Влияние массового содержания платины в катализаторе и состояния поверхности носителя на путь реакции восстановления кислорода в щелочном электролите
- Авторы: Вернигор И.Е.1, Богдановская В.А.1, Радина М.В.1, Андреев В.Н.1
-
Учреждения:
- Институт физической химии и электрохимии им. А.Н. Фрумкина РАН
- Выпуск: Том 59, № 1 (2023)
- Страницы: 16-28
- Раздел: Статьи
- URL: https://ogarev-online.ru/0424-8570/article/view/139222
- DOI: https://doi.org/10.31857/S0424857023010255
- EDN: https://elibrary.ru/JZHBWY
- ID: 139222
Цитировать
Полный текст
Аннотация
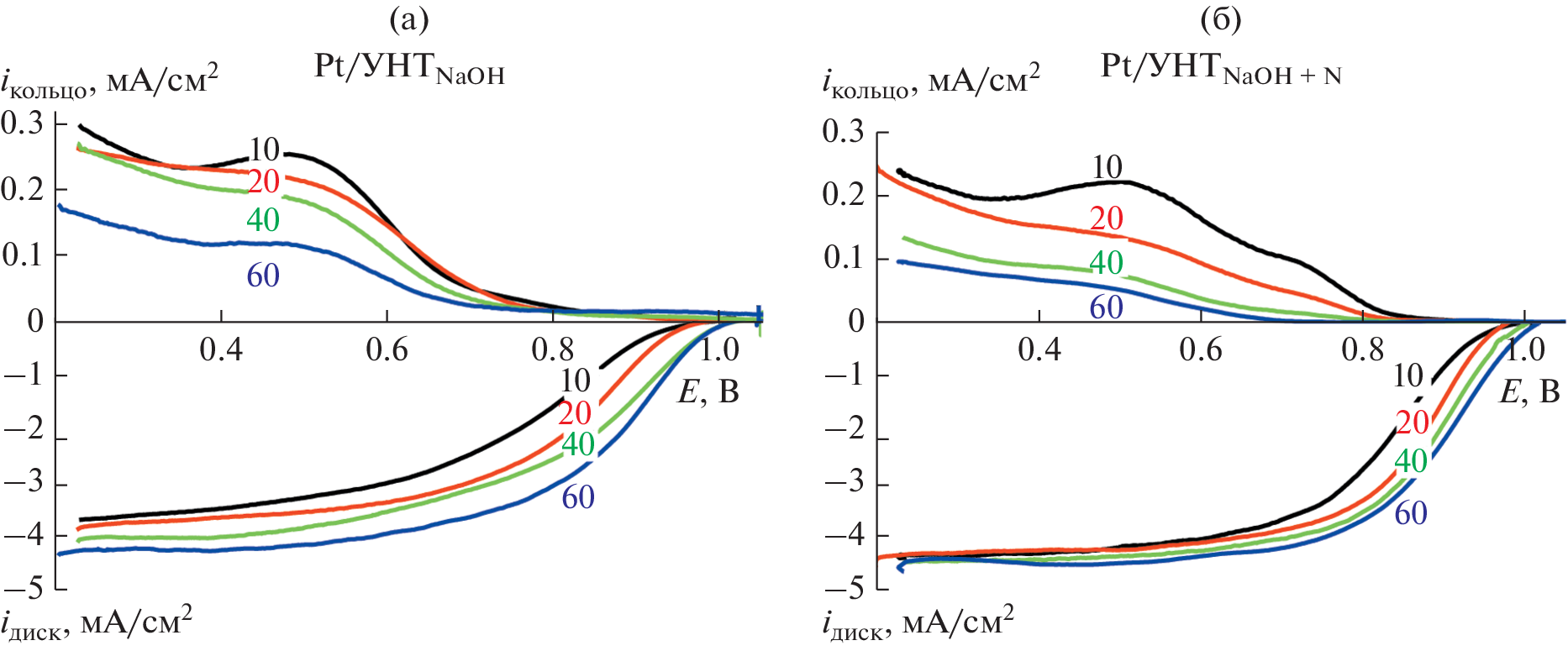
Исследовано влияние природы носителя и массы платины на стабильность и электрохимические характеристики моноплатиновых катализаторов и путь реакции электровосстановления кислорода (РВК) в щелочном электролите. Катализаторы с массовым содержанием Pt 10, 20, 40, 60 мас. % были синтезированы полиольным методом на углеродных нанотрубках (УНТ), функционализованных в NaOH и допированных азотом. Активность, процент образовавшегося пероксида водорода и число электронов, участвующих в РВК, определяли по данным, полученным методом вращающегося дискового электрода с кольцом. Наибольшая селективность в РВК до воды наблюдается для катализаторов, синтезированных на УНТ, допированных азотом, и возрастает с увеличением поверхности Pt на электроде, поскольку уменьшается вклад поверхности носителя в суммарную РВК. Наличие пероксида водорода и снижение стабильности наблюдается при снижении содержания платины в составе катализатора.
