Деформация магнитоактивных эластомеров в магнитном поле
- Авторы: Степанов Г.В.1, Стороженко П.А.1
-
Учреждения:
- Акционерное общество “Государственный Ордена Трудового Красного Знамени научно-исследовательский институт химии и технологии элементоорганических соединений»
- Выпуск: Том 88, № 10 (2024)
- Страницы: 1544-1550
- Раздел: Физика магнитных жидкостей и композитных материалов на их основе
- URL: https://ogarev-online.ru/0367-6765/article/view/283361
- DOI: https://doi.org/10.31857/S0367676524100077
- EDN: https://elibrary.ru/DTIIPD
- ID: 283361
Цитировать
Полный текст
Аннотация
Магнитоактивный эластомер или магнитореологический эластомер — композиционный материал, состоящий из упругой эластичной матрицы и магнитного наполнителя. Исследована деформация магнитоактивного эластомера в магнитном поле. Под действием неоднородного магнитного поля материал деформируется на сотни процентов. Намагниченный материал с магнитожестким наполнителем может деформироваться в магнитном поле сложным образом. В магнитном поле поверхность материала приобретает рельеф, что приводит к увеличению гидрофобности поверхности. Под действием магнитного поля упругость и материала возрастает в десятки раз. Такой магнитоактивный эластомер может найти применение в робототехнике и в управляемых демпфирующих устройствах.
Полный текст
ВВЕДЕНИЕ
Магнитоактивные эластомеры (МАЭ), или магнитореологические эластомеры являются относительно новым материалом и относятся к категории так называемых умных материалов, свойства которых обратимо изменяются под внешним воздействием. Материалы, которые можно отнести к «умным» известны давно, но официально эпоха «умных» или «smart materials» началась после создания сплавов с памятью формы. Они очень наглядно показывали, как изменяется, восстанавливается форма материала под действием температуры. Эпоха активного исследования магнитных эластомеров с изменяемыми свойствами началась после исследований в фирме Тойота по магнитозависимым свойствам магнитных эластомеров [1] и публикации патента и статей от фирмы Форд [2—4]. Специалисты фирмы предлагали использовать такой материал в конструкции управляемых амортизаторов в автомобилях. Основное свойство, которое тогда исследовали ученые был магнитореологический эффект — изменение упругости эластомера в магнитном поле, и материал был назван — магнитореологический эластомер. Одновременно в Венгрии профессор Миклош Зриньи исследовал деформацию магнитного геля в неоднородном магнитном поле [5, 6] Обратимая деформация геля достигала 40 %. Магнитный гель изготавливался на основе водного акриламидного геля, содержащего наночастицы магнетита, которые обычно используют при изготовлении магнитной жидкости. Одновременно российская группа в МГУ под руководством Л. В. Никитина исследовала также магнитодеформационный эффект магнитоэластика — композита на основе силиконовой матрицы и карбонильного железа. Магнитодеформационный эффект достигал сотен процентов [7, 8]. Магнитодеформационный эффект находит применение в медицине для фиксации пломбы при лечении отслоения сетчатки [9] и при конструировании клапанов с магнитным управлением [10]. Электрофизические и акустические свойства магнитных эластомеров изменяются в магнитном поле [11]. Дальнейшие исследования показали, что материалу присущи другие свойства, которые изменяются под действием магнитного поля, и таких свойств более десяти.
