Nonreciprocity in the behavior of photon echo in constant and pulsed magnetic fields in YLiF4: Er3+ and LuLiF4: Er3+ crystals

Cover Page

Cite item

Full Text

Abstract

Studying the influence of nanosecond pulsed magnetic fields on the behavior of the photon echo in YLiF4: Er3+ and LuLiF4: Er3+ samples, it was found that the effect of the pulsed field strongly depends on the magnitude and direction of change of the constant magnetic field. An unexpected increase in the intensity of the photon echo is observed when two identical magnetic pulses are turned on, one after the first laser pulse, the second after the second laser pulse.

Full Text

Введение

Диэлектрические кристаллы с примесями редкоземельных ионов рассматриваются в последнее время в качестве перспективных материалов для создания оптических элементов памяти, повторителей, преобразователей информации между оптическим и микроволновым диапазонами частот. Ионы эрбия являются одной из наиболее часто изучаемых редкоземельных примесей. В кристаллах с примесями эрбия изучали спектры поглощения, люминесценции, измеряли время жизни когерентности резонансных оптических и магнитных переходов (см., например [1—6]). В экспериментах по фотонному эхо (ФЭ) обычно изучается кривая спад интенсивности сигналов ФЭ в зависимости от времени и не рассматривается влияние на ФЭ постоянных и импульсных магнитных полей. В работе [7] в образцах YLiF 4 MathType@MTEF@5@5@+= feaahGart1ev3aaatCvAUfeBSjuyZL2yd9gzLbvyNv2Caerbov2D09 MBdbqedmvETj2BSbqeduuDJXwAKbYu51MyVXgarqqr1ngBPrgifHhD YfgasaacHOWxh9vrFfeu0dXdh9vqqj=hEeeu0xXdbba9frFj0=OqFf ea0dXdd9vqaq=JfrVkFHe9pgea0dXdar=Jb9hs0dXdbPYxe9vr0=vr 0=vqpWqaaeaabiGaaiaadaqabeaabeqacqaaaOqaceaaC1aeaaaaaa aaa8qacaqGzbGaaeitaiaabMgacaqGgbWdamaaBaaaleaapeGaaein aaWdaeqaaaaa@3B02@  и LuLiF 4 MathType@MTEF@5@5@+= feaahGart1ev3aaatCvAUfeBSjuyZL2yd9gzLbvyNv2Caerbov2D09 MBdbqedmvETj2BSbqeduuDJXwAKbYu51MyVXgarqqr1ngBPrgifHhD YfgasaacHOWxh9vrFfeu0dXdh9vqqj=hEeeu0xXdbba9frFj0=OqFf ea0dXdd9vqaq=JfrVkFHe9pgea0dXdar=Jb9hs0dXdbPYxe9vr0=vr 0=vqpWqaaeaabiGaaiaadaqabeaabeqacqaaaOqaceaaC1aeaaaaaa aaa8qacaqGmbGaaeyDaiaabYeacaqGPbGaaeOra8aadaWgaaWcbaWd biaabsdaa8aabeaaaaa@3BED@  с широким набором значений концентрации ионов эрбия впервые в диэлектрических кристаллах было обнаружено проявление памяти в виде гистерезиса-бабочки в зависимости от величины и изменения направления постоянного магнитного поля.

Эксперимент

В настоящей работе была изучена зависимость интенсивности ФЭ в диэлектрических монокристаллах LuLiF 4 MathType@MTEF@5@5@+= feaahGart1ev3aaatCvAUfeBSjuyZL2yd9gzLbvyNv2Caerbov2D09 MBdbqedmvETj2BSbqeduuDJXwAKbYu51MyVXgarqqr1ngBPrgifHhD YfgasaacHOWxh9vrFfeu0dXdh9vqqj=hEeeu0xXdbba9frFj0=OqFf ea0dXdd9vqaq=JfrVkFHe9pgea0dXdar=Jb9hs0dXdbPYxe9vr0=vr 0=vqpWqaaeaabiGaaiaadaqabeaabeqacqaaaOqaceaaC1aeaaaaaa aaa8qacaqGmbGaaeyDaiaabYeacaqGPbGaaeOra8aadaWgaaWcbaWd biaabsdaa8aabeaaaaa@3BED@  и YLiF 4 MathType@MTEF@5@5@+= feaahGart1ev3aaatCvAUfeBSjuyZL2yd9gzLbvyNv2Caerbov2D09 MBdbqedmvETj2BSbqeduuDJXwAKbYu51MyVXgarqqr1ngBPrgifHhD YfgasaacHOWxh9vrFfeu0dXdh9vqqj=hEeeu0xXdbba9frFj0=OqFf ea0dXdd9vqaq=JfrVkFHe9pgea0dXdar=Jb9hs0dXdbPYxe9vr0=vr 0=vqpWqaaeaabiGaaiaadaqabeaabeqacqaaaOqaceaaC1aeaaaaaa aaa8qacaqGzbGaaeitaiaabMgacaqGgbWdamaaBaaaleaapeGaaein aaWdaeqaaaaa@3B02@  c ионами эрбия разной концентрации от напряженности и знака изменения (увеличение–уменьшение) внешнего постоянного магнитного поля Н при подаче на образец импульсного магнитного поля h MathType@MTEF@5@5@+= feaahGart1ev3aaatCvAUfeBSjuyZL2yd9gzLbvyNv2Caerbov2D09 MBdbqedmvETj2BSbqeduuDJXwAKbYu51MyVXgarqqr1ngBPrgifHhD YfgasaacHOWxh9vrFfeu0dXdh9vqqj=hEeeu0xXdbba9frFj0=OqFf ea0dXdd9vqaq=JfrVkFHe9pgea0dXdar=Jb9hs0dXdbPYxe9vr0=vr 0=vqpWqaaeaabiGaaiaadaqabeaabeqacqaaaOqaceaaC1aeaaaaaa aaa8qacaWGObaaaa@377E@ . Магнитные импульсы (МИ) длительностью 20—40 нс включались либо после первого, либо после второго лазерного импульса.

