Киральные пленочные структуры на основе массивов кобальтовых наноспиралей, получаемые методом наклонного напыления
- Авторы: Трушин О.С.1, Фаттахов И.С.1, Попов А.А.1, Мазалецкий Л.А.1,2, Гайдукасов Р.А.1, Мяконьких А.В.1
-
Учреждения:
- Федеральное государственное бюджетное учреждение науки «Физико-технологический институт имени К.А. Валиева»
- Федеральное государственное бюджетное учреждение высшего образования «Ярославский государственный университет имени П.Г. Демидова»
- Выпуск: Том 88, № 9 (2024)
- Страницы: 1490–1494
- Раздел: Квантовая оптика и квантовые технологии
- URL: https://ogarev-online.ru/0367-6765/article/view/283439
- DOI: https://doi.org/10.31857/S0367676524090233
- EDN: https://elibrary.ru/OCKHWX
- ID: 283439
Цитировать
Полный текст
Аннотация
Представлены результаты экспериментальных исследований киральных пленочных структур на основе массивов кобальтовых наноспиралей, получаемых методом наклонного напыления. Показано, что в условиях электронно-лучевого испарения на вращающуюся наклонную подложку формируется массив наноспиралей, закрученных в одну сторону. Изменяя скорость вращения подложки, можно изменять геометрические размеры наноспиралей (шаг спирали, радиус спирали). Полученная таким образом киральная метаповерхность демонстрирует выраженную асимметрию оптических характеристик при отражении света по отношению к правой и левой циркулярной поляризации.
Полный текст
Введение
Оптические метаматериалы и технологии их получения находятся в фокусе внимания в современной научной литературе. Возможность создания искусственных материалов с уникальными оптическими характеристиками позволяет исследовать фундаментальные механизмы взаимодействия света с веществом и открывает широкие перспективы их практического применения [1–4]. Важным примером такого рода являются киральные пленочные структуры [4]. Такие структуры состоят из периодически расположенных на плоской подложке одинаковых геометрических форм (метаатомов) с типичными размерами сравнимыми с длиной волны видимого света. Существенным свойством таких форм является нарушение зеркальной симметрии, что придает такой пленочной структуре свойство киральности. Это свойство проявляется в оптических явлениях в виде различного характера взаимодействия такого материала с право- и лево- циркулярно поляризованным светом. При пропускании света через такой метаматериал наблюдается явление кругового дихроизма, кроме того при отражении от такой поверхности происходит изменение состояния поляризации и интенсивности света. Эти явления можно использовать для практических применений для создания оптических фильтров, поляризаторов и сенсоров разного типа [4].
В настоящее время для создания киральных метаматериалов используют вещества с разной природой проводимости: диэлектрики, полупроводники и металлы. Для создания таких структур применяются различные виды технологий. Наиболее совершенные по форме и одинаковые по размерам наноструктуры получают методами нанолитографии и нанопечати [2, 4]. Однако высокая стоимость таких методов препятствует широкому практическому применению получаемых материалов. В последние годы для получения киральных метаматериалов широко используется недорогой метод наклонного напыления с вращением подложки (GLAD) [3]. В рамках этого метода формирование получившие случайное преимущество в росте на начальных этапах напыления, в дальнейшем затеняют соседей, подавляя их рост. Тем самым в растущей пленке образуются поры и формируется массив отдельных нановолокон. Включение вращения подложки вокруг нормали к ее поверхности в процессе роста приводит к постепенному смещению области тени и формированию наноспиралей. При этом все наноспирали синхронно закручены в одну сторону, что придает свойство киральности всей метаповерхности. Изменяя скорость вращения подложки, можно менять геометрические размеры наноспиралей (шаг спирали, радиус спирали и др.).