ИЗГОТОВЛЕНИЕ МАГНИТОАКТИВНЫХ ЭЛАСТОМЕРОВ
Магнитоактивные эластомеры представляют собой композицию магнитного наполнителя в эластичной полимерной матрице. В качестве магнитного наполнителя обычно используют порошки магнитомягкого железа с размером частиц 1—100 мкм, предпочтительно 5—10 мкм, в частности карбонильное железо. В этом смысле МАЭ являются продолжением технологии магнитореологических суспензий и нивелируют один из их недостатков — оседание и агрегация крупных частиц магнитного наполнителя. Другим, широко используемым в последнее время наполнителем, являются порошки магнитотвердых материалов, в частности NdFeB с размерами 10—100 мкм. Иногда используют смесь магнитомягких и магнитожестких наполнителей с целью увеличения наполнения композиции и в целом магнитной восприимчивости. В качестве полимерной матрицы, наиболее широко используют силиконовые и полиуретановые эластомеры. Обычно выбирают диапазон упругости полимерных матриц с модулем Юнга 1—100 кПа. Силиконовые и полиуретановые матрицы позволяют варьировать упругость в широком диапазоне за счет количества активных групп в двухкомпонентных составах. Технология изготовления МАЭ заключается в смешении магнитных порошков с жидкой двухкомпонентной матрицей в заданных пропорциях, вакуумированием системы для удаления пузырьков воздуха, и отливкой композиции в форму для проведения полимеризации. Полимеризацию проводят или при комнатных температурах, или при повышенных до 150°C, как правило для силиконовых композиций. Более подробно процесс описан для силиконовой композиции с магнитотвердым наполнителем в статье [12]. В нашей работе использовался двухкомпонентный силиконовый компаунд марки СИЭЛ 254 производства АО «ГНИИХТЭОС» с наполнением магнитными порошками в количестве 80 % масс или 30 % об.
МАГНИТОДЕФОРМАЦИОННЫЙ ЭФФЕКТ
Одним из основных свойств МАЭ является магнитодеформационный эффект — деформация в неоднородном магнитном поле. Мы исследовали деформацию анизотропного МАЭ с магнитомягким наполнителем — карбонильное железо в количестве 75 % масс или 25 % об. Анизотропные образцы получали полимеризацией жидкой композиции в магнитном поле. Далее из пластины вырезали полоски с ориентацией вдоль поля полимеризации или перпендикулярно полю. При полимеризации в магнитном поле в образце возникали цепеобразные структуры из частиц магнитного наполнителя, вытянутые вдоль линий магнитного поля. Такие структуры для разбавленной композиции в тонком слое показаны на рис. 1б. При механическом растяжении материал показывает разную упругость в зависимости от направления деформации. Ранее такие исследования были проведены для различных типов наполнителей [13]. В данном исследовании смотрели растяжение в неоднородном магнитном поле. Образец длиной 2 см подвешивался над электромагнитом, на поверхности которого измеряли магнитное поле. В таком неоднородном магнитном поле образец вытягивался в направлении одного полюса электромагнита. Эксперимент проведен для анизотропного образца в зависимости от ориентации структуры образца относительно полюса электромагнита. Величина деформации в зависимости от магнитного поля на полюсе электромагнита представлена на рис. 1а.
Рис. 1. Зависимость удлинения образца в неоднородном магнитном поле от величины магнитного поля на поверхности электромагнита: 1 — деформация параллельно направлению структурирования (направление А-А, б), 2 — деформация перпендикулярно направлению структурирования (направление Б-Б, б)
Как видно из рис. 1а материал способен растягиваться неоднородным магнитным полем на 250 %. МАЭ синтезированный в магнитном поле проявляет значительную анизотропию упругости в зависимости от направления деформации. Для данного образца со сферическим наполнителем (карбонильное железо) анизотропия упругости достигает двух раз. Такой МАЭ хорошо деформируется в магнитном поле и может быть использован для конструирования актуаторов и микродвижетелей [14].
ДЕФОРМАЦИЯ МАЭ С МАГНИТОЖЕСТКИМ НАПОЛНИТЕЛЕМ NdFeB
МАЭ может быть приготовлен с использованием магнитотвердого порошка. Такой материал может иметь широкую петлю гистерезиса после намагничивания и может использоваться как эффективный демпфирующий материал [15, 16, 17, 18]. Однако, такой материал может быть намагничен сложным образом, и полоска из такого материала может иметь множество полюсов. В магнитном поле он может деформироваться сложным образом как показано на рис. 2.
Рис. 2. Многополюсное намагничивание полоски МАЭ. Схема намагниченности полоски МАЭ и фотографии изгиба намагниченного МАЭ в магнитном поле.