Обращенное двухимпульсное ФЭ наблюдали при температуре 2 К на в образцах YLiF 4 :Er 3+ MathType@MTEF@5@5@+= feaahGart1ev3aaatCvAUfeBSjuyZL2yd9gzLbvyNv2Caerbov2D09 MBdbqedmvETj2BSbqeduuDJXwAKbYu51MyVXgarqqr1ngBPrgifHhD YfgasaacHOWxh9vrFfeu0dXdh9vqqj=hEeeu0xXdbba9frFj0=OqFf ea0dXdd9vqaq=JfrVkFHe9pgea0dXdar=Jb9hs0dXdbPYxe9vr0=vr 0=vqpWqaaeaabiGaaiaadaqabeaabeqacqaaaOqaceaaC1aeaaaaaa aaa8qacaqGzbGaaeitaiaabMgacaqGgbWdamaaBaaaleaapeGaaein aaWdaeqaaOWdbiaabQdacaqGfbGaaeOCa8aadaahaaWcbeqaa8qaca qGZaGaae4kaaaaaaa@3F46@  и LuLiF 4 :Er 3+ MathType@MTEF@5@5@+= feaahGart1ev3aaatCvAUfeBSjuyZL2yd9gzLbvyNv2Caerbov2D09 MBdbqedmvETj2BSbqeduuDJXwAKbYu51MyVXgarqqr1ngBPrgifHhD YfgasaacHOWxh9vrFfeu0dXdh9vqqj=hEeeu0xXdbba9frFj0=OqFf ea0dXdd9vqaq=JfrVkFHe9pgea0dXdar=Jb9hs0dXdbPYxe9vr0=vr 0=vqpWqaaeaabiGaaiaadaqabeaabeqacqaaaOqaceaaC1aeaaaaaa aaa8qacaqGmbGaaeyDaiaabYeacaqGPbGaaeOra8aadaWgaaWcbaWd biaabsdaa8aabeaak8qacaqG6aGaaeyraiaabkhapaWaaWbaaSqabe aapeGaae4maiaabUcaaaaaaa@4031@  на переходе 4 I 15/2 4 F 9/2 MathType@MTEF@5@5@+= feaahGart1ev3aaatCvAUfeBSjuyZL2yd9gzLbvyNv2Caerbov2D09 MBdbqedmvETj2BSbqeduuDJXwAKbYu51MyVXgarqqr1ngBPrgifHhD YfgasaacHOWxh9vrFfeu0dXdh9vqqj=hEeeu0xXdbba9frFj0=OqFf ea0dXdd9vqaq=JfrVkFHe9pgea0dXdar=Jb9hs0dXdbPYxe9vr0=vr 0=vqpWqaaeaabiGaaiaadaqabeaabeqacqaaaOqaceaaC1WaaWbaaS qabeaaqaaaaaaaaaWdbiaabsdaaaGccaqGjbWdamaaBaaaleaapeGa aeymaiaabwdacaqGVaGaaeOmaaWdaeqaaOGaeyOKH46aaWbaaSqabe aapeGaaeinaaaakiaabAeapaWaaSbaaSqaa8qacaqG5aGaae4laiaa bkdaa8aabeaaaaa@41B3@ . Возбуждающие ФЭ лазерные импульсы длительностью τ = 12 MathType@MTEF@5@5@+= feaahGart1ev3aaatCvAUfeBSjuyZL2yd9gzLbvyNv2Caerbov2D09 MBdbqedmvETj2BSbqeduuDJXwAKbYu51MyVXgarqqr1ngBPrgifHhD YfgasaacHOWxh9vrFfeu0dXdh9vqqj=hEeeu0xXdbba9frFj0=OqFf ea0dXdd9vqaq=JfrVkFHe9pgea0dXdar=Jb9hs0dXdbPYxe9vr0=vr 0=vqpWqaaeaabiGaaiaadaqabeaabeqacqaaaOqaceaaC1aeaaaaaa aaa8qacqaHepaDcaqGGaGaeyypa0JaaeiiaiaaigdacaaIYaaaaa@3C19@  нс генерировались перестраиваемым лазером на красителе оксазин 17. Задержку t 12 MathType@MTEF@5@5@+= feaahGart1ev3aaatCvAUfeBSjuyZL2yd9gzLbvyNv2Caerbov2D09 MBdbqedmvETj2BSbqeduuDJXwAKbYu51MyVXgarqqr1ngBPrgifHhD YfgasaacHOWxh9vrFfeu0dXdh9vqqj=hEeeu0xXdbba9frFj0=OqFf ea0dXdd9vqaq=JfrVkFHe9pgea0dXdar=Jb9hs0dXdbPYxe9vr0=vr 0=vqpWqaaeaabiGaaiaadaqabeaabeqacqaaaOqaceaaC1aeaaaaaa aaa8qacaWG0bWdamaaBaaaleaapeGaaGymaiaaikdaa8aabeaaaaa@395B@  между лазерными импульсами меняли в пределах 33—60 нс. Угол между лазерными импульсами MathType@MTEF@5@5@+= feaahGart1ev3aaatCvAUfeBSjuyZL2yd9gzLbvyNv2Caerbov2D09 MBdbqedmvETj2BSbqeduuDJXwAKbYu51MyVXgarqqr1ngBPrgifHhD YfgasaacHOWxh9vrFfeu0dXdh9vqqj=hEeeu0xXdbba9frFj0=OqFf ea0dXdd9vqaq=JfrVkFHe9pgea0dXdar=Jb9hs0dXdbPYxe9vr0=vr 0=vqpWqaaeaabiGaaiaadaqabeaabeqacqaaaOqaceaaC1GaeSyiIi faaa@3797@  ( k 1 MathType@MTEF@5@5@+= feaahGart1ev3aqatCvAUfeBSjuyZL2yd9gzLbvyNv2Caerbov2D09 MBdbqedmvETj2BSbqeduuDJXwAKbYu51MyVXgarqqr1ngBPrgifHhD YfgasaacHOWxh9vrFfeu0dXdh9vqqj=hEeeu0xXdbba9frFj0=OqFf ea0dXdd9vqaq=JfrVkFHe9pgea0dXdar=Jb9hs0dXdbPYxe9vr0=vr 0=vqpWqaaeaabiGaaiaadaqabeaabeqacqaaaOqaamaaFiaabaaeaa aaaaaaa8qacaWGRbWdamaaBaaaleaapeGaaGymaaWdaeqaaaGccaGL xdcaaaa@39E9@ , k 2 MathType@MTEF@5@5@+= feaahGart1ev3aqatCvAUfeBSjuyZL2yd9gzLbvyNv2Caerbov2D09 MBdbqedmvETj2BSbqeduuDJXwAKbYu51MyVXgarqqr1ngBPrgifHhD YfgasaacHOWxh9vrFfeu0dXdh9vqqj=hEeeu0xXdbba9frFj0=OqFf ea0dXdd9vqaq=JfrVkFHe9pgea0dXdar=Jb9hs0dXdbPYxe9vr0=vr 0=vqpWqaaeaabiGaaiaadaqabeaabeqacqaaaOqaamaaFiaabaaeaa aaaaaaa8qacaWGRbWdamaaBaaaleaapeGaaGOmaaWdaeqaaaGccaGL xdcaaaa@39EA@  ) = 2°. MathType@MTEF@5@5@+= feaahGart1ev3aaatCvAUfeBSjuyZL2yd9gzLbvyNv2Caerbov2D09 MBdbqedmvETj2BSbqeduuDJXwAKbYu51MyVXgarqqr1ngBPrgifHhD YfgasaacHOWxh9vrFfeu0dXdh9vqqj=hEeeu0xXdbba9frFj0=OqFf ea0dXdd9vqaq=JfrVkFHe9pgea0dXdar=Jb9hs0dXdbPYxe9vr0=vr 0=vqpWqaaeaabiGaaiaadaqabeaabeqacqaaaOqaceaaC1aeaaaaaa aaa8qacaaIYaGaeyiSaaRaaiOlaaaa@39EB@  Первый лазерный импульс k 1 MathType@MTEF@5@5@+= feaahGart1ev3aqatCvAUfeBSjuyZL2yd9gzLbvyNv2Caerbov2D09 MBdbqedmvETj2BSbqeduuDJXwAKbYu51MyVXgarqqr1ngBPrgifHhD YfgasaacHOWxh9vrFfeu0dXdh9vqqj=hEeeu0xXdbba9frFj0=OqFf ea0dXdd9vqaq=JfrVkFHe9pgea0dXdar=Jb9hs0dXdbPYxe9vr0=vr 0=vqpWqaaeaabiGaaiaadaqabeaabeqacqaaaOqaamaaFiaabaaeaa aaaaaaa8qacaWGRbWdamaaBaaaleaapeGaaGymaaWdaeqaaaGccaGL xdcaaaa@39E9@  был направлен перпендикулярно направлению постоянного магнитного поля H MathType@MTEF@5@5@+= feaahGart1ev3aqatCvAUfeBSjuyZL2yd9gzLbvyNv2Caerbov2D09 MBdbqedmvETj2BSbqeduuDJXwAKbYu51MyVXgarqqr1ngBPrgifHhD YfgasaacHOWxh9vrFfeu0dXdh9vqqj=hEeeu0xXdbba9frFj0=OqFf ea0dXdd9vqaq=JfrVkFHe9pgea0dXdar=Jb9hs0dXdbPYxe9vr0=vr 0=vqpWqaaeaabiGaaiaadaqabeaabeqacqaaaOqaaabaaaaaaaaape Gabmisa8aagaWcaaaa@3714@ . Образцы YLiF 4 MathType@MTEF@5@5@+= feaahGart1ev3aaatCvAUfeBSjuyZL2yd9gzLbvyNv2Caerbov2D09 MBdbqedmvETj2BSbqeduuDJXwAKbYu51MyVXgarqqr1ngBPrgifHhD YfgasaacHOWxh9vrFfeu0dXdh9vqqj=hEeeu0xXdbba9frFj0=OqFf ea0dXdd9vqaq=JfrVkFHe9pgea0dXdar=Jb9hs0dXdbPYxe9vr0=vr 0=vqpWqaaeaabiGaaiaadaqabeaabeqacqaaaOqaceaaC1aeaaaaaa aaa8qacaqGzbGaaeitaiaabMgacaqGgbWdamaaBaaaleaapeGaaein aaWdaeqaaaaa@3B02@  и LuLiF 4 MathType@MTEF@5@5@+= feaahGart1ev3aaatCvAUfeBSjuyZL2yd9gzLbvyNv2Caerbov2D09 MBdbqedmvETj2BSbqeduuDJXwAKbYu51MyVXgarqqr1ngBPrgifHhD YfgasaacHOWxh9vrFfeu0dXdh9vqqj=hEeeu0xXdbba9frFj0=OqFf ea0dXdd9vqaq=JfrVkFHe9pgea0dXdar=Jb9hs0dXdbPYxe9vr0=vr 0=vqpWqaaeaabiGaaiaadaqabeaabeqacqaaaOqaceaaC1aeaaaaaa aaa8qacaqGmbGaaeyDaiaabYeacaqGPbGaaeOra8aadaWgaaWcbaWd biaabsdaa8aabeaaaaa@3BED@  с естественным содержание ионов эрбия разной концентрации вклеивали в соленоид, состоящий из двух одинаковых катушек из нескольких витков медного провода диаметром 0.2 мм. Образец вклеивали таким образом, чтобы ось соленоида была перпендикулярна оси C MathType@MTEF@5@5@+= feaahGart1ev3aqatCvAUfeBSjuyZL2yd9gzLbvyNv2Caerbov2D09 MBdbqedmvETj2BSbqeduuDJXwAKbYu51MyVXgarqqr1ngBPrgifHhD YfgasaacHOWxh9vrFfeu0dXdh9vqqj=hEeeu0xXdbba9frFj0=OqFf ea0dXdd9vqaq=JfrVkFHe9pgea0dXdar=Jb9hs0dXdbPYxe9vr0=vr 0=vqpWqaaeaabiGaaiaadaqabeaabeqacqaaaOqaaabaaaaaaaaape Gabm4qa8aagaWcaaaa@370F@  кристалла. Между катушками был зазор, в который, при необходимости, вводили лазерное излучение. Диаметр катушек и зазор между ними выбирали для каждого образца индивидуально, в зависимости от его размеров. На соленоид подавали импульсы тока, амплитуду которых меняли при помощи ступенчатого аттенюатора. Импульсное магнитное поле h MathType@MTEF@5@5@+= feaahGart1ev3aaatCvAUfeBSjuyZL2yd9gzLbvyNv2Caerbov2D09 MBdbqedmvETj2BSbqeduuDJXwAKbYu51MyVXgarqqr1ngBPrgifHhD YfgasaacHOWxh9vrFfeu0dXdh9vqqj=hEeeu0xXdbba9frFj0=OqFf ea0dXdd9vqaq=JfrVkFHe9pgea0dXdar=Jb9hs0dXdbPYxe9vr0=vr 0=vqpWqaaeaabiGaaiaadaqabeaabeqacqaaaOqaceaaC1aeaaaaaa aaa8qacaWGObaaaa@377E@  в соленоиде рассчитывали в программе MATLAB. Образец ориентировали в криостате так, чтобы выполнялись условия: C MathType@MTEF@5@5@+= feaahGart1ev3aqatCvAUfeBSjuyZL2yd9gzLbvyNv2Caerbov2D09 MBdbqedmvETj2BSbqeduuDJXwAKbYu51MyVXgarqqr1ngBPrgifHhD YfgasaacHOWxh9vrFfeu0dXdh9vqqj=hEeeu0xXdbba9frFj0=OqFf ea0dXdd9vqaq=JfrVkFHe9pgea0dXdar=Jb9hs0dXdbPYxe9vr0=vr 0=vqpWqaaeaabiGaaiaadaqabeaabeqacqaaaOqaaabaaaaaaaaape Gabm4qa8aagaWcaaaa@370F@  || H MathType@MTEF@5@5@+= feaahGart1ev3aqatCvAUfeBSjuyZL2yd9gzLbvyNv2Caerbov2D09 MBdbqedmvETj2BSbqeduuDJXwAKbYu51MyVXgarqqr1ngBPrgifHhD YfgasaacHOWxh9vrFfeu0dXdh9vqqj=hEeeu0xXdbba9frFj0=OqFf ea0dXdd9vqaq=JfrVkFHe9pgea0dXdar=Jb9hs0dXdbPYxe9vr0=vr 0=vqpWqaaeaabiGaaiaadaqabeaabeqacqaaaOqaaabaaaaaaaaape Gabmisa8aagaWcaaaa@3714@ , C MathType@MTEF@5@5@+= feaahGart1ev3aqatCvAUfeBSjuyZL2yd9gzLbvyNv2Caerbov2D09 MBdbqedmvETj2BSbqeduuDJXwAKbYu51MyVXgarqqr1ngBPrgifHhD YfgasaacHOWxh9vrFfeu0dXdh9vqqj=hEeeu0xXdbba9frFj0=OqFf ea0dXdd9vqaq=JfrVkFHe9pgea0dXdar=Jb9hs0dXdbPYxe9vr0=vr 0=vqpWqaaeaabiGaaiaadaqabeaabeqacqaaaOqaaabaaaaaaaaape Gabm4qa8aagaWcaaaa@370F@  || h MathType@MTEF@5@5@+= feaahGart1ev3aqatCvAUfeBSjuyZL2yd9gzLbvyNv2Caerbov2D09 MBdbqedmvETj2BSbqeduuDJXwAKbYu51MyVXgarqqr1ngBPrgifHhD YfgasaacHOWxh9vrFfeu0dXdh9vqqj=hEeeu0xXdbba9frFj0=OqFf ea0dXdd9vqaq=JfrVkFHe9pgea0dXdar=Jb9hs0dXdbPYxe9vr0=vr 0=vqpWqaaeaabiGaaiaadaqabeaabeqacqaaaOqaaabaaaaaaaaape GabmiAa8aagaWcaaaa@3734@ , h MathType@MTEF@5@5@+= feaahGart1ev3aqatCvAUfeBSjuyZL2yd9gzLbvyNv2Caerbov2D09 MBdbqedmvETj2BSbqeduuDJXwAKbYu51MyVXgarqqr1ngBPrgifHhD YfgasaacHOWxh9vrFfeu0dXdh9vqqj=hEeeu0xXdbba9frFj0=OqFf ea0dXdd9vqaq=JfrVkFHe9pgea0dXdar=Jb9hs0dXdbPYxe9vr0=vr 0=vqpWqaaeaabiGaaiaadaqabeaabeqacqaaaOqaaabaaaaaaaaape GabmiAa8aagaWcaaaa@3734@  || k 1 MathType@MTEF@5@5@+= feaahGart1ev3aqatCvAUfeBSjuyZL2yd9gzLbvyNv2Caerbov2D09 MBdbqedmvETj2BSbqeduuDJXwAKbYu51MyVXgarqqr1ngBPrgifHhD YfgasaacHOWxh9vrFfeu0dXdh9vqqj=hEeeu0xXdbba9frFj0=OqFf ea0dXdd9vqaq=JfrVkFHe9pgea0dXdar=Jb9hs0dXdbPYxe9vr0=vr 0=vqpWqaaeaabiGaaiaadaqabeaabeqacqaaaOqaamaaFiaabaaeaa aaaaaaa8qacaWGRbWdamaaBaaaleaapeGaaGymaaWdaeqaaaGccaGL xdcaaaa@39E9@  ^ C MathType@MTEF@5@5@+= feaahGart1ev3aqatCvAUfeBSjuyZL2yd9gzLbvyNv2Caerbov2D09 MBdbqedmvETj2BSbqeduuDJXwAKbYu51MyVXgarqqr1ngBPrgifHhD YfgasaacHOWxh9vrFfeu0dXdh9vqqj=hEeeu0xXdbba9frFj0=OqFf ea0dXdd9vqaq=JfrVkFHe9pgea0dXdar=Jb9hs0dXdbPYxe9vr0=vr 0=vqpWqaaeaabiGaaiaadaqabeaabeqacqaaaOqaaabaaaaaaaaape Gabm4qa8aagaWcaaaa@370F@ . Основные особенности приведенных ниже результатов наблюдались во всех исследованных образцах, но, в качестве примера, результаты приведены для образца YLiF 4 :Er 3+ MathType@MTEF@5@5@+= feaahGart1ev3aaatCvAUfeBSjuyZL2yd9gzLbvyNv2Caerbov2D09 MBdbqedmvETj2BSbqeduuDJXwAKbYu51MyVXgarqqr1ngBPrgifHhD YfgasaacHOWxh9vrFfeu0dXdh9vqqj=hEeeu0xXdbba9frFj0=OqFf ea0dXdd9vqaq=JfrVkFHe9pgea0dXdar=Jb9hs0dXdbPYxe9vr0=vr 0=vqpWqaaeaabiGaaiaadaqabeaabeqacqaaaOqaceaaC1aeaaaaaa aaa8qacaqGzbGaaeitaiaabMgacaqGgbWdamaaBaaaleaapeGaaein aaWdaeqaaOWdbiaabQdacaqGfbGaaeOCa8aadaahaaWcbeqaa8qaca qGZaGaae4kaaaaaaa@3F46@ (0.025 %).

