Dynamics of rising of an air bubble in a magnetic fluid shell in a magnetic field
- Authors: Simonovsky А.Y.1,2, Zakinyan A.R.2
-
Affiliations:
- North Caucasus Federal University
- Stavropol State Agrarian University
- Issue: Vol 88, No 10 (2024)
- Pages: 1632-1638
- Section: Microfluidics and ferrohydrodynamics of magnetic colloids
- URL: https://ogarev-online.ru/0367-6765/article/view/283407
- DOI: https://doi.org/10.31857/S0367676524100201
- EDN: https://elibrary.ru/DSASTD
- ID: 283407
Cite item
Full Text
Abstract
The process of rising of an air bubble enclosed in a magnetic fluid shell in an external homogeneous magnetic field directed horizontally is investigated experimentally. It is shown that the magnetic field acting on the magnetic fluid shell leads to a change in the shape of the bubble, which in turn is reflected in the quantitative characteristics of the rising process. Oscillations in the shape of the air bubble during the rising process were also found. The obtained results indicate the possibility of realizing the control of small gas volumes, which may have practical applications.
Keywords
Full Text
ВВЕДЕНИЕ
Поведение капель жидкости во внешнем силовом поле является традиционным предметом исследования и изучалось во многих классических работах. Внимание к такого рода исследованиям обусловлено помимо всего прочего тем, что задача о динамике жидкой капли является модельной проблемой для рассмотрения широкого класса физических явлений и процессов от физики атомного ядра до астрономических объектов [1]. Изучение динамики капель жидкости имеет, в том числе, практический интерес в области разнообразных физико-технических приложений, химико-технологических производств и прикладных геофизических изысканий [2]. Среди всего многообразия задач, связанных с изучением капель, интерес представляет исследование динамики формы и устойчивости капель в электрическом и магнитном полях. Поведение диэлектрических, а также проводящих жидких капель при различных вариантах воздействия на них внешним электрическим полем подробно рассматривалось в работах [3—7].
Новые горизонты в исследованиях данной направленности открываются благодаря использованию магнитных жидкостей ввиду возможности управления каплями жидкости при помощи действия пондеромоторных сил магнитного поля. Задача о фигурах равновесия намагничивающихся капель является одной из известных и, в значительной степени, разработанных задач феррогидродинамики [8]. Однородное магнитное поле изменяет форму помещенной в него капли магнитной жидкости. Деформация капли при этом обусловлена действием магнитных напряжений на границе капли. Установлено, что в относительно слабых магнитных полях форма капли магнитной жидкости является близкой к эллипсоиду вращения. Проводились также исследования обратной системы — немагнитной капли, взвешенной в магнитной жидкости [9]. Показано, что при воздействии однородного постоянного магнитного поля в области малых величин напряженности имеет место более сильное удлинение немагнитной капли в магнитной жидкости по сравнению с магнитной каплей, тогда как при относительно высоких значениях напряженности наблюдается обратная картина. Также исследовалась динамика капли магнитной жидкости в переменных магнитных полях [10]. Так, было обнаружено несколько режимов распада невесомой капли магнитной жидкости в переменном однородном магнитном поле, приводящем к резонансному возбуждению колебаний капли [11, 12]. Проводились также исследования падения капли магнитной жидкости [13, 14], а также всплытия воздушного пузырька в магнитной жидкости в магнитном поле [15—17], что представляет интерес применительно к проблемам контролируемого транспорта и управления малыми объемами жидкости или газа.
В последнее время привлекли внимание исследователей многофазные среды, представляющие собой составные капли, состоящие из капли одной жидкости, заключенной в каплю (оболочку) другой несмешивающейся жидкости, а также двойные и множественные эмульсии подобного типа [18, 19]. В последние годы электрогидродинамика двойных эмульсий привлекает все большее внимание в связи с растущим числом микрофлюидными приложений. В подобных исследованиях рассматриваются вопросы деформации и движения составных капель в присутствии постоянного и переменного электрического поля.
В значительно меньшей степени исследованы составные капли, одним из компонентов, которых является магнитная жидкость, способные в следствие этого реагировать на действие магнитного поля. Существует лишь небольшое число работ, посвященных изучению немагнитных капель или пузырей, окруженных магнитной оболочной и помещенные в немагнитную жидкость [20—22]. В данной работе экспериментально исследуется всплытие пузырька воздуха, окруженного слоем магнитной жидкости, в немагнитной жидкой среде при воздействии внешнего однородного магнитного поля.