Как видно из рис. 2 многополюсные образцы изгибаются под действием магнитного поля в ту или другую сторону. В динамическом режиме эти процессы можно наблюдать в видеофильме: http://www.magnetolab.ru/video/video8_00.mp4. Если с одной стороны полоски создать скользящую поверхность, а с другой шершавую, то в динамическом режиме деформации такой «червяк» начинает двигаться в сторону скользящей части полоски.
ДЕФОРМАЦИЯ ПОВЕРХНОСТИ В МАГНИТНОМ ПОЛЕ
Эффект изменяемой смачиваемости в магнитном поле (эффект Лотоса). Данный эффект связан с появлением на поверхности МАЭ под действием магнитного поля структур аналогичных наблюдаемых в магнитных жидкостях. Но поскольку данный материал твердый, в отличие от магнитной жидкости, измеренный угол смачиваемости зависит от магнитного поля [20]. Игольчатую структуру на поверхности МАЭ можно сохранить, проведя полимеризацию в магнитном поле.
В отличие от магнитной жидкости на поверхности МАЭ можно создать мелкую структуру из магнитных частиц. Сравним поверхности магнитного эластомера без поля и в магнитном поле на рис. 3. Под действием магнитного поля внутри эластичной матрицы МАЭ возникают цепеподобные структуры который выходят на поверхность создавая своеобразную рябь на поверхности.
Рис. 3. Изменение структуры поверхности под действием магнитного поля. Условное увеличение ×10. Масштаб двух картинок одинаков. Исходный (а) и в магнитном поле 100 мТл (б). Фотография 3D профиля поверхности образца МАЭ без магнитного поля (в) и в магнитном поле 200 мТл (г). Увеличение ×500.
Если жидкую магнитную композицию заполимеризовать в магнитном поле, на поверхности получается игольчатая композиция с шагом 0.1 мм (рис. 4). Магнитная жидкость в магнитном поле имеет как правило более грубую структуру.
Рис. 4. Структура поверхности после полимеризации жидкой пленки МАЭ в магнитном поле.
Угол смачивания поверхности МАЭ зависит от величины приложенного магнитного поля. Если для исходного силиконового МАЭ угол смачивания находится в интервале 90—100°, то приложение вертикально направленного магнитного поля величиной 200 мТл, увеличивает угол смачивания до 140°.
РАСТЯЖЕНИЕ В МАГНИТНОМ ПОЛЕ. МАГНИТОРЕОЛОГИЧЕСКИЙ ЭФФЕКТ
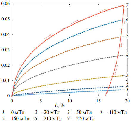
Наиболее известными и наиболее подробно исследуемым свойством МАЭ является магнитореологический эффект. Данный эффект имеет в настоящее время практическое применение. Данный эффект исследуют как при псевдостатической нагрузке, так и при динамической в области частот 0.1—100 Гц [19]. Наиболее наглядно магнитореологический эффект можно представить при псевдостатической нагрузке, как показано на рис. 5. Образец медленно растягивается в разрывной машине и при этом регистрируется напряжение в образце и относительная деформация. Образец растягивают без магнитного поля и в магнитном поле, когда образец находится в центре соленоида и на него действует однородное магнитное поле, направленное вдоль направления растяжения образца.
Рис. 5. Зависимость напряжения от относительного удлинения МАЭ без поля (1) и в магнитном поле разной величины (кривые 2—20 мТл, 7—270 мТл).
Как видно из рис. 5 существует громадная разница в упругих свойствах МАЭ без магнитного поля и в магнитном поле. Жесткость материала в магнитном поле в десятки раз выше, чем без магнитного поля. Модуль упругости сильно зависит от деформации МАЭ. При малых деформациях менее 0.1 % он возрастает в магнитном поле в сотни раз, при больших — только в десятки. Данный магнитореологический эффект определяется диполь-дипольным взаимодействием магнитных частиц между собой внутри полимерной матрицы. Дополнительно это взаимодействие усиливается внутренним структурированием частиц внутри матрицы в цепеподобные структуры, при этом расстояние между частицами в таких цепях значительно сокращается по сравнению с исходным, изотропным, распределением частиц внутри матрицы [21, 22]. Этот процесс структурирования демонстрирует фильм, где частицы располагаются одним слоем в полимерной матрице [23].