Экспериментальная методика
Подходящей технологией для экспериментов по наклонному напылению является электронно-лучевое испарение. Этот метод сочетает достаточно высокий рабочий вакуум и однородный поток распыляемого материала. В настоящей работе эксперименты по напылению пленок кобальта на наклонную подложку проводили на установке электронно-лучевого испарения "Оратория-9". Условия напыления были следующие: базовый вакуум 4‧10–6 мм рт. ст.; напряжение электронного луча 8 кВ; ток 0.5 А. Пленки кобальта напылялись на подложку прямоугольной формы размером 20×15 мм, изготовленной из стандартной пластины Si(001) со слоем термического окисла толщиной 300 нм. Подложка крепилась на держатель под наклоном к потоку напыляемого материала. Кроме того, держатель обеспечивал возможность вращения подложки с варьируемыми скоростями. Все эксперименты проводились при комнатной температуре. Скорость роста пленок варьировалась в зависимости от угла наклона подложки от 0.9 до 1.5 нм/с. Время напыления было одинаковым для всех образцов и составляло 5 мин.
Полученные таким образом пленки далее подвергались различным видам анализов. Морфология и структура получаемых пленок была исследована методом сканирующей электронной микроскопии (SUPRA-40). Оптические характеристики измерялись на спектральном эллипсометре M-2000X (J. A. Woollam Co, USA) при угле падения 65о, в диапазоне длин волн 248–1000 нм.
Результаты
В результате проведенных ранее исследований было установлено, что оптимальные условия для наноструктурирования пленок кобальта реализуются при углах наклона подложки θ > 80о [5]. Оптимальными, в данном контексте, являются условия напыления, обеспечивающие наиболее четко выраженное наноструктурирование, когда пленка состоит из отдельных нановолокон, разделенных порами. В этих условиях формируется массив наноколонн c углом наклона около 60о. Каждая наноколонна имеет поперечные размеры менее 30 нм и длину около 400 нм.
Картина роста сильно изменится, если оставить тот же угол наклона подложки, но начать менять ее ориентацию по отношению к падающему на нее потоку вещества. Для этого было включено вращение подложки. Картины роста пленок при различных скоростях вращения подложки и угле наклона θ = 85о можно проследить на SEM изображениях, представленных на рис. 1. Как видно из анализа этих рисунков при включении вращения подложки в процессе роста пленки формируется массив наноспиралей (геликонов). При изменении скорости вращения изменяется шаг спирали и ее радиус. Таким образом, данные эксперименты показывают возможность эффективно управлять текстурой роста путем изменения условий напыления.
Рис. 1. Микроскопические изображения наноструктурированных пленок Co/Si, полученных при разных скоростях вращения подложки: 0.3 об/мин – поперечный срез (а) и вид сверху (б), 0.6 об/мин – поперечный срез (в), 1.6 об/мин – поперечный срез (г).
Как мы видели ранее, при включении вращения подложки в процессе роста пленки происходит формирование массива наноспиралей. Все эти наноспирали закручены в одну и ту же сторону, что определяется направлением вращения образца. Такая морфология роста приводит к нарушению симметрии в плоскости пленки по отношению к зеркальным отражениям. Это свойство получило название киральность. Исходя из общих соображений симметрии можно ожидать, что киральность поверхности может проявится в оптических явлениях отражения, так как световая волна может обладать круговой поляризацией. В определенных условиях свет обладающий, например, правой циркулярной поляризацией будет по-разному взаимодействовать с наноспиралями закрученными направо и налево. Поэтому разумно предположить, что этот эффект проявит себя при отражении циркулярно-поляризованного света от киральной поверхности. При этом можно ожидать, что геометрические размеры наноспирали (величина шага и ее радиус) должны влиять на поляризационные свойства структуры. Для проверки этих предположений были проведены эллипсометрические исследования полученных образцов. Использован спектральный эллипсометр M-2000X (J. A. Woollam Co, USA). Такие эллипсометры широко используются для in situ контроля роста пленок [7].