Ионы Er 3+ MathType@MTEF@5@5@+= feaahGart1ev3aaatCvAUfeBSjuyZL2yd9gzLbvyNv2Caerbov2D09 MBdbqedmvETj2BSbqeduuDJXwAKbYu51MyVXgarqqr1ngBPrgifHhD YfgasaacHOWxh9vrFfeu0dXdh9vqqj=hEeeu0xXdbba9frFj0=OqFf ea0dXdd9vqaq=JfrVkFHe9pgea0dXdar=Jb9hs0dXdbPYxe9vr0=vr 0=vqpWqaaeaabiGaaiaadaqabeaabeqacqaaaOqaceaaC1aeaaaaaa aaa8qacaqGfbGaaeOCa8aadaahaaWcbeqaa8qacaqGZaGaae4kaaaa aaa@39FE@  в матрицах LiYF 4 MathType@MTEF@5@5@+= feaahGart1ev3aaatCvAUfeBSjuyZL2yd9gzLbvyNv2Caerbov2D09 MBdbqedmvETj2BSbqeduuDJXwAKbYu51MyVXgarqqr1ngBPrgifHhD YfgasaacHOWxh9vrFfeu0dXdh9vqqj=hEeeu0xXdbba9frFj0=OqFf ea0dXdd9vqaq=JfrVkFHe9pgea0dXdar=Jb9hs0dXdbPYxe9vr0=vr 0=vqpWqaaeaabiGaaiaadaqabeaabeqacqaaaOqaceaaC1aeaaaaaa aaa8qacaqGmbGaaeyAaiaabMfacaqGgbWdamaaBaaaleaapeGaaein aaWdaeqaaaaa@3B02@  и LiLuF 4 MathType@MTEF@5@5@+= feaahGart1ev3aaatCvAUfeBSjuyZL2yd9gzLbvyNv2Caerbov2D09 MBdbqedmvETj2BSbqeduuDJXwAKbYu51MyVXgarqqr1ngBPrgifHhD YfgasaacHOWxh9vrFfeu0dXdh9vqqj=hEeeu0xXdbba9frFj0=OqFf ea0dXdd9vqaq=JfrVkFHe9pgea0dXdar=Jb9hs0dXdbPYxe9vr0=vr 0=vqpWqaaeaabiGaaiaadaqabeaabeqacqaaaOqaceaaC1aeaaaaaa aaa8qacaqGmbGaaeyAaiaabYeacaqG1bGaaeOra8aadaWgaaWcbaWd biaabsdaa8aabeaaaaa@3BED@  являются крамерсовыми ионами, поэтому нижние кристаллические уровни основного 4 I 15/2 I MathType@MTEF@5@5@+= feaahGart1ev3aaatCvAUfeBSjuyZL2yd9gzLbvyNv2Caerbov2D09 MBdbqedmvETj2BSbqeduuDJXwAKbYu51MyVXgarqqr1ngBPrgifHhD YfgasaacHOWxh9vrFfeu0dXdh9vqqj=hEeeu0xXdbba9frFj0=OqFf ea0dXdd9vqaq=JfrVkFHe9pgea0dXdar=Jb9hs0dXdbPYxe9vr0=vr 0=vqpWqaaeaabiGaaiaadaqabeaabeqacqaaaOqaceaaC1WaaWbaaS qabeaaqaaaaaaaaaWdbiaabsdaaaGccaqGjbWdamaaBaaaleaapeGa aeymaiaabwdacaqGVaGaaeOmaaWdaeqaaOWaaeWaaeaapeGaaeysaa WdaiaawIcacaGLPaaaaaa@3DF6@  и возбужденного 4 F 9/2 I MathType@MTEF@5@5@+= feaahGart1ev3aaatCvAUfeBSjuyZL2yd9gzLbvyNv2Caerbov2D09 MBdbqedmvETj2BSbqeduuDJXwAKbYu51MyVXgarqqr1ngBPrgifHhD YfgasaacHOWxh9vrFfeu0dXdh9vqqj=hEeeu0xXdbba9frFj0=OqFf ea0dXdd9vqaq=JfrVkFHe9pgea0dXdar=Jb9hs0dXdbPYxe9vr0=vr 0=vqpWqaaeaabiGaaiaadaqabeaabeqacqaaaOqaceaaC1WaaWbaaS qabeaaqaaaaaaaaaWdbiaabsdaaaGccaqGgbWdamaaBaaaleaapeGa aeyoaiaab+cacaqGYaaapaqabaGcdaqadaqaa8qacaqGjbaapaGaay jkaiaawMcaaaaa@3D43@  мультиплетов двукратно вырождены по спиновому числу. При подаче резонансного оптического импульса возбуждаются обе группы ионов Er 3+ MathType@MTEF@5@5@+= feaahGart1ev3aaatCvAUfeBSjuyZL2yd9gzLbvyNv2Caerbov2D09 MBdbqedmvETj2BSbqeduuDJXwAKbYu51MyVXgarqqr1ngBPrgifHhD YfgasaacHOWxh9vrFfeu0dXdh9vqqj=hEeeu0xXdbba9frFj0=OqFf ea0dXdd9vqaq=JfrVkFHe9pgea0dXdar=Jb9hs0dXdbPYxe9vr0=vr 0=vqpWqaaeaabiGaaiaadaqabeaabeqacqaaaOqaceaaC1aeaaaaaa aaa8qacaqGfbGaaeOCa8aadaahaaWcbeqaa8qacaqGZaGaae4kaaaa aaa@39FE@ , имеющие в основном состоянии как проекцию спина Sz = 1/2, так и Sz = –1/2.

В магнитном поле H MathType@MTEF@5@5@+= feaahGart1ev3aqatCvAUfeBSjuyZL2yd9gzLbvyNv2Caerbov2D09 MBdbqedmvETj2BSbqeduuDJXwAKbYu51MyVXgarqqr1ngBPrgifHhD YfgasaacHOWxh9vrFfeu0dXdh9vqqj=hEeeu0xXdbba9frFj0=OqFf ea0dXdd9vqaq=JfrVkFHe9pgea0dXdar=Jb9hs0dXdbPYxe9vr0=vr 0=vqpWqaaeaabiGaaiaadaqabeaabeqacqaaaOqaaabaaaaaaaaape Gabmisa8aagaWcaaaa@3714@ , параллельном оси C MathType@MTEF@5@5@+= feaahGart1ev3aqatCvAUfeBSjuyZL2yd9gzLbvyNv2Caerbov2D09 MBdbqedmvETj2BSbqeduuDJXwAKbYu51MyVXgarqqr1ngBPrgifHhD YfgasaacHOWxh9vrFfeu0dXdh9vqqj=hEeeu0xXdbba9frFj0=OqFf ea0dXdd9vqaq=JfrVkFHe9pgea0dXdar=Jb9hs0dXdbPYxe9vr0=vr 0=vqpWqaaeaabiGaaiaadaqabeaabeqacqaaaOqaaabaaaaaaaaape Gabm4qa8aagaWcaaaa@370F@  наших кристаллов, для p-поляризации лазерного импульса разрешены переходы без изменения знака спина. Оптические частоты переходов каждой из групп ионов изменяются на разную по знаку величину, зависящую от проекции спина:

Δν= S z β/( g g)H, MathType@MTEF@5@5@+= feaahGart1ev3aaatCvAUfeBSjuyZL2yd9gzLbvyNv2Caerbov2D09 MBdbqedmvETj2BSbqeduuDJXwAKbYu51MyVXgarqqr1ngBPrgifHhD YfgasaacHOWxh9vrFfeu0dXdh9vqqj=hEeeu0xXdbba9frFj0=OqFf ea0dXdd9vqaq=JfrVkFHe9pgea0dXdar=Jb9hs0dXdbPYxe9vr0=vr 0=vqpWqaaeaabiGaaiaadaqabeaabeqacqaaaOqaaiabfs5aejabe2 7aUjabg2da9iaadofadaWgaaWcbaGaaeOEaaqabaGccqaHYoGycaqG VaGaeS4dHGMaaiikaiqadEgagaqbaiabgkHiTiaadEgacaGGPaGaam isaiaacYcaaaa@4557@

где β MathType@MTEF@5@5@+= feaahGart1ev3aaatCvAUfeBSjuyZL2yd9gzLbvyNv2Caerbov2D09 MBdbqedmvETj2BSbqeduuDJXwAKbYu51MyVXgarqqr1ngBPrgifHhD YfgasaacHOWxh9vrFfeu0dXdh9vqqj=hEeeu0xXdbba9frFj0=OqFf ea0dXdd9vqaq=JfrVkFHe9pgea0dXdar=Jb9hs0dXdbPYxe9vr0=vr 0=vqpWqaaeaabiGaaiaadaqabeaabeqacqaaaOqaceaaC1GaeqOSdi gaaa@3812@  — магнетон Бора, MathType@MTEF@5@5@+= feaahGart1ev3aaatCvAUfeBSjuyZL2yd9gzLbvyNv2Caerbov2D09 MBdbqedmvETj2BSbqeduuDJXwAKbYu51MyVXgarqqr1ngBPrgifHhD YfgasaacHOWxh9vrFfeu0dXdh9vqqj=hEeeu0xXdbba9frFj0=OqFf ea0dXdd9vqaq=JfrVkFHe9pgea0dXdar=Jb9hs0dXdbPYxe9vr0=vr 0=vqpWqaaeaabiGaaiaadaqabeaabeqacqaaaOqaceaaC1GaeS4dHG gaaa@379A@  — постоянная Планка, g MathType@MTEF@5@5@+= feaahGart1ev3aaatCvAUfeBSjuyZL2yd9gzLbvyNv2Caerbov2D09 MBdbqedmvETj2BSbqeduuDJXwAKbYu51MyVXgarqqr1ngBPrgifHhD YfgasaacHOWxh9vrFfeu0dXdh9vqqj=hEeeu0xXdbba9frFj0=OqFf ea0dXdd9vqaq=JfrVkFHe9pgea0dXdar=Jb9hs0dXdbPYxe9vr0=vr 0=vqpWqaaeaabiGaaiaadaqabeaabeqacqaaaOqaceaaC1aeaaaaaa aaa8qaceWGNbGbauaaaaa@3789@  и g MathType@MTEF@5@5@+= feaahGart1ev3aaatCvAUfeBSjuyZL2yd9gzLbvyNv2Caerbov2D09 MBdbqedmvETj2BSbqeduuDJXwAKbYu51MyVXgarqqr1ngBPrgifHhD YfgasaacHOWxh9vrFfeu0dXdh9vqqj=hEeeu0xXdbba9frFj0=OqFf ea0dXdd9vqaq=JfrVkFHe9pgea0dXdar=Jb9hs0dXdbPYxe9vr0=vr 0=vqpWqaaeaabiGaaiaadaqabeaabeqacqaaaOqaceaaC1aeaaaaaa aaa8qacaWGNbaaaa@377D@  — параллельные оси С компоненты g-факторов возбужденного 4 F 9/2 I MathType@MTEF@5@5@+= feaahGart1ev3aaatCvAUfeBSjuyZL2yd9gzLbvyNv2Caerbov2D09 MBdbqedmvETj2BSbqeduuDJXwAKbYu51MyVXgarqqr1ngBPrgifHhD YfgasaacHOWxh9vrFfeu0dXdh9vqqj=hEeeu0xXdbba9frFj0=OqFf ea0dXdd9vqaq=JfrVkFHe9pgea0dXdar=Jb9hs0dXdbPYxe9vr0=vr 0=vqpWqaaeaabiGaaiaadaqabeaabeqacqaaaOqaceaaC1WaaWbaaS qabeaaqaaaaaaaaaWdbiaabsdaaaGccaqGgbWdamaaBaaaleaapeGa aeyoaiaab+cacaqGYaaapaqabaGcdaqadaqaa8qacaqGjbaapaGaay jkaiaawMcaaaaa@3D43@  и основного 4 I 15/2 I MathType@MTEF@5@5@+= feaahGart1ev3aaatCvAUfeBSjuyZL2yd9gzLbvyNv2Caerbov2D09 MBdbqedmvETj2BSbqeduuDJXwAKbYu51MyVXgarqqr1ngBPrgifHhD YfgasaacHOWxh9vrFfeu0dXdh9vqqj=hEeeu0xXdbba9frFj0=OqFf ea0dXdd9vqaq=JfrVkFHe9pgea0dXdar=Jb9hs0dXdbPYxe9vr0=vr 0=vqpWqaaeaabiGaaiaadaqabeaabeqacqaaaOqaceaaC1WaaWbaaS qabeaaqaaaaaaaaaWdbiaabsdaaaGccaqGjbWdamaaBaaaleaapeGa aeymaiaabwdacaqGVaGaaeOmaaWdaeqaaOWaaeWaaeaapeGaaeysaa WdaiaawIcacaGLPaaaaaa@3DF6@  состояний. В постоянном магнитном поле это не вызывает никаких осцилляций интенсивности ФЭ.