Рассмотрим ход деформационной кривой МАЭ находящегося в магнитном поле. Если посмотреть по стрелкам на путь деформации материала, то видно, что при снижении нагрузки до 0 МПа, для зависимости при 270 мТл, материал не восстанавливает изначальную длину, и имеет значительную остаточную деформации. Величину этой остаточной деформации мы назвали эффектом магнитной памяти формы МАЭ [8]. Эффект остаточной деформации в магнитном поле может проявляться при любых деформациях, при растяжении, сжатии, изгибе и т. д. [22]. Этот эффект также определяется эффектом диполь-дипольного взаимодействия между намагниченными частицами внутри полимерной матрицы. Отличительной особенностью данного процесса является то, что перемещение частиц внутри матрицы дополнительно определяется внешним механическим воздействием на полимерный композит. Внешнее механическое воздействие деформирует матрицу приводит частицы в соприкосновение, а внешнее магнитное поле вызывает диполь-дипольное взаимодействие между частицами и «замораживает» их в таком положении. Сблизившиеся частицы примагничиваются друг к другу, преодолевая силы упругой матрицы, и находятся в таком положении пока на них действует магнитное поле. После выключения магнитного поля силы упругости полимерной матрицы возвращают частицы на свои места и материал восстанавливает исходную форму.
Материал может проявлять также магнитоэлектрореологические свойства. Если магнитный наполнитель имеет высокое электрическое сопротивление или имеет поляризуемое диэлектричекое покрытие, то под действием электрического поля, такой наполнитель поляризуется, приобретает электрический заряд. В электрическом поле наполнитель структурируется в эластичной полимерной матрице, изменяя вязкоупругие свойства композита. Такой материал может быть полезен в конструкциях, когда есть ограничения на массо-габаритные параметры электромагнитных катушек. В такой конструкции дополнительный реологический эффект может быть получен с помощью электрического поля [24]. К сожалению, данное направление мало изучено вследствие отсутствия качественной экспериментальной приборной базы.
ЗАКЛЮЧЕНИЕ
Как показывает краткий обзор свойств МАЭ в магнитном поле, материал является типичным «умным материалом» (smart material), множество свойств которого обратимо изменяется в магнитном поле. Такими свойствами, рассмотренными в этом исследовании, является магнитодеформационный эффект — деформация (удлинение) образца в неоднородном магнитном поле, которая достигает 250 %. Материал с магнитожестким наполнителем, после локального намагничивания имеет множество полюсов и соответственно может деформироваться сложным образом в магнитном поле. Воздействие магнитного поля на эластичный вариант МАЭ приводит к внутреннему структурированию магнитного наполнителя и эти структуры выходят на поверхность образца создавая игольчатую структуру на поверхности образца. Все это в результате приводит к увеличению угла смачиваемости. Материал становится более гидрофобным. Эффект внутреннего структурирования сильно проявляется при деформации МАЭ в магнитном поле. Жесткость материала, модуль упругости Юнга возрастают в несколько десятков раз. Такой материал с управляемыми свойствами и найдет применение в микроробототехнике и в управляемых демпфирующих устройствах.
Исследование выполнено при финансовой поддержке Российского фонда фундаментальных исследований (проект № 19-53-12039).
Об авторах
Г. В. Степанов
Акционерное общество “Государственный Ордена Трудового Красного Знамени научно-исследовательский институт химии и технологии элементоорганических соединений»
Автор, ответственный за переписку.
Email: gstepanov@mail.ru
Россия, Москва
П. А. Стороженко
Акционерное общество “Государственный Ордена Трудового Красного Знамени научно-исследовательский институт химии и технологии элементоорганических соединений»
Email: gstepanov@mail.ru
Россия, Москва
Список литературы
- Shiga T., Okada A., Kurauchi T. // J. Appl. Polym. Sci. 1995. V. 58. P. 787.
- EP 0784163. 1996. Variable stiffness bushing using magnetorheological elastomers.