Для каждого образца были проведены комплексные измерения векторов Стокса в диапазоне длин волн 248–1000 нм при угле падения (и отражения) равном 65о. В результате были рассчитаны элементы матрицы Мюллера [6]. По этим данным проводился анализ поляризационных свойств полученных структур. Вышеизложенные предположения вполне подтверждаются полученными экспериментальными данными [8].
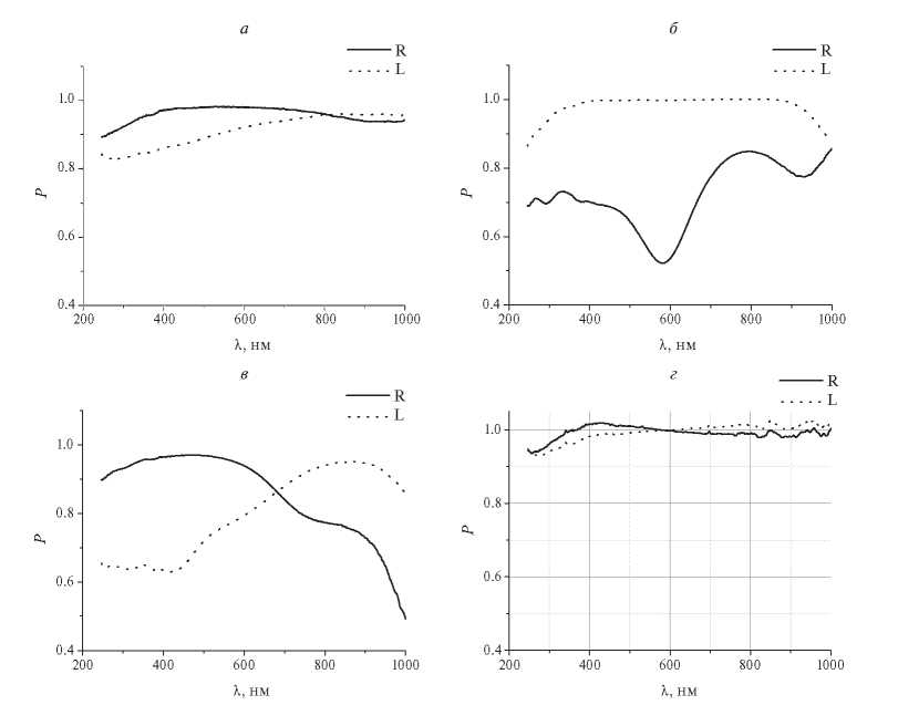
На рис. 2 представлены зависимости степени поляризации отраженного излучения для двух видов падающей циркулярно-поляризованной волны (правой и левой) от длины волны для образцов, полученных при разных скоростях вращения.
Рис. 2. Зависимости степени поляризации отраженной волны от длины волны используемого излучения для двух видов падающих циркулярно-поляризованных волн (правой-R и левой-L) для образцов с разными скоростями вращения: 0.2 (а), 0.3 (б), 0.6 (в) и 1.6 об/мин (г).
Как видно из анализа рис. 2 степень поляризации по-разному изменяется при изменении длины волны для правой и левой поляризации для образца, полученного на скорости вращения (0.3–0.6 об/мин). По-видимому, этот факт можно понять, сравнив длину волны и геометрические размеры наноспирали (шаг спирали и ее радиус). Для таких образцов происходит существенная деполяризация (снижение степени поляризации на 30%) одного из видов циркулярной волны. Это может происходить за счет сбоя фазы при отражении или поглощения света металлическими наноструктурами. С другой стороны, для образцов, полученных при очень малых скоростях (0.2 об/мин) и больших скоростях вращения (1.6 об/мин)зависимости степени поляризации от длины волны для двух видов поляризации мало отличаются. Таким образом, варьируя скорость вращения образца в процессе роста можно изменять поляризационные свойства получаемой пленки.