Однако, если магнитный импульс (МИ), параллельный оси C MathType@MTEF@5@5@+= feaahGart1ev3aqatCvAUfeBSjuyZL2yd9gzLbvyNv2Caerbov2D09 MBdbqedmvETj2BSbqeduuDJXwAKbYu51MyVXgarqqr1ngBPrgifHhD YfgasaacHOWxh9vrFfeu0dXdh9vqqj=hEeeu0xXdbba9frFj0=OqFf ea0dXdd9vqaq=JfrVkFHe9pgea0dXdar=Jb9hs0dXdbPYxe9vr0=vr 0=vqpWqaaeaabiGaaiaadaqabeaabeqacqaaaOqaaabaaaaaaaaape Gabm4qa8aagaWcaaaa@370F@ , амплитудой h MathType@MTEF@5@5@+= feaahGart1ev3aaatCvAUfeBSjuyZL2yd9gzLbvyNv2Caerbov2D09 MBdbqedmvETj2BSbqeduuDJXwAKbYu51MyVXgarqqr1ngBPrgifHhD YfgasaacHOWxh9vrFfeu0dXdh9vqqj=hEeeu0xXdbba9frFj0=OqFf ea0dXdd9vqaq=JfrVkFHe9pgea0dXdar=Jb9hs0dXdbPYxe9vr0=vr 0=vqpWqaaeaabiGaaiaadaqabeaabeqacqaaaOqaceaaC1aeaaaaaa aaa8qacaWGObaaaa@377E@  и длительностью τh действует в промежутках времени между первым и вторым лазерными импульсами или между вторым импульсом и сигналом эха, то дипольный момент для каждой из групп ионов за время τh в зависимости от частоты n приобретает дополнительную фазу:

α=±2π ν h h τ h , MathType@MTEF@5@5@+= feaahGart1ev3aaatCvAUfeBSjuyZL2yd9gzLbvyNv2Caerbov2D09 MBdbqedmvETj2BSbqeduuDJXwAKbYu51MyVXgarqqr1ngBPrgifHhD YfgasaacHOWxh9vrFfeu0dXdh9vqqj=hEeeu0xXdbba9frFj0=OqFf ea0dXdd9vqaq=JfrVkFHe9pgea0dXdar=Jb9hs0dXdbPYxe9vr0=vr 0=vqpWqaaeaabiGaaiaadaqabeaabeqacqaaaOqaaiabeg7aHjabg2 da9iabgglaXkaaikdacqaHapaCdaWcaaqaaiabgkGi2kabe27aUbqa aiabgkGi2kaadIgaaaGaamiAaiabes8a0naaBaaaleaacaqGObaabe aakiaacYcaaaa@4715@

где

ν h = 1 2 β ( g g). MathType@MTEF@5@5@+= feaahGart1ev3aaatCvAUfeBSjuyZL2yd9gzLbvyNv2Caerbov2D09 MBdbqedmvETj2BSbqeduuDJXwAKbYu51MyVXgarqqr1ngBPrgifHhD YfgasaacHOWxh9vrFfeu0dXdh9vqqj=hEeeu0xXdbba9frFj0=OqFf ea0dXdd9vqaq=JfrVkFHe9pgea0dXdar=Jb9hs0dXdbPYxe9vr0=vr 0=vqpWqaaeaabiGaaiaadaqabeaabeqacqaaaOqaamaalaaabaGaey OaIyRaeqyVd4gabaGaeyOaIyRaamiAaaaacqGH9aqpdaWcaaqaaiaa igdaaeaacaaIYaaaamaalaaabaGaeqOSdigabaGaeS4dHGgaaiaacI caceWGNbGbauaacqGHsislcaWGNbGaaiykaiaac6caaaa@45C9@

Тогда суммарный дипольный момент будет зависеть от разности фаз α двух прецессирующих дипольных моментов и пропорционален cos(α) MathType@MTEF@5@5@+= feaahGart1ev3aaatCvAUfeBSjuyZL2yd9gzLbvyNv2Caerbov2D09 MBdbqedmvETj2BSbqeduuDJXwAKbYu51MyVXgarqqr1ngBPrgifHhD YfgasaacHOWxh9vrFfeu0dXdh9vqqj=hEeeu0xXdbba9frFj0=OqFf ea0dXdd9vqaq=JfrVkFHe9pgea0dXdar=Jb9hs0dXdbPYxe9vr0=vr 0=vqpWqaaeaabiGaaiaadaqabeaabeqacqaaaOqaceaaC1aeaaaaaa aaa8qacaqGJbGaae4BaiaabohapaGaaiika8qacqaHXoqypaGaaiyk aaaa@3C85@ , а относительное изменение интенсивности фотонного эха равно квадрату косинуса угла:

I I 0 = cos 2 (α). MathType@MTEF@5@5@+= feaahGart1ev3aaatCvAUfeBSjuyZL2yd9gzLbvyNv2Caerbov2D09 MBdbqedmvETj2BSbqeduuDJXwAKbYu51MyVXgarqqr1ngBPrgifHhD YfgasaacHOWxh9vrFfeu0dXdh9vqqj=hEeeu0xXdbba9frFj0=OqFf ea0dXdd9vqaq=JfrVkFHe9pgea0dXdar=Jb9hs0dXdbPYxe9vr0=vr 0=vqpWqaaeaabiGaaiaadaqabeaabeqacqaaaOqaamaalaaabaGaam ysaaqaaiaadMeadaWgaaWcbaGaaGimaaqabaaaaOGaeyypa0Jaci4y aiaac+gacaGGZbWaaWbaaSqabeaacaaIYaaaaOGaaiikaiabeg7aHj aacMcacaGGUaaaaa@4117@

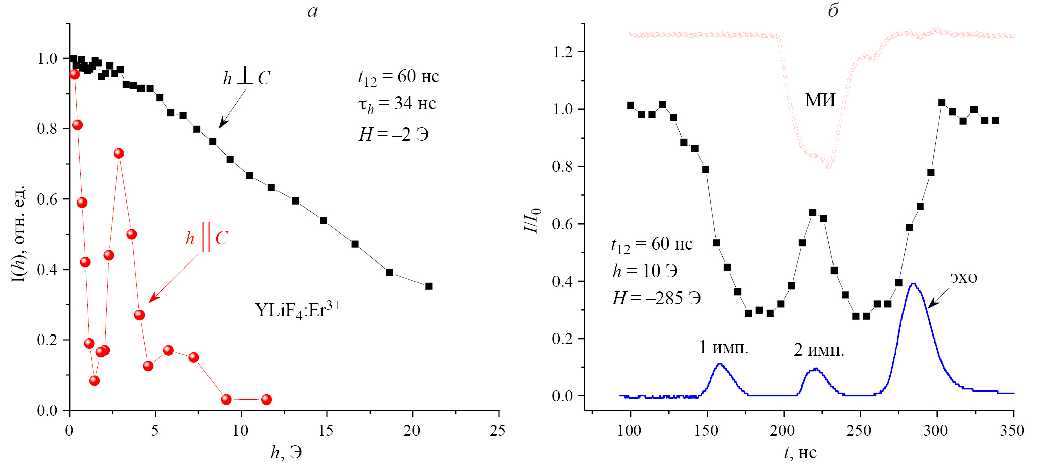
Это объясняет возникновение осцилляций интенсивности ФЭ под действием импульсного магнитного поля, а по периоду осцилляций интенсивности ФЭ легко определить величину g-фактора в возбужденном состоянии, если известна величина g-фактора в основном состоянии и известна площадь h·τh магнитного импульса [8]. Отметим, что для π MathType@MTEF@5@5@+= feaahGart1ev3aaatCvAUfeBSjuyZL2yd9gzLbvyNv2Caerbov2D09 MBdbqedmvETj2BSbqeduuDJXwAKbYu51MyVXgarqqr1ngBPrgifHhD YfgasaacHOWxh9vrFfeu0dXdh9vqqj=hEeeu0xXdbba9frFj0=OqFf ea0dXdd9vqaq=JfrVkFHe9pgea0dXdar=Jb9hs0dXdbPYxe9vr0=vr 0=vqpWqaaeaabiGaaiaadaqabeaabeqacqaaaOqaceaaC1GaeqiWda haaa@382E@  -поляризации лазерных импульсов магнитные импульсы амплитудой менее 10 Э вызывают несколько периодов осцилляций интенсивности эха [8].

В настоящей работе C MathType@MTEF@5@5@+= feaahGart1ev3aqatCvAUfeBSjuyZL2yd9gzLbvyNv2Caerbov2D09 MBdbqedmvETj2BSbqeduuDJXwAKbYu51MyVXgarqqr1ngBPrgifHhD YfgasaacHOWxh9vrFfeu0dXdh9vqqj=hEeeu0xXdbba9frFj0=OqFf ea0dXdd9vqaq=JfrVkFHe9pgea0dXdar=Jb9hs0dXdbPYxe9vr0=vr 0=vqpWqaaeaabiGaaiaadaqabeaabeqacqaaaOqaaabaaaaaaaaape Gabm4qa8aagaWcaaaa@370F@  || H MathType@MTEF@5@5@+= feaahGart1ev3aqatCvAUfeBSjuyZL2yd9gzLbvyNv2Caerbov2D09 MBdbqedmvETj2BSbqeduuDJXwAKbYu51MyVXgarqqr1ngBPrgifHhD YfgasaacHOWxh9vrFfeu0dXdh9vqqj=hEeeu0xXdbba9frFj0=OqFf ea0dXdd9vqaq=JfrVkFHe9pgea0dXdar=Jb9hs0dXdbPYxe9vr0=vr 0=vqpWqaaeaabiGaaiaadaqabeaabeqacqaaaOqaaabaaaaaaaaape Gabmisa8aagaWcaaaa@3714@ , но магнитный импульс h C MathType@MTEF@5@5@+= feaahGart1ev3aqatCvAUfeBSjuyZL2yd9gzLbvyNv2Caerbov2D09 MBdbqedmvETj2BSbqeduuDJXwAKbYu51MyVXgarqqr1ngBPrgifHhD YfgasaacHOWxh9vrFfeu0dXdh9vqqj=hEeeu0xXdbba9frFj0=OqFf ea0dXdd9vqaq=JfrVkFHe9pgea0dXdar=Jb9hs0dXdbPYxe9vr0=vr 0=vqpWqaaeaabiGaaiaadaqabeaabeqacqaaaOqaaabaaaaaaaaape GabmiAa8aagaWca8qacqGHLkIxceWGdbWdayaalaaaaa@39DE@ . Известно, что значения g в основном состоянии для YLiF 4 :Er 3+ MathType@MTEF@5@5@+= feaahGart1ev3aaatCvAUfeBSjuyZL2yd9gzLbvyNv2Caerbov2D09 MBdbqedmvETj2BSbqeduuDJXwAKbYu51MyVXgarqqr1ngBPrgifHhD YfgasaacHOWxh9vrFfeu0dXdh9vqqj=hEeeu0xXdbba9frFj0=OqFf ea0dXdd9vqaq=JfrVkFHe9pgea0dXdar=Jb9hs0dXdbPYxe9vr0=vr 0=vqpWqaaeaabiGaaiaadaqabeaabeqacqaaaOqaceaaC1aeaaaaaa aaa8qacaqGzbGaaeitaiaabMgacaqGgbWdamaaBaaaleaapeGaaein aaWdaeqaaOWdbiaabQdacaqGfbGaaeOCa8aadaahaaWcbeqaa8qaca qGZaGaae4kaaaaaaa@3F46@  и для LuLiF 4 :Er 3+ MathType@MTEF@5@5@+= feaahGart1ev3aaatCvAUfeBSjuyZL2yd9gzLbvyNv2Caerbov2D09 MBdbqedmvETj2BSbqeduuDJXwAKbYu51MyVXgarqqr1ngBPrgifHhD YfgasaacHOWxh9vrFfeu0dXdh9vqqj=hEeeu0xXdbba9frFj0=OqFf ea0dXdd9vqaq=JfrVkFHe9pgea0dXdar=Jb9hs0dXdbPYxe9vr0=vr 0=vqpWqaaeaabiGaaiaadaqabeaabeqacqaaaOqaceaaC1aeaaaaaa aaa8qacaqGmbGaaeyDaiaabYeacaqGPbGaaeOra8aadaWgaaWcbaWd biaabsdaa8aabeaak8qacaqG6aGaaeyraiaabkhapaWaaWbaaSqabe aapeGaae4maiaabUcaaaaaaa@4031@  мало отличаются и для YLiF 4 :Er 3+ g MathType@MTEF@5@5@+= feaahGart1ev3aaatCvAUfeBSjuyZL2yd9gzLbvyNv2Caerbov2D09 MBdbqedmvETj2BSbqeduuDJXwAKbYu51MyVXgarqqr1ngBPrgifHhD YfgasaacHOWxh9vrFfeu0dXdh9vqqj=hEeeu0xXdbba9frFj0=OqFf ea0dXdd9vqaq=JfrVkFHe9pgea0dXdar=Jb9hs0dXdbPYxe9vr0=vr 0=vqpWqaaeaabiGaaiaadaqabeaabeqacqaaaOqaceaaC1aeaaaaaa aaa8qacaqGzbGaaeitaiaabMgacaqGgbWdamaaBaaaleaapeGaaein aaWdaeqaaOWdbiaabQdacaqGfbGaaeOCa8aadaahaaWcbeqaa8qaca qGZaGaae4kaaaakiaadEgadaWgaaWcbaGaeyyPI4fabeaaaaa@4219@  = 8.105 [9]. Для возбужденного состояния точных данных о величине ģ в доступной литературе нет. В любом случае, вследствие эффекта Зеемана, для каждой поляризации должны быть две частоты на переходе 4 I 15/2 4 F 9/2 MathType@MTEF@5@5@+= feaahGart1ev3aaatCvAUfeBSjuyZL2yd9gzLbvyNv2Caerbov2D09 MBdbqedmvETj2BSbqeduuDJXwAKbYu51MyVXgarqqr1ngBPrgifHhD YfgasaacHOWxh9vrFfeu0dXdh9vqqj=hEeeu0xXdbba9frFj0=OqFf ea0dXdd9vqaq=JfrVkFHe9pgea0dXdar=Jb9hs0dXdbPYxe9vr0=vr 0=vqpWqaaeaabiGaaiaadaqabeaabeqacqaaaOqaceaaC1WaaWbaaS qabeaaqaaaaaaaaaWdbiaabsdaaaGccaqGjbWdamaaBaaaleaapeGa aeymaiaabwdacaqGVaGaaeOmaaWdaeqaaOGaeyOKH46aaWbaaSqabe aapeGaaeinaaaakiaabAeapaWaaSbaaSqaa8qacaqG5aGaae4laiaa bkdaa8aabeaaaaa@41B3@ . В этом случае при изменении амплитуды h должны наблюдаться осцилляции интенсивности ФЭ.