Об авторах
И. Е. Вернигор
Институт физической химии и электрохимии им. А.Н. Фрумкина РАН
Email: msnoviinna@gmail.com
Россия, Москва
В. А. Богдановская
Институт физической химии и электрохимии им. А.Н. Фрумкина РАН
Email: bogd@elchem.ac.ru
Россия, Москва
М. В. Радина
Институт физической химии и электрохимии им. А.Н. Фрумкина РАН
Email: bogd@elchem.ac.ru
Россия, Москва
В. Н. Андреев
Институт физической химии и электрохимии им. А.Н. Фрумкина РАН
Автор, ответственный за переписку.
Email: bogd@elchem.ac.ru
Россия, Москва
Список литературы
- Thandavarayan, S. and Viswanathan, S., Electrocatalysts for Low Temperature Fuel Cells. Fundamentals and Recent Trends, Weinheim, Germany: Wiley VCH, 2017. 616 p.
- Ramaswamy, N. and Mukerjee, S., Alkaline Anion-Exchange Membrane Fuel Cells: Challenges in Electrocatalysis and Interfacial Charge Transfer, Chem. Rev., 2019, vol. 119, p. 11945.
- Xing, W., Yin, G., and Zhang, J., Rotating Electrode Methods and Oxygen Reduction Electrocatalysts, 1st ed, Amsterdam, The Netherlands: Elsevier, 2014. p. 322.
- Shinozak, K., Zack, J.W., Richards, R.M, Pivovar, B.S., and Kocha, S.S., Oxygen Reduction Reaction Measurements on Platinum Electrocatalysts Utilizing Rotating Disk Electrode Technique: I. Impact of Impurities, Measurement Protocols and Applied Corrections, J. Electrochem. Soc., 2015, vol. 162, no.10, p. 162.
- Li, L., Hu, L., Li, J., and We, Z., Enhanced stability of Pt nanoparticles electrocatalysts for fuel cells, Nano Res., 2015, vol. 3, p. 418.
- Capelo, A., Esteves, M.A., de Sa, A.I., Silva, R.A., Cangueiro, L., Almeida, A., Vilar, R., and Rangel, C.M., Stability and durability under potential cycling of Pt/C catalyst with new surface-functionalized carbon support, Internat. J. Hydrogen Energy, 2016, vol. 41, p. 12962.
- Su, L., Jia, W.Z., Li, C.M., and Lei, Y., Mechanisms for enhanced performance of platinum-based electrocatalysts in proton exchange membrane fuel cells, ChemSusChem., 2014, vol. 7, p. 361.
- Timperman, L., Feng, Y.J., Vogel, W., and Alonso-Vant, N., Substrate effect on oxygen reduction electrocatalysis, Electrochim. Acta, 2010, vol. 55, p. 7558.
- Dubau, L., Castanheira, L., Maillard, F., Chatenet, M., Lottin, O., Maranzana, G., Dillet, J., Lamibrac, A., Perrin, J.C., and Moukheiber, E., A review of PEM fuel cell durability: Materials degradation, local heterogeneities of aging and possible mitigation strategies, WIREs: Energy Environ, 2014, vol. 3, p. 540.
