh, D., Mengistie, D.A., Edberg, J., Engquist, I., Berggren, M., and Tybrandt, K., Modelling of heterogeneous ion transport in conducting polymer supercapacitors, J. Mater. Chem. A, 2021, vol. 9, p. 2184.
- Rizoug, N. and Bartholomeus, P., Modeling and characterizing supercapacitors using an online method, IEEE Transactions on Industrial Electronics, 2010, vol. 57, p. 3980.
- Huang, M., Wu, M. Qiu, Z., Fan, L., Lin, J., and Lin, Y., A redox-mediator-doped gel polymer electrolyte applied in quasi-solid-state supercapacitors, J. Appl. Polym. Sci., 2014, vol. 131, p. 39784.
- Wang, H., Zhou, Q., Yao, D., and Ma, H., Suppressing the Self-Discharge of Supercapacitors by Modifying Separators with an Ionic Polyelectrolyte, Adv. Mater. Interfaces, 2018, vol. 5, p. 1701547.
- Ricketts, B.W. and Ton-That, C., Self-discharge of carbon-based supercapacitors with organic electrolytes, J. Power Sources, 2000, vol. 89, p. 64.
- Ceraolo, M. and Lutzemberger, G., State-of-charge evaluation of supercapacitors, J. Energy Storage, 2017, vol. 11, p. 211.
- Yang, H. and Zhang, Y., Ammonia and related chemicals as potential indirect hydrogen storage materials, J. Power Sources, 2011, vol. 196, p. 8173.
- Davis, M.A. and Andreas, H.A., Identification and isolation of carbon oxidation and charge redistribution as self-discharge mechanisms in reduced graphene oxide electrochemical capacitor, Carbon, 2018, vol. 139, p. 299.
- Oickle, A.M., Tom, J., and Andreas, H.A., Carbon oxidation and its influence on self-discharge in aqueous electrochemical capacitors, Carbon, 2016, vol. 110, p. 232.
- Okhay, O., Tkach, A., Staiti, P., and Lufrano, F., Long term durability of solid-state supercapacitor based on reduced graphene oxide aerogel and carbon nanotubes composite electrodes, Electrochim. Acta, 2020, vol. 353, p. 136540.
- Andreas, H.A., Black, J.M., and Oickle, A.A., Self-discharge in manganese oxide electrochemical capacitor electrodes in aqueous electrolytes with comparisons to faradaic and charge redistribution models, Electrochim. Acta, 2014, vol. 140, p. 116.
- Yumak, T., Bragg, D., and Sabolsky, E.M., Cost-effective synthesis of NiCo2O4@nitrogen-doped carbon nanocomposite using waste PET plastics for high-performance supercapacitor, Appl. Surface Sci., 2019, vol. 469, p. 983.
- Rafik, F., Gualous, H., Gallay, R., and Crausaz, A., Frequency, thermal and voltage supercapacitor characterization and modeling, J. Power Sources, 2007, vol. 165, p. 928.
- Kazaryan, S.A., Litvinenko, S.V., and Kharisov, G.G., Self-discharge of heterogeneous electrochemical supercapacitor of PbO2|H2SO4|C related to manganese and titanium ions, J. Electrochem. Soc., 2008, vol. 155, p. A464.
- Xia, M., Nie, J., Zhang, Z., Lu, X., and Wang, Z.L., Facile and fast synthesis of SnO2 quantum dots for high performance solid-state asymmetric supercapacitor, J. Power Sources, 2018, vol. 47, p. 43.
- Zhang, Q., Cai, C., Qin, J., and Wei, B., Tunable self-discharge process of carbon nanotube based supercapacitors, Nano Energy, 2014, vol. 4, p. 14.
- Miniguano, H., Barrado, A., Fernández, C., Zumel, P., and Lázaro, A., A general parameter identification procedure used for the comparative study of supercapacitors models, Energies, 2019, vol. 12, p. 1.
- Subramanian, S., Johny, M.A., Neelanchery, M.M., and Ansari, S., Self-discharge and voltage recovery in graphene supercapacitors, IEEE Transactions on Power Electronics, 2018, vol. 33, p. 10410.
- Yun, J., Kim, D., Lee, G., and Ha, J.S., All-solid-state flexible micro-supercapacitor arrays with patterned graphene/MWNT electrodes, Carbon, 2014, vol. 79, p. 156.
- Satpathy, S., Dhar, M., and Bhattacharyya, B.K., Why supercapacitor follows complex time-dependent power law and does not obey normal exponential (e–t(RC)) rule? J. Energy Storage, 2020, vol. 31, p. 101606.
- Schneuwly, A. and Gallay, R., Properties and applications of supercapacitors from the state-of-the-art to future trends, Proceeding PCIM, 2000, vol. 2, p. 1.
- Ghanbari, T., Moshksar, E., Hamedi, S., Rezaei, F., and Hosseini, Z., Self-discharge modeling of supercapacitors using an optimal time-domain based approach, J. Power Sources, 2021, vol. 495, p. 229787.