На рис. 1а мы видим, что в пределах погрешности измерений осцилляций интенсивности ФЭ нет, хотя амплитуда МИ меняется в диапазоне 0—20 Э. Для сравнения здесь приведена взятая из работы [8] картина осцилляций интенсивности ФЭ в образце YLiF 4 :Er 3+ MathType@MTEF@5@5@+= feaahGart1ev3aaatCvAUfeBSjuyZL2yd9gzLbvyNv2Caerbov2D09 MBdbqedmvETj2BSbqeduuDJXwAKbYu51MyVXgarqqr1ngBPrgifHhD YfgasaacHOWxh9vrFfeu0dXdh9vqqj=hEeeu0xXdbba9frFj0=OqFf ea0dXdd9vqaq=JfrVkFHe9pgea0dXdar=Jb9hs0dXdbPYxe9vr0=vr 0=vqpWqaaeaabiGaaiaadaqabeaabeqacqaaaOqaceaaC1aeaaaaaa aaa8qacaqGzbGaaeitaiaabMgacaqGgbWdamaaBaaaleaapeGaaein aaWdaeqaaOWdbiaabQdacaqGfbGaaeOCa8aadaahaaWcbeqaa8qaca qGZaGaae4kaaaaaaa@3F46@ , когда МИ направлен вдоль оси C MathType@MTEF@5@5@+= feaahGart1ev3aqatCvAUfeBSjuyZL2yd9gzLbvyNv2Caerbov2D09 MBdbqedmvETj2BSbqeduuDJXwAKbYu51MyVXgarqqr1ngBPrgifHhD YfgasaacHOWxh9vrFfeu0dXdh9vqqj=hEeeu0xXdbba9frFj0=OqFf ea0dXdd9vqaq=JfrVkFHe9pgea0dXdar=Jb9hs0dXdbPYxe9vr0=vr 0=vqpWqaaeaabiGaaiaadaqabeaabeqacqaaaOqaaabaaaaaaaaape Gabm4qa8aagaWcaaaa@370F@ . На рис. 1б показано изменение интенсивности ФЭ в зависимости от времени включения МИ. Здесь мы видим, что МИ одинаковым образом меняет интенсивность ФЭ, независимо от того, включен ли он после первого или после второго лазерного импульса.

 

Рис. 1. Зависимость I(h) интенсивности ФЭ от амплитуды h импульсного магнитного поля длительностью 34 нс, включенного после первого лазерного импульса (черные квадратики). Здесь же, для сравнения, красными кружочками показаны осцилляции интенсивности эха, когда h || C [8] (a). Справа (б) черными квадратиками показано, как меняется относительная интенсивность ФЭ в зависимости от времени t включения МИ. Внизу сплошной линией показана осциллограмма наблюдаемых сигналов. Вверху кружочками показан МИ длительностью 34 нс, включенный одновременно со вторым лазерным импульсом.

 

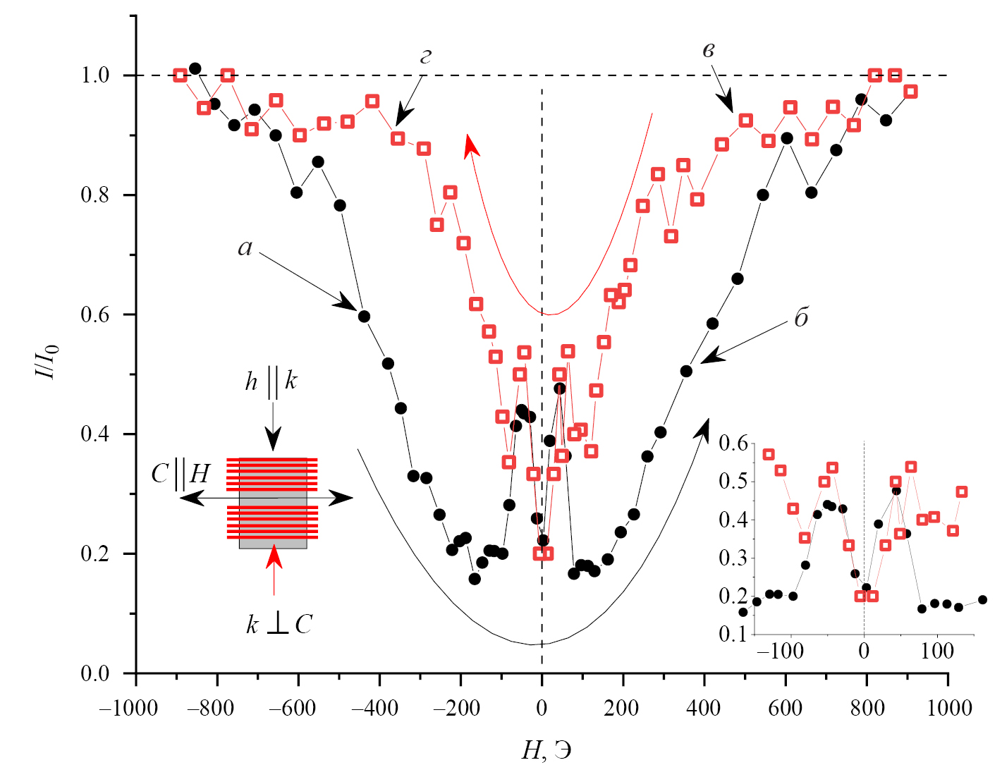
Однако наиболее интересные результаты получаются, когда при неизменной амплитуде h меняется величина и направление сканирования магнитного поля H MathType@MTEF@5@5@+= feaahGart1ev3aqatCvAUfeBSjuyZL2yd9gzLbvyNv2Caerbov2D09 MBdbqedmvETj2BSbqeduuDJXwAKbYu51MyVXgarqqr1ngBPrgifHhD YfgasaacHOWxh9vrFfeu0dXdh9vqqj=hEeeu0xXdbba9frFj0=OqFf ea0dXdd9vqaq=JfrVkFHe9pgea0dXdar=Jb9hs0dXdbPYxe9vr0=vr 0=vqpWqaaeaabiGaaiaadaqabeaabeqacqaaaOqaaabaaaaaaaaape Gabmisa8aagaWcaaaa@3714@ . На рис. 2 показано относительное изменение I/I0 интенсивности ФЭ с включенными МИ и с выключенными МИ в зависимости от величины и направления изменения поля H MathType@MTEF@5@5@+= feaahGart1ev3aqatCvAUfeBSjuyZL2yd9gzLbvyNv2Caerbov2D09 MBdbqedmvETj2BSbqeduuDJXwAKbYu51MyVXgarqqr1ngBPrgifHhD YfgasaacHOWxh9vrFfeu0dXdh9vqqj=hEeeu0xXdbba9frFj0=OqFf ea0dXdd9vqaq=JfrVkFHe9pgea0dXdar=Jb9hs0dXdbPYxe9vr0=vr 0=vqpWqaaeaabiGaaiaadaqabeaabeqacqaaaOqaaabaaaaaaaaape Gabmisa8aagaWcaaaa@3714@ . Важно отметить, что наблюдаемый здесь гистерезис-бабочка получен, когда ось C MathType@MTEF@5@5@+= feaahGart1ev3aqatCvAUfeBSjuyZL2yd9gzLbvyNv2Caerbov2D09 MBdbqedmvETj2BSbqeduuDJXwAKbYu51MyVXgarqqr1ngBPrgifHhD YfgasaacHOWxh9vrFfeu0dXdh9vqqj=hEeeu0xXdbba9frFj0=OqFf ea0dXdd9vqaq=JfrVkFHe9pgea0dXdar=Jb9hs0dXdbPYxe9vr0=vr 0=vqpWqaaeaabiGaaiaadaqabeaabeqacqaaaOqaaabaaaaaaaaape Gabm4qa8aagaWcaaaa@370F@  строго параллельна внешнему полю H MathType@MTEF@5@5@+= feaahGart1ev3aqatCvAUfeBSjuyZL2yd9gzLbvyNv2Caerbov2D09 MBdbqedmvETj2BSbqeduuDJXwAKbYu51MyVXgarqqr1ngBPrgifHhD YfgasaacHOWxh9vrFfeu0dXdh9vqqj=hEeeu0xXdbba9frFj0=OqFf ea0dXdd9vqaq=JfrVkFHe9pgea0dXdar=Jb9hs0dXdbPYxe9vr0=vr 0=vqpWqaaeaabiGaaiaadaqabeaabeqacqaaaOqaaabaaaaaaaaape Gabmisa8aagaWcaaaa@3714@ . В такой ориентации без магнитного импульса гистерезиса в зависимости интенсивности ФЭ от полярности H MathType@MTEF@5@5@+= feaahGart1ev3aqatCvAUfeBSjuyZL2yd9gzLbvyNv2Caerbov2D09 MBdbqedmvETj2BSbqeduuDJXwAKbYu51MyVXgarqqr1ngBPrgifHhD YfgasaacHOWxh9vrFfeu0dXdh9vqqj=hEeeu0xXdbba9frFj0=OqFf ea0dXdd9vqaq=JfrVkFHe9pgea0dXdar=Jb9hs0dXdbPYxe9vr0=vr 0=vqpWqaaeaabiGaaiaadaqabeaabeqacqaaaOqaaabaaaaaaaaape Gabmisa8aagaWcaaaa@3714@  нет [7]. Тем не менее, мы получаем две разные зависимости I/I0 при изменении направления внешнего магнитного поля. Как показали измерения, зависимости I/I0, полученные при уменьшении Н по абсолютной величине от максимального значения до нуля (кривые а и в), остаются постоянными и повторяются, если не меняется полярность магнитного поля. В то же время, зависимости I/I0, полученные при возрастании Н по абсолютной величине от нуля (кривые б и г) не повторяются при изменении Н в обратном направлении.