МАТЕРИАЛЫ И МЕТОДЫ
В исследованиях применялась экспериментальная установка, изображенная на рис. 1. Стеклянный сосуд 1 заполнялся двухфазной средой, в нижней части сосуда располагался слой магнитной жидкости 2, поверх которого наливался немагнитный слой глицерина 3, плотность которого (1.129 г/см3) была меньше плотности магнитной жидкости (1.245 г/см3). В экспериментах применялась магнитная жидкость на основе керосина с частицами магнетита, стабилизированными олеиновой кислотой. Начальная статическая магнитная проницаемость магнитной жидкости равнялась 2. Взаимного перемешивания магнитной жидкости и глицерина не происходило. Межфазное натяжение на границе воздуха и магнитной жидкости составляло 27 мН/м, а на границе магнитной жидкости и глицерина 18 мН/м.
Рис. 1. Схема экспериментальной установки: 1 — сосуд, 2 — магнитная жидкость, 3 — глицерин, 4 — трубка для выдувания воздушного пузырька, 5 — катушки Гельмгольца, 6 — цифровая видеокамера.
При помощи стеклянной трубки 4, конец которой располагался у дна сосуда, выдувался воздушный пузырек (диаметром ~ 5 мм). В процессе всплытия пузырек пересекал границу магнитной и немагнитной жидкостей и при этом захватывал некоторый малый объем магнитной жидкости (рис. 2). В результаты образовывался пузырек воздуха, покрытый оболочкой из магнитной жидкости (суммарный диаметр ~ 6 мм). Сосуд 1 располагался в однородном горизонтально направленном магнитном поле, создаваемом катушками Гельмгольца 5. В опытах применялось как постоянное, так и переменное магнитное поле. Всплытие пузырька регистрировалось цифровой видеокамерой 6.
Рис. 2. Последовательные кадры перехода воздушного пузырька в процессе всплытия через границу магнитной и немагнитной жидкостей. Временной интервал между изображениями 20 мс. Напряженность магнитного поля 1.9 кА/м.
ЭКСПЕРИМЕНТАЛЬНЫЕ РЕЗУЛЬТАТЫ И ИХ ОБСУЖДЕНИЕ
Проведенные наблюдения показали, что пузырек, покрытый слоем магнитной жидкости, двигается вверх по винтовой траектории (рис. 3). Форма и размеры образующегося пузырька оказались зависимыми от величины приложенного магнитного поля. Так, имела место деформация пузырька под действием магнитного поля, в результате чего он принимал форму вытянутого вдоль направления магнитного поля эллипсоида вращения. Наблюдения в постоянном магнитном поле показали наличие колебаний пузырька, характеризуемых изменением угла φ, образуемого большой осью деформированного пузырька и направлением магнитного поля (рис. 3). В качестве иллюстрации данных колебаний, на рис. 4 представлена экспериментальная зависимость величины угла φ от времени в процессе всплытия пузырька в магнитном поле напряженностью 9 кА/м.
Рис. 3. Этапы всплытия воздушного пузырька в оболочке из магнитной жидкости в магнитном поле напряженностью 9 кА/м.
Рис. 4. Временная зависимость угла отклонения большой полуоси пузырька от направления магнитного поля.
Изменение угла φ можно рассматривать как гармоническое колебание и подвергнуть Фурье анализу, то есть найти набор гармоник в спектре этого периодического процесса. Многочлен Фурье, характеризующий изменения угла φ при движении пузырька, изображенном на рис. 3 и 4а имеет вид:
Наблюдаемая винтообразность траектории и колебания пузырька обусловлены неоднородностью гидродинамического сопротивления при смещении вектора скорости относительно плоскостей симметрии пузырька [23].
Было обнаружено, что время, за которое воздушный пузырек пересекает границу раздела магнитной и немагнитной жидких сред, зависит от величины приложенного магнитного поля. Под временем пересечения границы подразумевается время от появления пузырька (визуальной видимости) до разрыва ножки, соединяющей всплывающий пузырек с магнитной жидкостью (рис. 2в). Проведенные измерения показали, что под действием магнитного поля имеет место уменьшение времени пресечения границы пузырьком (рис. 5). Это может быть связано с тем, что немагнитный пузырь в магнитной жидкости испытывает дополнительную выталкивающую силу в результате магнитного взаимодействия с нижней границей объема магнитной жидкости в магнитном поле. Наличие дополнительной силы со стороны магнитного поля приводит к уменьшению отрывного диаметра пузырька [24], что имеет результатом возрастание скорости всплытия и, соответственно, сокращение времени пересечения границы двух сред.
Рис. 5. Зависимость времени пресечения пузырьком границы магнитной и немагнитной жидкостей от напряженности магнитного поля.
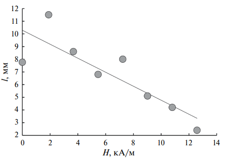
Под действием магнитного поля также наблюдается сокращение длины, при которой происходит разрыв ножки, соединяющей пузырь с объемом магнитной жидкости (рис. 6). Данный эффект должным быть связан с описанным возрастанием скорости всплытия пузырька и изменением его формы в магнитном поле.