- Musolino,V., Piegari, L., Tironi, E., A comparative study of a PEMFC, Battery, Super-capacitor based energy source owing to hybrid vehicle, IEEE Transactions on Industrial Electronics, 2012, vol. 60, p. 112.
- Kaus, M., Kowal, J., and Sauer, D.U., Modelling the effects of charge redistribution during self-discharge of supercapacitors, Electrochim. Acta, 2010, vol. 55, p. 7516.
- Tevi, T. and Takshi, A., Modeling and simulation study of the self-discharge in supercapacitors in presence of a blocking layer, J. Power Sources, 2015, vol. 273, p. 857.
- Haque, M., Li, Q., Smith, A.D., and Kuzmenko, V., Self-discharge and leakage current mitigation of neutral aqueous-based supercapacitor by means of liquid crystal additive, J. Power Sources, 2020, vol. 453, p. 227897.
- Liu, M., Xia, M., Qi, R., Ma, Q., Zhao, M., and Zhang, Z., Lyotropic Liquid Crystal as an Electrolyte Additive for Suppressing Self-Discharge of Supercapacitors, ChemElectrochem., 2019, vol. 6, p. 2531.
- Chung, J., Park, H., and Jung, C., Electropolymerizable isocyanate-based electrolytic additive to mitigate diffusion-controlled self-discharge for highly stable and capacitive activated carbon supercapacitors, Electrochim. Acta, 2021, vol. 369, p. 137698.
- Ge, K. and Liu, G., Suppression of self-discharge in solid-state supercapacitors using a zwitterionic gel electrolyte, Chem. Commun., 2019, vol. 55, p. 7167.
- Mishra, R.K., Choi, G.J., Sohn, Y., Lee, S.H., and Gwag, J.S., Reduced graphene oxide based supercapacitors: Study of self-discharge mechanisms, leakage current and stability via voltage holding tests, Mater. Letters, 2019, vol. 253, p. 250.
- Paleo, A.J., Stait, P., Brigandì, A., Ferreira, F.N., Rocha, A.M., and Lufrano, F., Supercapacitors based on AC/MnO2 deposited onto dip-coated carbon nanofiber cotton fabric electrodes, Energy Storage Materials, 2018, vol. 12, p. 204.
- Hosseini, M.G., Rasouli, H., Shahryari, E., and Naji, L., Electrochemical behavior of a Nafion-membrane-based solid-state supercapacitor with a graphene oxide—multiwalled carbon nanotube–polypyrrole, J. Appl. Polym. Sci., 2017, vol. 13, p. 44926.
- Łatoszynska, A.A., Taberna, P. Simon, P., and Wieczorek, W., Plasticized polymer blend electrolyte based on chitosan for energy storage application: Structural, circuit modeling, morphological and electrochemical properties, Electrochim. Acta, 2017, vol. 242, p. 31.
- Li, J. Qiao, J., and Lian, K., Hydroxide ion conducting polymer electrolytes and their applications in solid supercapacitors: a review, Energy Storage Materials, 2020, vol. 24, p. 6.
- Liu, K., Yu, C., Guo, W., Ni, L., Yu, J., Xie, Y., and Wang, Z., Recent research advances of self-discharge in supercapacitors: Mechanisms and suppressing strategies, J. Energy Chemistry, 2021, vol. 58, p. 94.
- Shen, J.F., He, Y.J., and Ma, Z.F., A systematical evaluation of polynomial based equivalent circuit model for charge redistribution dominated self-discharge process in supercapacitors, J. Power Sources, 2016, vol. 303, p. 294.
- Zhongxue, L.I. and Fu, W., Diagnostic identification of self-discharge mechanisms for carbon-based supercapacitors with high energy density. IEEE 2011. Asia-Pacific Power and Energy Engineering Conf. (APPEEC). https://doi.org/10. 1109/APPEEC. 2011. 5748403
- Volfkovich, Yu.M., Rychagov, A.Yu., Mikhalin, A.A., Sosenkin, V.E., Kabachkov, E.N., Shulga, Yu.M., and Michtchenko, A., Self-discharge of a supercapacitor with electrodes based on activated carbon cloth, J. Electroanal. Chem., 2022, vol. 910, p. 116198.
- Shulga, Yu.M., Baskakov, S.A., Baskakova, Yu.V., Lobach, A.S., Kabachkov, E.N., Volfkovich, Yu.M., Sosenkin, V.E., Shulga, N.Yu., Nefedkin, S.I., Kumar, Y., and Michtchenko, A., J. Alloys and Compounds, 2018, vol. 730, p. 88.
- Shulga, Yu.M., Baskakov, S.A., Baskakova, Yu.V., Lobach, A.S., Volfkovich, Yu.M., Sosenkin, V.E., Shulga, N.Yu., Parkhomenko, Y.N., Michtchenko, A., and Kumar, Y., Microporous and Mesoporous Materials, 2017, vol. 245, p. 24.
Arquivos suplementares
