Заключение
Таким образом, установлено, что при угле наклона подложки 85° и вращении подложки формируется массив наноспиралей. Варьируя скорость вращения подложки, можно получать наноспирали с разными геометрическими размерами (шаг закручивания, радиус спирали). Необходимо отметить, что все наноспирали закручены в одну и ту же сторону, что придает пленке свойства киральности. Это, в частности, приводит к асимметрии оптических характеристик при отражении право- и лево- циркулярно-поляризованного света. Данная морфология может быть перспективной для применения в области наносенсорики, а также для создания оптически активных поверхностей.
Работа выполнена в рамках тем государственного задания № FFNN-2022-0018 и № FFNN-2022-0019 Министерства науки и высшего образования России на оборудовании центра коллективного пользования научным оборудованием «Диагностика микро- и наноструктур».
Об авторах
О. С. Трушин
Федеральное государственное бюджетное учреждение науки «Физико-технологический институт имени К.А. Валиева»
Автор, ответственный за переписку.
Email: ostrushin@mail.ru
Ярославский филиал
Россия, ЯрославльИ. С. Фаттахов
Федеральное государственное бюджетное учреждение науки «Физико-технологический институт имени К.А. Валиева»
Email: ostrushin@mail.ru
Ярославский филиал
Россия, ЯрославльА. А. Попов
Федеральное государственное бюджетное учреждение науки «Физико-технологический институт имени К.А. Валиева»
Email: ostrushin@mail.ru
Ярославский филиал
Россия, ЯрославльЛ. А. Мазалецкий
Федеральное государственное бюджетное учреждение науки «Физико-технологический институт имени К.А. Валиева»; Федеральное государственное бюджетное учреждение высшего образования «Ярославский государственный университет имени П.Г. Демидова»
Email: ostrushin@mail.ru
Ярославский филиал
Россия, Ярославль; ЯрославльР. А. Гайдукасов
Федеральное государственное бюджетное учреждение науки «Физико-технологический институт имени К.А. Валиева»
Email: ostrushin@mail.ru
Россия, Москва
А. В. Мяконьких
Федеральное государственное бюджетное учреждение науки «Физико-технологический институт имени К.А. Валиева»
Email: ostrushin@mail.ru
Россия, Москва
Список литературы
- Gansel J.K., Thiel M., Rill M.S. et al. // Science. 2009. V. 325. P. 1513.
- Gibbs J. G., Mark A.G., Eslami S. et al. // Appl. Phys. Lett. 2013. V. 103. Art. No. 213101.
- Lee S.H., Singh D.P., Sung J.H. et al. // Sci. Reports. 2016. V. 6. P. 19580.
- Kim J., Rana A.S., Kim Y. et al. // Sensors. 2021. V. 21. P. 4381.
- Трушин О.С., Попов А.А., Пестова А Н. и др. // Изв. РАН. Сер. физ. 2022. Т. 86. № 5. С. 650. Trushin O.S., Popov A.A., Pestova A.N. et al. // Bull. Russ. Acad. Sci. Phys. 2022. V. 86. No. 5. P. 542.
- Fujiwara H. Spectroscopic ellipsometry principles and applications. John Wiley & Sons Ltd. 2007.
- Мяконьких А.В., Смирнова Е.А., Клементе И.Э. // Микроэлектроника. 2021. Т. 50. № 4. С. 264. // Miakonkikh A.V., Smirnova E.A., Klemente I.E. // Russ. Microelectron. 2021. V. 50. Nо. 4. P. 230.
- Трушин О.С., Фаттахов И.C., Попов А.А. и др. // ФТТ. 2023. Т. 65. № 6. С. 996. // Trushin O.S., Fattakhov I.S., Popov A.A. et al. // Phys. Solid State 2023. V. 65. No. 6. P. 953.
- Faryad M., Lakhtakia A. // Adv. Opt. Photon. 2014. V. 6. P. 225.
- Schaferling M. Chiral nanophotonics. SSOS. V. 205. Springer International Publishing, 2017.
Дополнительные файлы