 

Рис. 2. Относительное изменение интенсивности ФЭ в образце YLiF4:Er3+ в зависимости от величины и направления сканирования магнитного поля H. МИ амплитудой h = 8 Э и длительностью τh = 40 нс включается после первого лазерного импульса. Черные точки показывают I/I0 при изменении H от –900 Э до +900 Э, красные квадратики — при изменении H от +900 Э до — 900 Э. На вставке справа внизу приведены зависимости I/Iвблизи H = 0.

 

Вообще говоря, отсутствие осцилляций в зависимости интенсивности эха от величины h MathType@MTEF@5@5@+= feaahGart1ev3aaatCvAUfeBSjuyZL2yd9gzLbvyNv2Caerbov2D09 MBdbqedmvETj2BSbqeduuDJXwAKbYu51MyVXgarqqr1ngBPrgifHhD YfgasaacHOWxh9vrFfeu0dXdh9vqqj=hEeeu0xXdbba9frFj0=OqFf ea0dXdd9vqaq=JfrVkFHe9pgea0dXdar=Jb9hs0dXdbPYxe9vr0=vr 0=vqpWqaaeaabiGaaiaadaqabeaabeqacqaaaOqaceaaC1aeaaaaaa aaa8qacaWGObaaaa@377E@  может свидетельствовать в пользу релаксационном механизме действия МИ. Однако такому предположению полностью противоречат наши эксперименты с двумя магнитными импульсами, когда один МИ включается после первого лазерного импульса, а второй МИ — после второго лазерного импульса (см. рис. 3). На рис. 2 мы видим, что при Н = 0 и включении одного МИ амплитудой 8 Э интенсивность эха падает в 5 раз. В то же время, как показано на рис. 3, при H = 0 два идентичных МИ восстанавливают интенсивность эха (I/I0 ≈ 1). Это легко объяснить, если допустить, что магнитные импульсы, включенные либо после первого, либо после второго лазерного импульса, вызывают сдвиги фаз прецессирующих дипольных моментов с разным знаком. В этом случае суммарный сдвиг фазы для двух МИ равен нулю и сигнал эха не меняется. Именно это наблюдали ранее, когда два идентичных МИ были направлены вдоль оси С. Однако в этом случае остается невыясненным вопрос, почему отсутствуют осцилляции ФЭ при изменении амплитуды МИ, когда h MathType@MTEF@5@5@+= feaahGart1ev3aqatCvAUfeBSjuyZL2yd9gzLbvyNv2Caerbov2D09 MBdbqedmvETj2BSbqeduuDJXwAKbYu51MyVXgarqqr1ngBPrgifHhD YfgasaacHOWxh9vrFfeu0dXdh9vqqj=hEeeu0xXdbba9frFj0=OqFf ea0dXdd9vqaq=JfrVkFHe9pgea0dXdar=Jb9hs0dXdbPYxe9vr0=vr 0=vqpWqaaeaabiGaaiaadaqabeaabeqacqaaaOqaaabaaaaaaaaape GabmiAa8aagaWcaaaa@3734@   MathType@MTEF@5@5@+= feaahGart1ev3aaatCvAUfeBSjuyZL2yd9gzLbvyNv2Caerbov2D09 MBdbqedmvETj2BSbqeduuDJXwAKbYu51MyVXgarqqr1ngBPrgifHhD YfgasaacHOWxh9vrFfeu0dXdh9vqqj=hEeeu0xXdbba9frFj0=OqFf ea0dXdd9vqaq=JfrVkFHe9pgea0dXdar=Jb9hs0dXdbPYxe9vr0=vr 0=vqpWqaaeaabiGaaiaadaqabeaabeqacqaaaOqaceaaC1GaeyyPI4 faaa@3822@   C MathType@MTEF@5@5@+= feaahGart1ev3aqatCvAUfeBSjuyZL2yd9gzLbvyNv2Caerbov2D09 MBdbqedmvETj2BSbqeduuDJXwAKbYu51MyVXgarqqr1ngBPrgifHhD YfgasaacHOWxh9vrFfeu0dXdh9vqqj=hEeeu0xXdbba9frFj0=OqFf ea0dXdd9vqaq=JfrVkFHe9pgea0dXdar=Jb9hs0dXdbPYxe9vr0=vr 0=vqpWqaaeaabiGaaiaadaqabeaabeqacqaaaOqaaabaaaaaaaaape Gabm4qa8aagaWcaaaa@370F@ .

 

Рис. 3. Относительное изменение интенсивности ФЭ в образце YLiF4:Er3+ в зависимости от величины и направления сканирования магнитного поля Н при включении двух одинаковых МИ амплитудой h = 8 Э и длительностью τh = 40 нс. Первый МИ включается после первого лазерного импульса, второй МИ — после второго лазерного импульса. Черные точки показывают I/I0 при изменении H от — 900 до + 900 Э, красные квадратики — при изменении H от + 900 до — 900 Э. На вставке справа вверху приведены зависимости I/I0 вблизи H = 0.

 

Наконец, в диапазоне H= ± 400 MathType@MTEF@5@5@+= feaahGart1ev3aaatCvAUfeBSjuyZL2yd9gzLbvyNv2Caerbov2D09 MBdbqedmvETj2BSbqeduuDJXwAKbYu51MyVXgarqqr1ngBPrgifHhD YfgasaacHOWxh9vrFfeu0dXdh9vqqj=hEeeu0xXdbba9frFj0=OqFf ea0dXdd9vqaq=JfrVkFHe9pgea0dXdar=Jb9hs0dXdbPYxe9vr0=vr 0=vqpWqaaeaabiGaaiaadaqabeaabeqacqaaaOqaceaaC1aeaaaaaa aaa8qacaWGibGaeyypa0JaaeiiaiabgglaXkaabccacaaI0aGaaGim aiaaicdaaaa@3DCA@  Э, мы видим неожиданное сильное возрастание интенсивности ФЭ при включении двух импульсов, когда магнитного поле меняется от +1 до –1 кЭ. При изменении поля в противоположном направлении действие двух МИ только ослабляет сигнал ФЭ и отличается от действия одного МИ только в области (-200 Э → +200 Э).

Так же, как и при подаче одного импульса, зависимости I/I0, полученные при уменьшении Н по абсолютной величине от максимального значения до нуля (кривые а и в) остаются постоянными и повторяются, если не меняется полярность магнитного поля.

При изменении полярности МИ или при повороте образца на 180 ° MathType@MTEF@5@5@+= feaahGart1ev3aaatCvAUfeBSjuyZL2yd9gzLbvyNv2Caerbov2D09 MBdbqedmvETj2BSbqeduuDJXwAKbYu51MyVXgarqqr1ngBPrgifHhD YfgasaacHOWxh9vrFfeu0dXdh9vqqj=hEeeu0xXdbba9frFj0=OqFf ea0dXdd9vqaq=JfrVkFHe9pgea0dXdar=Jb9hs0dXdbPYxe9vr0=vr 0=vqpWqaaeaabiGaaiaadaqabeaabeqacqaaaOqaceaaC1GaeyiSaa laaa@385D@  вокруг вертикальной оси, зависимости I/I0, как на рис. 2, так и на рис. 3, полученные при увеличении и при уменьшении H по абсолютной величине, меняются местами. В отличие от [10], где проявление памяти-гистерезиса критически зависит от угла между С и Н, и бабочка не наблюдается если C MathType@MTEF@5@5@+= feaahGart1ev3aqatCvAUfeBSjuyZL2yd9gzLbvyNv2Caerbov2D09 MBdbqedmvETj2BSbqeduuDJXwAKbYu51MyVXgarqqr1ngBPrgifHhD YfgasaacHOWxh9vrFfeu0dXdh9vqqj=hEeeu0xXdbba9frFj0=OqFf ea0dXdd9vqaq=JfrVkFHe9pgea0dXdar=Jb9hs0dXdbPYxe9vr0=vr 0=vqpWqaaeaabiGaaiaadaqabeaabeqacqaaaOqaaabaaaaaaaaape Gabm4qa8aagaWcaaaa@370F@  || H MathType@MTEF@5@5@+= feaahGart1ev3aqatCvAUfeBSjuyZL2yd9gzLbvyNv2Caerbov2D09 MBdbqedmvETj2BSbqeduuDJXwAKbYu51MyVXgarqqr1ngBPrgifHhD YfgasaacHOWxh9vrFfeu0dXdh9vqqj=hEeeu0xXdbba9frFj0=OqFf ea0dXdd9vqaq=JfrVkFHe9pgea0dXdar=Jb9hs0dXdbPYxe9vr0=vr 0=vqpWqaaeaabiGaaiaadaqabeaabeqacqaaaOqaaabaaaaaaaaape Gabmisa8aagaWcaaaa@3714@ , полученные нами здесь результаты наилучшим образом проявляются именно при C MathType@MTEF@5@5@+= feaahGart1ev3aqatCvAUfeBSjuyZL2yd9gzLbvyNv2Caerbov2D09 MBdbqedmvETj2BSbqeduuDJXwAKbYu51MyVXgarqqr1ngBPrgifHhD YfgasaacHOWxh9vrFfeu0dXdh9vqqj=hEeeu0xXdbba9frFj0=OqFf ea0dXdd9vqaq=JfrVkFHe9pgea0dXdar=Jb9hs0dXdbPYxe9vr0=vr 0=vqpWqaaeaabiGaaiaadaqabeaabeqacqaaaOqaaabaaaaaaaaape Gabm4qa8aagaWcaaaa@370F@  || H MathType@MTEF@5@5@+= feaahGart1ev3aqatCvAUfeBSjuyZL2yd9gzLbvyNv2Caerbov2D09 MBdbqedmvETj2BSbqeduuDJXwAKbYu51MyVXgarqqr1ngBPrgifHhD YfgasaacHOWxh9vrFfeu0dXdh9vqqj=hEeeu0xXdbba9frFj0=OqFf ea0dXdd9vqaq=JfrVkFHe9pgea0dXdar=Jb9hs0dXdbPYxe9vr0=vr 0=vqpWqaaeaabiGaaiaadaqabeaabeqacqaaaOqaaabaaaaaaaaape Gabmisa8aagaWcaaaa@3714@ , а при наличии небольшого угла между С и Н происходит только некоторая деформация приведенных на рис. 2 и 3 зависимостей.

Эти результаты демонстрируют проявление невзаимности оптических свойств кристаллов во внешнем магнитном поле, т. е., зависимости оптических свойств от ориентации осей кристалла, направления импульсного магнитного поля и направления изменения постоянного магнитного поля.