- Jolly M.R., Carlson J.D., Munoz B.C. // J. Intell. Mater. Syst. Struct. 1996. No. 7. P. 613.
- Jolly M.R., Carlson J.D., Munoz B.C. // Smart Mater. Struct. 1996. V. 5. No. 5. P. 607.
- Zrínyi M., Barsi L., Büki A. // J. Chem. Phys. 1996. V. 104. No. 21. P. 8750.
- Zrı́nyi M., Barsi L., Szabó D., Kilian H.-G. // J. Chem. Phys. 1997. V. 106. No. 13. P. 5685.
- Nikitin L.V., Mironova L.S., Stepanov G.V., Samus A.N. // Polymer Sci. A. 2001. V. 43. No. 4. Р. 443.
- Nikitin L.V., Stepanov G.V., Mironova L.S., Gorbunov A.I. // JMMM. 2004. V. 272—276. P. 2072.
- Алехина Ю.А., Макарова Л.А., Наджарьян Т.А. и др. // Изв. РАН. Сер. физ. 2019. Т. 83. № 7. С. 882; Alekhina Y.A., Makarova L.A., Nadzharyan T.A. et al. // Bull. Russ. Acad. Sci. Phys. 2019. V. 83. No. 7. P. 801.
- Амиров А.А., Каминский А.С., Архипова Е.А. и др. // Изв. РАН. Сер. физ. 2023. Т. 87. № 6. С. 813; Amirov A.A., Kaminskiy A.S., Arkhipova E.A. et al. // Bull. Russ. Acad. Sci. Phys. 2023. V. 87. No. 6. P. 715.
- Кузнецова И.Е., Колесов В.В., Зайцев Б.Д. и др. // Изв. РАН. Сер. физ. 2017. Т. 81. № 8. С. 1048; Kuznetsova I.E., Kolesov V.V., Zaitsev B.D. et al. // Bull. Russ. Acad. Sci. Phys. 2017. V. 81. No. 8. P. 945.
- Степанов Г.В., Крамаренко Е.Ю., Перов Н.С. и др. // Вест. Перм. ПНИПУ. Механика. 2013. № 4. С. 106.
- Степанов Г.В., Кириченко С.И., Махаева Е.Е., Крамаренко Е.Ю. // ВМС. Сер. А. 2023. Т 65. № 2. С. 104; Stepanov G.V., Kirichenko S.I., Makhaeva E.E. et al. // Polym. Sci. Ser. A. 2023. V. 65. P. 157.
- Zimmermann K., Naletova V.A., Zeidis I. et al. // J. Magn. Magn. Mater. 2007. V. 311. No. 1. P. 450.
- Stepanov G.V., Chertovich A.V., Kramarenko E.Y. // JMMM. 2012. V. 324. No. 21. P. 3448.
- Kramarenko E.Yu., Chertovich A.V., Stepanov G.V. et al. // Smart Mater. Struct. 2015. V. 24. Art. No. 035002.
- Borin D.Yu., Stepanov G.V., Odenbach S. // J. Phys. Conf. Ser. 2013. V. 412. Art. No. 012040.
- Borin D.Yu., Stepanov G.V. // J. Optoelectr. Adv. Mater. 2013. V. 15. No. 3—4. P. 249.
- Borin D., Stepanov G., Musikhin A. // Polymers. 2020. V. 12. No. 10. Art. No.2371.
- Sorokin V.V., Sokolov B.O., Stepanov G.V., Kramarenko E.Yu. // JMMM. 2019. V. 459. P. 268.
- Stepanov G.V., Abramchuk S.S., Grishin D.A. et al. // Polymer. 2007. V. 48. P. 488.
- Stepanov G.V., Borin D.Yu., Raikher Yu.L, Melenev P.V. // J. Phys. Cond. Matter. 2008. V. 20. Art. No. 204121.
- http://www.magnetolab.ru/video/video7_00.mp4.
- Borin D.Yu., Stepanov G.V. // J. Intell. Mater. Syst. Struct. 2015. V. 26. No. 14. P. 1893.
Дополнительные файлы