Рис. 6. Зависимость от напряженности магнитного поля длины ножки, соединяющей всплывающий пузырек с объемом магнитной жидкости, при которой происходит разрыв.
При воздействии переменного магнитного поля наблюдалось дополнительное колебание формы пузырька вдоль направления поля с частотой, равной удвоенной частоте поля. Амплитуда таких колебаний пузырька оказалась зависимой от частоты и напряженности приложенного поля. В частности, рост напряженности магнитного поля приводил к увеличению амплитуды колебаний, тогда как рост частоты поля имел результатом уменьшение амплитуды колебании всплывающего пузырька воздуха. Указанные наблюдения иллюстрируются экспериментальными данными, представленными на рис. 7, где показаны зависимости амплитуды колебаний пузырька от напряженности переменного магнитного поля при различных значениях частоты поля. Под амплитудой колебаний понимается максимальное изменение длины большой оси пузыря. Влияние магнитного поля в данном случае связано с его действием на оболочку из магнитной жидкости. В частности, деформация оболочки в поле вызывает изменение формы пузыря. Степень деформации возрастает с ростом напряженности магнитного поля подобно тому, как это происходит с каплями магнитной жидкости [11, 12], что приводит к наблюдаемому росту амплитуды колебаний. Убывание амплитуды с частотой магнитного поля объясняется конечностью времени релаксации формы пузыря. По мере приближения частоты магнитного поля к обратному времени релаксации формы пузыря его форма приближается к стационарной.
Рис. 7. Зависимость амплитуды колебаний воздушного пузырька от напряженности переменного магнитного поля при различных значениях частоты поля.
Колебания составного пузыря происходят относительно средней геометрии формы, при этом данная форма также является вытянутой вдоль направления действия поля и практически не зависит от его частоты в исследованном диапазоне частот поля. Были проведены измерения отношения полуосей составного пузыря (a/b, где a — большая полуось, d — малая полуось) в зависимости от величины напряженности магнитного поля. Соответствующие экспериментальные данные представлены на рис. 8. Как видно из рисунка, наблюдется монотонный рост степени деформации (отношения полуосей) пузыря с увеличением напряженности магнитного поля.
Рис. 8. Зависимость отношения полуосей составного пузыря от напряженности внешнего магнитного поля. Точки — экспериментальные данные, сплошная линия — расчет согласно выражению (1).
Стационарная деформация составного пузыря в магнитном поле может быть описана аналогично деформации составной капли диэлектрической жидкости в электрическом поле. Будем считать, что движение пузыря в процессе всплытия незначительно сказывается на его форме, и основной вклад производит действие магнитного поля. Тогда, применяя результаты работы [25], для равновесного параметра деформации D можно записать выражение:
где
Ca = µ0µ3H2R2 / γ23, S12 = µ1 /µ2, S23 = µ2 /µ3, λ = R1 / R2, µ1, µ2 , µ3 — магнитная проницаемость пузыря, оболочки из магнитной жидкости и внешней жидкости, R1 — радиус газового пузыря без учета оболочки, R1 — радиус газового пузыря с учетом оболочки из магнитной жидкости в отсутствие магнитного поля, γ23 — межфазное натяжение на границе оболочки из магнитной жидкости и внешней среды, D = (a2 - b2)/(a2 + b2), a2, b2 — большая и малая полуоси составного пузыря с учетом оболочки. Искомая величина отношения полуосей составного пузыря равна a2/b2 = (1 + D)/(1 - D). Отметим, что экспериментально могло быть измерено только отношение полуосей составного пузыря с учетом оболочки в силу непрозрачности слоя магнитной жидкости.
Результаты расчетов согласно выражению (1) представлены на рис. 8 в сопоставлении с соответствующими экспериментальными данными. Как видно, наблюдается качественная корреляция экспериментальных и теоретических результатов. Некоторое количественное расхождение данных может быть связано с неоднородным распределением слоя магнитной жидкости по поверхности воздушного пузыря вследствие действия гравитационных и гидродинамических сил.
ЗАКЛЮЧЕНИЕ
В результате проведенных исследований получены новые сведения о динамике процесса всплытия пузырька воздуха, заключенного в оболочку из магнитной жидкости в немагнитной жидкой среде. Показано, что магнитное поле существенно влияние на процесс всплытия пузырька. В частности, имеет место деформация пузырька и его вытяжение вдоль направления действия поля, что приводит также к изменению временных характеристик процесса всплытия. Обнаружено, что переменное магнитное поле вызывает колебания формы пузырька, амплитуда которых зависит от напряженности и частоты поля. Полученные результаты могут рассматриваться в качестве модельных, при изучении проблем переноса в многокомпонентных газожидкостных средах. Результаты работы могут быть полезны при разработке методов контроля и управления малыми объемами жидкости или газа, в частности, в микрофлюидных устройствах.