- Wang, Y.-J., Fang, B., Li, H., Bi, X.T., and Wang, H., Progress in modified carbon support materials for Pt and Pt-alloy cathode catalysts in polymer electrolyte membrane fuel cells, Progress in Mater. Science, 2016, vol. 82, p. 445.
- Kang, S., Kim, H., and Chung, YH., Recent developments of nano-structured materials as the catalysts for oxygen reduction reaction, Nano Converg, 2018, vol. 5, no. 13.
- Molina-Garcíaa, M.A. and Rees, N.V., Effect of catalyst carbon supports on the oxygen reduction reaction in alkaline media: a comparative study, RSC Adv., 2016, vol. 6, p. 94669.
- Samad, S., Loh, K.S., Wong, W.Y., Lee, T.K., Sunarso, J., Chong, S.T., and Wan Dau, W.R., Carbon and non-carbon support materials for platinum-based catalysts in fuel cells, Internat. J. Hydrogen Energy, 2018, vol. 43, p. 7823.
- Ramli, Z.A.C. and Kamarudin, S.K., Platinum-Based Catalysts on Various Carbon Supports and Conducting Polymers for Direct Methanol Fuel Cell Applications: a Review, Nanoscale Res Lett, 2018, vol. 13, no. 410.
- Ortíz-Herrera, J.C., Tellez-Cruz, M.M., Solorza-Feria, O., and Medina, D.I., Effect of Different Carbon Supports on the Activity of PtNi Bimetallic Catalysts toward the Oxygen Reduction, Catalysts, 2022, vol. 12, p. 477.
- Zhang, Q., Huang, J.-Q., Qian, W.-Z., Zhang, Y.-Y., and Wei, F., The Road for Nanomaterials Industry: A Review of Carbon Nanotube Production, Post Treatment, and Bulk Applications for Composites and Energy Storage, Small, 2013, vol. 9, p. 1237.
- Paraknowitsch, J.P. and Thomas, A., Doping carbons beyond nitrogen: an overview of advanced heteroatom doped carbons with boron, sulphur and phosphorus for energy applications, Energy Environ. Sci., 2013, vol. 6, p. 2839.
- Hu, C. and Dai, L., Doping of carbon materials for metal-free electrocatalysis, Adv. Mater., 2019, vol. 31, p. 1804672.
- Singh, S.K, Takeyasu, K., and Nakamura, J., Active sites and mechanism of oxygen reduction reaction electrocatalysis on nitrogen-doped carbon materials, Adv. Mater., 2019, vol. 31, p. 1804297.
- Zhang, X., Zhang, X., Zhao, S., Wang, Y.Q., Lin, X., Tian, Z.Q., Shen, P.K., and Jiang, S.P., Precursor modulated active sites of nitrogen doped graphene-based carbon catalysts via one-step pyrolysis method for the enhanced oxygen reduction reaction, Electrochim. Acta, 2021, vol. 370, p. 137712.
- Тарасевич, М.Р., Хрущева, Е.И. Филиновский, В.Ю., Вращающийся дисковый электрод с кольцом, М.: Наука, 1987. 248 с.
- Gloaguen, F., Andolfatto, F., Durand, R., and Ozil, P., Kinetic study of electrochemical reactions at catalyst-recast ionomer interfaces from thin active layer modelling, J. Appl. Electrochem., 1994, vol. 24, p. 863.
- Paulus, U.A., Schmidt, T.J., Gasteiger, H.A., and Behm, R.J., Oxygen reduction on a high-surface area Pt/Vulcan carbon catalyst: a thin-film rotating ring-disk electrode study, J. Electroanal. Chem., 2001, vol. 495, p. 134.
- Cardoso, E.S.F., Fortunato, G.V., and Gilberto, M., Use of Rotating Ring-Disk Electrodes to Investigate Graphene Nanoribbon Loadings for the Oxygen Reduction Reaction in Alkaline Medium, ChemElectroChem., 2018, vol. 5, p. 1691.