Обсуждение результатов

Кристаллы YLiF 4 MathType@MTEF@5@5@+= feaahGart1ev3aaatCvAUfeBSjuyZL2yd9gzLbvyNv2Caerbov2D09 MBdbqedmvETj2BSbqeduuDJXwAKbYu51MyVXgarqqr1ngBPrgifHhD YfgasaacHOWxh9vrFfeu0dXdh9vqqj=hEeeu0xXdbba9frFj0=OqFf ea0dXdd9vqaq=JfrVkFHe9pgea0dXdar=Jb9hs0dXdbPYxe9vr0=vr 0=vqpWqaaeaabiGaaiaadaqabeaabeqacqaaaOqaceaaC1aeaaaaaa aaa8qacaqGzbGaaeitaiaabMgacaqGgbWdamaaBaaaleaapeGaaein aaWdaeqaaaaa@3B02@  и LuLiF 4 MathType@MTEF@5@5@+= feaahGart1ev3aaatCvAUfeBSjuyZL2yd9gzLbvyNv2Caerbov2D09 MBdbqedmvETj2BSbqeduuDJXwAKbYu51MyVXgarqqr1ngBPrgifHhD YfgasaacHOWxh9vrFfeu0dXdh9vqqj=hEeeu0xXdbba9frFj0=OqFf ea0dXdd9vqaq=JfrVkFHe9pgea0dXdar=Jb9hs0dXdbPYxe9vr0=vr 0=vqpWqaaeaabiGaaiaadaqabeaabeqacqaaaOqaceaaC1aeaaaaaa aaa8qacaqGmbGaaeyDaiaabYeacaqGPbGaaeOra8aadaWgaaWcbaWd biaabsdaa8aabeaaaaa@3BED@  имеют тетрагональную структуру и принадлежат к пространственной группе С64h для которой отсутствует инверсионная симметрия. Поэтому в этих кристаллах возможен магнитоэлектрический эффект, заключающийся в том, что внешнее магнитное поле H MathType@MTEF@5@5@+= feaahGart1ev3aqatCvAUfeBSjuyZL2yd9gzLbvyNv2Caerbov2D09 MBdbqedmvETj2BSbqeduuDJXwAKbYu51MyVXgarqqr1ngBPrgifHhD YfgasaacHOWxh9vrFfeu0dXdh9vqqj=hEeeu0xXdbba9frFj0=OqFf ea0dXdd9vqaq=JfrVkFHe9pgea0dXdar=Jb9hs0dXdbPYxe9vr0=vr 0=vqpWqaaeaabiGaaiaadaqabeaabeqacqaaaOqaaabaaaaaaaaape Gabmisa8aagaWcaaaa@3714@  индуцирует электрическую поляризацию P MathType@MTEF@5@5@+= feaahGart1ev3aqatCvAUfeBSjuyZL2yd9gzLbvyNv2Caerbov2D09 MBdbqedmvETj2BSbqeduuDJXwAKbYu51MyVXgarqqr1ngBPrgifHhD YfgasaacHOWxh9vrFfeu0dXdh9vqqj=hEeeu0xXdbba9frFj0=OqFf ea0dXdd9vqaq=JfrVkFHe9pgea0dXdar=Jb9hs0dXdbPYxe9vr0=vr 0=vqpWqaaeaabiGaaiaadaqabeaabeqacqaaaOqaaabaaaaaaaaape Gabmiua8aagaWcaaaa@371C@ . Это подробно рассмотрено в обзоре А. Пятакова и А. Звездина [10]. На каждом из примесных ионов эрбия поля лазерных импульсов создают осциллирующие на резонансной частоте намагниченность и поляризацию. В этом случае возможна интерференция электрических и магнитных дипольных переходов участвующих в формировании сигнала ФЭ. Вероятности таких переходов рассмотрены в [11]. Тип интерференции (конструктивная или деструктивная) зависит от взаимной ориентации векторов k MathType@MTEF@5@5@+= feaahGart1ev3aqatCvAUfeBSjuyZL2yd9gzLbvyNv2Caerbov2D09 MBdbqedmvETj2BSbqeduuDJXwAKbYu51MyVXgarqqr1ngBPrgifHhD YfgasaacHOWxh9vrFfeu0dXdh9vqqj=hEeeu0xXdbba9frFj0=OqFf ea0dXdd9vqaq=JfrVkFHe9pgea0dXdar=Jb9hs0dXdbPYxe9vr0=vr 0=vqpWqaaeaabiGaaiaadaqabeaabeqacqaaaOqaaabaaaaaaaaape Gabm4Aa8aagaWcaaaa@3737@ , H MathType@MTEF@5@5@+= feaahGart1ev3aqatCvAUfeBSjuyZL2yd9gzLbvyNv2Caerbov2D09 MBdbqedmvETj2BSbqeduuDJXwAKbYu51MyVXgarqqr1ngBPrgifHhD YfgasaacHOWxh9vrFfeu0dXdh9vqqj=hEeeu0xXdbba9frFj0=OqFf ea0dXdd9vqaq=JfrVkFHe9pgea0dXdar=Jb9hs0dXdbPYxe9vr0=vr 0=vqpWqaaeaabiGaaiaadaqabeaabeqacqaaaOqaaabaaaaaaaaape Gabmisa8aagaWcaaaa@3714@ , С и P MathType@MTEF@5@5@+= feaahGart1ev3aqatCvAUfeBSjuyZL2yd9gzLbvyNv2Caerbov2D09 MBdbqedmvETj2BSbqeduuDJXwAKbYu51MyVXgarqqr1ngBPrgifHhD YfgasaacHOWxh9vrFfeu0dXdh9vqqj=hEeeu0xXdbba9frFj0=OqFf ea0dXdd9vqaq=JfrVkFHe9pgea0dXdar=Jb9hs0dXdbPYxe9vr0=vr 0=vqpWqaaeaabiGaaiaadaqabeaabeqacqaaaOqaaabaaaaaaaaape Gabmiua8aagaWcaaaa@371C@  [12]. Как показано в [7], если C MathType@MTEF@5@5@+= feaahGart1ev3aqatCvAUfeBSjuyZL2yd9gzLbvyNv2Caerbov2D09 MBdbqedmvETj2BSbqeduuDJXwAKbYu51MyVXgarqqr1ngBPrgifHhD YfgasaacHOWxh9vrFfeu0dXdh9vqqj=hEeeu0xXdbba9frFj0=OqFf ea0dXdd9vqaq=JfrVkFHe9pgea0dXdar=Jb9hs0dXdbPYxe9vr0=vr 0=vqpWqaaeaabiGaaiaadaqabeaabeqacqaaaOqaaabaaaaaaaaape Gabm4qa8aagaWcaaaa@370F@  || H MathType@MTEF@5@5@+= feaahGart1ev3aqatCvAUfeBSjuyZL2yd9gzLbvyNv2Caerbov2D09 MBdbqedmvETj2BSbqeduuDJXwAKbYu51MyVXgarqqr1ngBPrgifHhD YfgasaacHOWxh9vrFfeu0dXdh9vqqj=hEeeu0xXdbba9frFj0=OqFf ea0dXdd9vqaq=JfrVkFHe9pgea0dXdar=Jb9hs0dXdbPYxe9vr0=vr 0=vqpWqaaeaabiGaaiaadaqabeaabeqacqaaaOqaaabaaaaaaaaape Gabmisa8aagaWcaaaa@3714@   MathType@MTEF@5@5@+= feaahGart1ev3aaatCvAUfeBSjuyZL2yd9gzLbvyNv2Caerbov2D09 MBdbqedmvETj2BSbqeduuDJXwAKbYu51MyVXgarqqr1ngBPrgifHhD YfgasaacHOWxh9vrFfeu0dXdh9vqqj=hEeeu0xXdbba9frFj0=OqFf ea0dXdd9vqaq=JfrVkFHe9pgea0dXdar=Jb9hs0dXdbPYxe9vr0=vr 0=vqpWqaaeaabiGaaiaadaqabeaabeqacqaaaOqaceaaC1GaeyyPI4 faaa@3822@   k MathType@MTEF@5@5@+= feaahGart1ev3aqatCvAUfeBSjuyZL2yd9gzLbvyNv2Caerbov2D09 MBdbqedmvETj2BSbqeduuDJXwAKbYu51MyVXgarqqr1ngBPrgifHhD YfgasaacHOWxh9vrFfeu0dXdh9vqqj=hEeeu0xXdbba9frFj0=OqFf ea0dXdd9vqaq=JfrVkFHe9pgea0dXdar=Jb9hs0dXdbPYxe9vr0=vr 0=vqpWqaaeaabiGaaiaadaqabeaabeqacqaaaOqaaabaaaaaaaaape Gabm4Aa8aagaWcaaaa@3737@ , магнитоэлектрический эффект в образцах YLiF 4 :Er 3+ MathType@MTEF@5@5@+= feaahGart1ev3aaatCvAUfeBSjuyZL2yd9gzLbvyNv2Caerbov2D09 MBdbqedmvETj2BSbqeduuDJXwAKbYu51MyVXgarqqr1ngBPrgifHhD YfgasaacHOWxh9vrFfeu0dXdh9vqqj=hEeeu0xXdbba9frFj0=OqFf ea0dXdd9vqaq=JfrVkFHe9pgea0dXdar=Jb9hs0dXdbPYxe9vr0=vr 0=vqpWqaaeaabiGaaiaadaqabeaabeqacqaaaOqaceaaC1aeaaaaaa aaa8qacaqGzbGaaeitaiaabMgacaqGgbWdamaaBaaaleaapeGaaein aaWdaeqaaOWdbiaabQdacaqGfbGaaeOCa8aadaahaaWcbeqaa8qaca qGZaGaae4kaaaaaaa@3F46@  и LuLiF 4 :Er 3+ MathType@MTEF@5@5@+= feaahGart1ev3aaatCvAUfeBSjuyZL2yd9gzLbvyNv2Caerbov2D09 MBdbqedmvETj2BSbqeduuDJXwAKbYu51MyVXgarqqr1ngBPrgifHhD YfgasaacHOWxh9vrFfeu0dXdh9vqqj=hEeeu0xXdbba9frFj0=OqFf ea0dXdd9vqaq=JfrVkFHe9pgea0dXdar=Jb9hs0dXdbPYxe9vr0=vr 0=vqpWqaaeaabiGaaiaadaqabeaabeqacqaaaOqaceaaC1aeaaaaaa aaa8qacaqGmbGaaeyDaiaabYeacaqGPbGaaeOra8aadaWgaaWcbaWd biaabsdaa8aabeaak8qacaqG6aGaaeyraiaabkhapaWaaWbaaSqabe aapeGaae4maiaabUcaaaaaaa@4031@  может появиться только при наличии перпендикулярной оси C MathType@MTEF@5@5@+= feaahGart1ev3aqatCvAUfeBSjuyZL2yd9gzLbvyNv2Caerbov2D09 MBdbqedmvETj2BSbqeduuDJXwAKbYu51MyVXgarqqr1ngBPrgifHhD YfgasaacHOWxh9vrFfeu0dXdh9vqqj=hEeeu0xXdbba9frFj0=OqFf ea0dXdd9vqaq=JfrVkFHe9pgea0dXdar=Jb9hs0dXdbPYxe9vr0=vr 0=vqpWqaaeaabiGaaiaadaqabeaabeqacqaaaOqaaabaaaaaaaaape Gabm4qa8aagaWcaaaa@370F@  компоненты магнитного поля. В наших экспериментах магнитный импульс h MathType@MTEF@5@5@+= feaahGart1ev3aqatCvAUfeBSjuyZL2yd9gzLbvyNv2Caerbov2D09 MBdbqedmvETj2BSbqeduuDJXwAKbYu51MyVXgarqqr1ngBPrgifHhD YfgasaacHOWxh9vrFfeu0dXdh9vqqj=hEeeu0xXdbba9frFj0=OqFf ea0dXdd9vqaq=JfrVkFHe9pgea0dXdar=Jb9hs0dXdbPYxe9vr0=vr 0=vqpWqaaeaabiGaaiaadaqabeaabeqacqaaaOqaaabaaaaaaaaape GabmiAa8aagaWcaaaa@3734@   MathType@MTEF@5@5@+= feaahGart1ev3aaatCvAUfeBSjuyZL2yd9gzLbvyNv2Caerbov2D09 MBdbqedmvETj2BSbqeduuDJXwAKbYu51MyVXgarqqr1ngBPrgifHhD YfgasaacHOWxh9vrFfeu0dXdh9vqqj=hEeeu0xXdbba9frFj0=OqFf ea0dXdd9vqaq=JfrVkFHe9pgea0dXdar=Jb9hs0dXdbPYxe9vr0=vr 0=vqpWqaaeaabiGaaiaadaqabeaabeqacqaaaOqaceaaC1GaeyyPI4 faaa@3822@   C MathType@MTEF@5@5@+= feaahGart1ev3aqatCvAUfeBSjuyZL2yd9gzLbvyNv2Caerbov2D09 MBdbqedmvETj2BSbqeduuDJXwAKbYu51MyVXgarqqr1ngBPrgifHhD YfgasaacHOWxh9vrFfeu0dXdh9vqqj=hEeeu0xXdbba9frFj0=OqFf ea0dXdd9vqaq=JfrVkFHe9pgea0dXdar=Jb9hs0dXdbPYxe9vr0=vr 0=vqpWqaaeaabiGaaiaadaqabeaabeqacqaaaOqaaabaaaaaaaaape Gabm4qa8aagaWcaaaa@370F@ , т. е., магнитоэлектрический эффект возможен. Поскольку при изменении полярности H MathType@MTEF@5@5@+= feaahGart1ev3aqatCvAUfeBSjuyZL2yd9gzLbvyNv2Caerbov2D09 MBdbqedmvETj2BSbqeduuDJXwAKbYu51MyVXgarqqr1ngBPrgifHhD YfgasaacHOWxh9vrFfeu0dXdh9vqqj=hEeeu0xXdbba9frFj0=OqFf ea0dXdd9vqaq=JfrVkFHe9pgea0dXdar=Jb9hs0dXdbPYxe9vr0=vr 0=vqpWqaaeaabiGaaiaadaqabeaabeqacqaaaOqaaabaaaaaaaaape Gabmisa8aagaWcaaaa@3714@  магнитный импульс h MathType@MTEF@5@5@+= feaahGart1ev3aqatCvAUfeBSjuyZL2yd9gzLbvyNv2Caerbov2D09 MBdbqedmvETj2BSbqeduuDJXwAKbYu51MyVXgarqqr1ngBPrgifHhD YfgasaacHOWxh9vrFfeu0dXdh9vqqj=hEeeu0xXdbba9frFj0=OqFf ea0dXdd9vqaq=JfrVkFHe9pgea0dXdar=Jb9hs0dXdbPYxe9vr0=vr 0=vqpWqaaeaabiGaaiaadaqabeaabeqacqaaaOqaaabaaaaaaaaape GabmiAa8aagaWcaaaa@3734@  не меняет своего направления, не меняется и тип интерференции при переходе через H MathType@MTEF@5@5@+= feaahGart1ev3aaatCvAUfeBSjuyZL2yd9gzLbvyNv2Caerbov2D09 MBdbqedmvETj2BSbqeduuDJXwAKbYu51MyVXgarqqr1ngBPrgifHhD YfgasaacHOWxh9vrFfeu0dXdh9vqqj=hEeeu0xXdbba9frFj0=OqFf ea0dXdd9vqaq=JfrVkFHe9pgea0dXdar=Jb9hs0dXdbPYxe9vr0=vr 0=vqpWqaaeaabiGaaiaadaqabeaabeqacqaaaOqaceaaC1aeaaaaaa aaa8qacaWGibaaaa@375E@  = 0. Поэтому, в отличие от [7], здесь зависимости I/I0 остаются симметричными относительно H MathType@MTEF@5@5@+= feaahGart1ev3aaatCvAUfeBSjuyZL2yd9gzLbvyNv2Caerbov2D09 MBdbqedmvETj2BSbqeduuDJXwAKbYu51MyVXgarqqr1ngBPrgifHhD YfgasaacHOWxh9vrFfeu0dXdh9vqqj=hEeeu0xXdbba9frFj0=OqFf ea0dXdd9vqaq=JfrVkFHe9pgea0dXdar=Jb9hs0dXdbPYxe9vr0=vr 0=vqpWqaaeaabiGaaiaadaqabeaabeqacqaaaOqaceaaC1aeaaaaaa aaa8qacaWGibaaaa@375E@  = 0.