About the authors
А. Ya. Simonovsky
North Caucasus Federal University; Stavropol State Agrarian University
Author for correspondence.
Email: simonovchkij@mail.ru
Russian Federation, Stavropol; Stavropol
A. R. Zakinyan
Stavropol State Agrarian University
Email: simonovchkij@mail.ru
Russian Federation, Stavropol
References
- Пуанкаре А. Фигуры равновесия жидкой массы. М.: Регулярная и хаотическая динамика, 2000.
- Liu H. Science and engineering of droplets. NY.: William Andrew Publishing, 1999.
- Taylor G.I. // Proc. Royal. Soc. Lond. A. 1964. V. 280. P. 383.
- Allan R.S., Mason S.G. // Proc. Royal. Soc. Lond. A 1962. V. 267. P. 45.
- Torza S., Cox R.G., Mason S.G. // Phil. Trans. Royal. Soc. Lond. A. 1971. V. 269. P. 295.
- Ширяева С.О., Петрушов Н.А., Григорьев А.И. // ЖТФ. 2019. Т. 89. № 8. С. 1183; Shiryaeva S.O., Petrushov N.A., Grigor’ev A.I. // Tech. Phys. 2019. V. 64. No. 8. P. 1116.
- Reznik S.N., Yarin A., Theron A., Zussman E. // J. Fluid Mech. 2004. V. 516. P. 349.
- Блум Э.Я., Майоров М.М., Цеберс А.О. Магнитные жидкости. Рига: Зинатне, 1989.
- Диканский Ю.И., Закинян А.Р. // ЖТФ. 2010. Т. 80. С. 8; Dikansky Y.I., Zakinyan A.R. // Tech. Phys. 2010. V. 55. No. P. 1082.
- Тятюшкин А.Н. // Изв. РАН. Сер. физ. 2019. Т. 83. С. 885; Tyatyushkin A.N. // Bull. Russ. Acad. Sci. Phys. 2019. V. 83. P. 804.
- Барков Ю.Д., Берковский Б.М. // Магнит. гидродинам. 1980. Т. 16. № 3. C. 11.
- Братухин Ю.К., Лебедев А.В. // ЖЭТФ. 2002. Т. 121. № 6. С. 1298; Bratukhin Yu.K., Lebedev A.V. // JETP. 2002. V. 94. No. 6. P. 1114.
- Ghaderi A., Kayhani M.H., Nazari M. // Eur. J. Mech. B. 2018. V. 72. P. 1.
- Shi D., Bi Q., He Y., Zhou R. // Exp. Therm. Fluid Sci. 2014. V. 54. P. 313.
- Korlie M.S., Mukherjee A., Nita B.G. et al. // J. Phys. Cond. Matter. 2008. V. 20. Art. No. 204143.
- Ряполов П.А., Соколов Е.А., Калюжная Д.А. // Изв. РАН. Сер. физ. 2023. Т. 87. № 3. С. 348; Ryapolov P.A., Sokolov E.A., Kalyuzhnaya D.A. // Bull. Russ. Acad. Sci. Phys. 2023. V. 87. No. 3. P. 300.
- Lee W.K., Scardovelli R., Trubatch A.D., Yecko P. // Phys. Rev. E. 2010. V. 82. Art. No. 016302.
- Soni P., Dixit D., Juvekar V.A. // Phys. Fluids. 2017. V. 29. Art. No. 112108.
- Soni P., Thaokar R.M., Juvekar V.A. // Phys. Fluids. 2018. V. 30. Art. No. 032102.
- Zentner C.A., Concellón A., Swager T.M. // ACS Cent. Sci. 2020. V. 6. P. 1460.
- Sokolov E., Kaluzhnaya D., Shel’deshova E., Ryapolov P. // Fluids. 2023. V. 8. Art. No. 2.
- Ряполов П.А., Соколов Е.А., Шельдешова Е.В. и др. // Изв. РАН. Сер. физ. 2023. Т. 87. № 3. С. 343; Ryapolov P.A., Sokolov E.A., Shel’deshova E.V., Kalyuzhnaya D.A., Vasilyeva A.O. // Bull. Russ. Acad. Sci. Phys. 2023. V. 87. No. 3. P. 295.
- Кутателадзе С.С., Накоряков В.Е. Тепломассообмен и волны в газожидкостных системах. Новосибирск: Наука, 1984.
- Gogosov V.V., Simonovskii A. Ya. // Magnetohydrodynamics. 1993. V. 29. P. 157.
- Behjatian A., Esmaeeli A. // Phys. Rev. E. 2013. V. 88. Art. No. 033012.
Supplementary files