- Мищенко, К.П., Равдель, А.А., ред. Краткий справочник физико-химических величин. Л.: Химия, 1974. С. 134. [Mishchenko, K.P. and Ravdel, A.A., eds. Kratkiy spravochnik fiziko-khimicheskikh velichin. (in Russian). Leningrad: Khimiya, 1974, p. 134.]
- Jiaa, Z., Yina, G., and Zhang, J., Rrotating ring-disk electrode method, in Rotating Electrode Methods and Oxygen Reduction Electrocatalysts. Xing, W., Yin, G., and Zhang, J., Eds, Amsterdam: Elsevier Science Ltd., 2014, p. 199.
- Богдановская, В.А., Кузов, А.В., Радина, М.В., Филимонов, В.Я., Сударев, Г.М., Осина, М.А. Устойчивость к деградации и активность катализаторов с различным содержанием платины, синтезированных на углеродных нанотрубках. Электрохимия. 2020. Т. 56. С. 1083. [Bogdanovskaya, V.A., Kuzov, A.V., Radina, M.V., Filimonov, V.Ya, Sudarev, G.M., and Osina, M.A., Stability against Degradation and Activity of Catalysts with Different Platinum Load Synthesized at Carbon Nanotubes, Russ. J. Electrochem., 2020, vol. 56, p. 969.]
- Volfkovich, Y.M., Sakars, A.V., and Volinsky, A.A., Application of the standard porosimetry method for nanomaterials, Internat. J. Nanotechnol., 2005, vol. 2, p. 292.
- Bogdanovskaya, V.A, Vernigor, I.E., Radina, M.V., Sobolev, V.D., Andreev, V.N., and Nikolskaya, N.F., Modified Carbon Nanotubes: Surface Properties and Activity in Oxygen Reduction Reaction, Catalysts, 2021, vol. 11, p. 1354.
- Bogdanovskaya, V.A, Vernigor, I.E., Radina, M.V., Andreev, V.N., Korchagin, O.V., and Novikov, V.T., Carbon Nanotube Modified by (O, N, P) Atoms as Effective Catalysts for Electroreduction of Oxygen in Alkaline Media, Catalysts, 2020, vol. 10, p. 892.
- Богдановская, В.А., Вернигор, И.Е., Радина, М.В., Панченко, Н.В., Андреев, В.Н. Реакция электровосстановления кислорода на модифицированных углеродных нанотрубках в щелочном электролите. Электрохимия. 2022. Т. 58. С. 523. [Bogda-novskaya, V.A., Vernigor, I.E., Radina, M.V., Panchenko, N.V., and Andreev, V.N., Oxygen electroreduction reaction on modified carbon nanotubes in an alkaline electrolyte, Russ. J. Electrochem., 2022, vol. 58, p. 755.]
- Perazzolo, V., Brandiele, R., Durante, C., Zerbetto, M., Causin, V., Rizzi, G.A., Cerri, I., Granozzi, G., and Gennaro, A., Density Functional Theory (DFT) and experimental evidences of metalesupport interaction in platinum nanoparticles supported on nitrogen- and sulfur-doped mesoporous carbons: synthesis, activity, and stability, ACS Catal, 2018, vol. 8, p. 1122.
- Hansen, T.W., DeLaRiva, A.T., Challa, S.R., and Datye, A.K., Sintering of catalytic nanoparticles: Particle migration or Ostwald ripening? Acc. Chem. Res., 2013, vol. 46, p. 1720.
- Кнастер, М.Б., Апельбаум, Л.А. Растворимость водорода и кислорода в концентрированных растворах едкого кали. Журн. физ. химии. 1964. № 8. С. 223. [Knaster, M.B. and Apelbaum, L.A., Solubility of hydrogen and oxygen in concentrated solutions of caustic potash, J. Phys. Chem. (in Russian), 1964, no. 8, p. 223.]
Дополнительные файлы