Такая упрощенная модель объясняет только часть приведенных выше результатов, но не поясняет, например, почему тип интерференции меняется только с изменением направления сканирования магнитного поля и не зависит от его полярности. Для полного описания требуется детальное теоретическое рассмотрение.

Результаты наших экспериментов позволяют по-новому взглянуть на работу в постоянных и импульсных магнитных полях оптических устройств с кристаллами LuLiF 4 :Er 3+ MathType@MTEF@5@5@+= feaahGart1ev3aaatCvAUfeBSjuyZL2yd9gzLbvyNv2Caerbov2D09 MBdbqedmvETj2BSbqeduuDJXwAKbYu51MyVXgarqqr1ngBPrgifHhD YfgasaacHOWxh9vrFfeu0dXdh9vqqj=hEeeu0xXdbba9frFj0=OqFf ea0dXdd9vqaq=JfrVkFHe9pgea0dXdar=Jb9hs0dXdbPYxe9vr0=vr 0=vqpWqaaeaabiGaaiaadaqabeaabeqacqaaaOqaceaaC1aeaaaaaa aaa8qacaqGmbGaaeyDaiaabYeacaqGPbGaaeOra8aadaWgaaWcbaWd biaabsdaa8aabeaak8qacaqG6aGaaeyraiaabkhapaWaaWbaaSqabe aapeGaae4maiaabUcaaaaaaa@4031@  и YLiF 4 :Er 3+ MathType@MTEF@5@5@+= feaahGart1ev3aaatCvAUfeBSjuyZL2yd9gzLbvyNv2Caerbov2D09 MBdbqedmvETj2BSbqeduuDJXwAKbYu51MyVXgarqqr1ngBPrgifHhD YfgasaacHOWxh9vrFfeu0dXdh9vqqj=hEeeu0xXdbba9frFj0=OqFf ea0dXdd9vqaq=JfrVkFHe9pgea0dXdar=Jb9hs0dXdbPYxe9vr0=vr 0=vqpWqaaeaabiGaaiaadaqabeaabeqacqaaaOqaceaaC1aeaaaaaa aaa8qacaqGzbGaaeitaiaabMgacaqGgbWdamaaBaaaleaapeGaaein aaWdaeqaaOWdbiaabQdacaqGfbGaaeOCa8aadaahaaWcbeqaa8qaca qGZaGaae4kaaaaaaa@3F46@ .

Исследования сотрудниками КФТИ проводились в рамках выполнения темы государственного задания ФИЦ КазНЦ РАН (приоритетное направление: 1.3.5.4. Развитие методов спектроскопии, люминесценции и прецизионных оптических измерений).

×

About the authors

А. M. Shegeda

Federal Research Center “Kazan Scientific Center of the Russian Academy of Sciences”

Author for correspondence.
Email: shegedaam@gmail.com

Zavoisky Physical-Technical Institute

Russian Federation, Kazan

S. L. Korableva

Kazan (Volga region) Federal University

Email: shegedaam@gmail.com
Russian Federation, Kazan

O. А. Morozov

Federal Research Center “Kazan Scientific Center of the Russian Academy of Sciences”

Email: shegedaam@gmail.com

Zavoisky Physical-Technical Institute

Kazan

References

  1. Thiel C.W., Bottger T., Cone R.L. // J. Luminescence. 2011. V. 131. P. 353.
  2. Lauk N., Sinclair N., Barzanjeh Sh. et al. // Quantum Sci. Technol. 2020. V. 5. Art. No. 02050.
  3. MacFarlane R.M., Cassanho A., Meltzer R.S. // Phys. Rev. Lett. 1992. V. 69. P. 54.
  4. Gerasimov K.I., Minnegaliev M.M., Malkin B.Z. et al. // Phys. Rev. B. 2016. V. 94. Art. No. 054429.
  5. Minnegaliev M.M., Dyakonov I.Y., Gerasimov K.I. et al. // Laser Phys. Lett. 2018. V. 15. Art. No. 045207.
  6. Popova M.N., Klimin S.A., Moiseev S.A. et al. // Phys. Rev. B. 2019. V. 99. Art. No. 235151.
  7. Шегеда А.М., Кораблева С.Л., Морозов О.А. и др. // Письма в ЖЭТФ. 2023. Т. 117. № 4. С. 264, Shegeda A.M., Korableva S.L., Morosov O.A. et al. // JETP Lett. 2023. V. 117. No. 4. P. 267.
  8. Лисин В.Н., Шегеда А.М., Герасимов К.И. // Письма в ЖЭТФ. 2012. Т. 95. № 2. С. 67, Lisin V.N., Shegeda A.M., Gerasimov K.I. // JETP Lett. 2012. V. 95. No. 2. P. 61.
  9. Suttler J.P., Nemarich J. // Phys. Rev. B. 1971. V. 4. No. 1. P. 1.
  10. Пятаков А.П., Звездин А.К. // УФН. 2012. Т. 182. С. 593, Pyatakov A.P., Zvezdin A.K. // Phys. Usp. 2012. V. 55. P. 557.
  11. Нурмухаметов А.Р., Еремин М.В. // ЖЭТФ. 2022. Т. 162. С. 390, Nurmukhametov A.R., Eremin M.V. // J. Exp. Theor. Phys. 2022. V. 135. P. 339.
  12. Shimada Y., Kiyama H., Tokura Y. // Phys. Rev. B. 2007. V.75. Art. No. 245125.

Supplementary files

Supplementary Files
Action
1. JATS XML
2. Fig. 1. Dependence I(h) of the PE intensity on the amplitude h of the pulsed magnetic field with a duration of 34 ns, switched on after the first laser pulse (black squares). Here, for comparison, the red circles show the oscillations of the echo intensity when →h || →C [8] (a). On the right (b), the black squares show how the relative PE intensity changes depending on the time t of switching on the MI. The solid line at the bottom shows the oscillogram of the observed signals. At the top, the circles show the 34 ns MI switched on simultaneously with the second laser pulse.

Download (348KB)
3. Fig. 2. Relative change in the PE intensity in the YLiF4:Er3+ sample depending on the magnitude and direction of magnetic field scanning →H. MI with an amplitude of h = 8 Oe and a duration of τh = 40 ns is switched on after the first laser pulse. Black dots show I/I0 when H changes from –900 Oe to +900 Oe, red squares show when H changes from +900 Oe to – 900 Oe. The inset on the bottom right shows the I/I0 dependences near H = 0.

Download (364KB)
4. Fig. 3. Relative change in the PE intensity in the YLiF4:Er3+ sample depending on the magnitude and scanning direction of the magnetic field H when turning on two identical MIs with an amplitude of h = 8 Oe and a duration of τh = 40 ns. The first MI is turned on after the first laser pulse, the second MI - after the second laser pulse. Black dots show I/I0 when H changes from - 900 to + 900 Oe, red squares - when H changes from + 900 to - 900 Oe. The inset on the upper right shows the I/I0 dependences near H = 0.

Download (386KB)

Copyright (c) 2024 Russian Academy of Sciences

Согласие на обработку персональных данных с помощью сервиса «Яндекс.Метрика»

1. Я (далее – «Пользователь» или «Субъект персональных данных»), осуществляя использование сайта https://journals.rcsi.science/ (далее – «Сайт»), подтверждая свою полную дееспособность даю согласие на обработку персональных данных с использованием средств автоматизации Оператору - федеральному государственному бюджетному учреждению «Российский центр научной информации» (РЦНИ), далее – «Оператор», расположенному по адресу: 119991, г. Москва, Ленинский просп., д.32А, со следующими условиями.

2. Категории обрабатываемых данных: файлы «cookies» (куки-файлы). Файлы «cookie» – это небольшой текстовый файл, который веб-сервер может хранить в браузере Пользователя. Данные файлы веб-сервер загружает на устройство Пользователя при посещении им Сайта. При каждом следующем посещении Пользователем Сайта «cookie» файлы отправляются на Сайт Оператора. Данные файлы позволяют Сайту распознавать устройство Пользователя. Содержимое такого файла может как относиться, так и не относиться к персональным данным, в зависимости от того, содержит ли такой файл персональные данные или содержит обезличенные технические данные.

3. Цель обработки персональных данных: анализ пользовательской активности с помощью сервиса «Яндекс.Метрика».

4. Категории субъектов персональных данных: все Пользователи Сайта, которые дали согласие на обработку файлов «cookie».

5. Способы обработки: сбор, запись, систематизация, накопление, хранение, уточнение (обновление, изменение), извлечение, использование, передача (доступ, предоставление), блокирование, удаление, уничтожение персональных данных.

6. Срок обработки и хранения: до получения от Субъекта персональных данных требования о прекращении обработки/отзыва согласия.

7. Способ отзыва: заявление об отзыве в письменном виде путём его направления на адрес электронной почты Оператора: info@rcsi.science или путем письменного обращения по юридическому адресу: 119991, г. Москва, Ленинский просп., д.32А

8. Субъект персональных данных вправе запретить своему оборудованию прием этих данных или ограничить прием этих данных. При отказе от получения таких данных или при ограничении приема данных некоторые функции Сайта могут работать некорректно. Субъект персональных данных обязуется сам настроить свое оборудование таким способом, чтобы оно обеспечивало адекватный его желаниям режим работы и уровень защиты данных файлов «cookie», Оператор не предоставляет технологических и правовых консультаций на темы подобного характера.

9. Порядок уничтожения персональных данных при достижении цели их обработки или при наступлении иных законных оснований определяется Оператором в соответствии с законодательством Российской Федерации.

10. Я согласен/согласна квалифицировать в качестве своей простой электронной подписи под настоящим Согласием и под Политикой обработки персональных данных выполнение мною следующего действия на сайте: https://journals.rcsi.science/ нажатие мною на интерфейсе с текстом: «Сайт использует сервис «Яндекс.Метрика» (который использует файлы «cookie») на элемент с текстом «Принять и продолжить».