Ядерно-сканирующий микрозонд в исследовании эпислоев карбида кремния
- Авторы: Бузоверя М.Э.1, Карпов И.А.1, Архипов А.Ю.1, Скворцов Д.А.2, Неверов В.А.2, Мамин Б.Ф.2
-
Учреждения:
- Федеральное государственное унитарное предприятие Российский федеральный ядерный центр – Всероссийский научно-исследовательский институт экспериментальной физики
- Федеральное государственное бюджетное образовательное учреждение высшего образования Национальный исследовательский Мордовский государственный университет имени Н. П. Огарёва
- Выпуск: Том 88, № 8 (2024)
- Страницы: 1287-1292
- Раздел: Фундаментальные вопросы и приложения физики атомного ядра
- URL: https://ogarev-online.ru/0367-6765/article/view/279601
- DOI: https://doi.org/10.31857/S0367676524080201
- EDN: https://elibrary.ru/OPKVCM
- ID: 279601
Цитировать
Полный текст
Аннотация
Обсуждаются результаты исследования поверхностей образцов гомоэпитаксиальных слоев 4H-SiC методом ядерно-сканирующего микрозонда в режиме обратного резерфордовского рассеяния. Анализ состояния поверхностей образцов, и режимов синтеза показал, что увеличение содержания кремния в верхних слоях некоторых образцов предшествует формированию высокодефектных слоев 4H-SiC.
Полный текст
ВВЕДЕНИЕ
Эффективность радиоэлектронных устройств, особенно работающих в экстремальных условиях (высокие температуры, радиация и др.) существенно зависит от повышения быстродействия, энергосбережения и надежности твердотельной элементной базы. Одним из материалов, отвечающих столь жестким требованиям, является карбид кремния 4H политипа (4H-SiC). Высокая подвижность электронов, большая величина электрического поля пробоя в сочетании с отличными термохимическими характеристиками обуславливают значительные перспективы использования этого материала для изготовления приборов различного назначения. Электронные приборы на основе SiC обладают высоким быстродействием, радиационной стойкостью и возможностью работы при температурах до 600 °C [1]. Реализация высоких потенциальных возможностей этого материала тормозится в связи с трудностью получения качественных эпитаксиальных слоев (ЭС) этого материала. Отработка технологии воспроизводимого роста ЭС SiC является индивидуальной задачей для установок конкретного типа и требует детального учета факторов, определяющих достижимые параметры эпислоев [2]. При росте ЭС может происходить спонтанное зарождение мелкомасштабных кристаллов, планарных дефектов, дислокаций и др., линейные масштабы которых составляют единицы –десятки микрометров [3]. В этой связи весьма актуальным является применение современных высокоразрешающих методов характеризации ЭС Si C. Цель работы — исследование возможности использования установки «Ядерно-сканирующий микрозонд-ЭГП-10» (ЯСМЗ) в оценке качества гомоэпитаксиальных слоев 4H-SiC, полученных сублимационным сэндвич-методом (ССМ) в вакууме на монокристаллических подложках 4H-SiC.
ЭКСПЕРИМЕНТАЛЬНАЯ ЧАСТЬ
Мы исследовали 2 образца гомоэпитаксиальных слоев 4Н-SiC EPI-1 и EPI-2, полученных на вицинальных (4о off-cut) монокристаллических подложках 4H-SiC n-типа (легирование азотом) диаметром 100 мм, толщиной 350 мкм сублимационным сэндвич-методом (ССМ) (рис. 1а) в установке высокотемпературного роста с индукционным нагревателем Basic-T. В качестве источника паров использовали нелегированные поликристаллические пластины карбида кремния кубического политипа (3C-SiC) диаметром 100 мм, толщиной 650 мкм. Зазор массопереноса между источником и подложкой составлял 1 мм. Осевой градиент температуры внутри зоны массопереноса задавали положением ростовой поверхности подложки относительно середины индукционного нагревателя установки (поз. 8). Температуру контролировали инфракрасным пирометром установки в осевой точке верхней крышки графитовой эпитаксиальной ячейки (Tяч). Процессы эпитаксии проводили в следующем технологическом режиме (рис. 1б) (табл. 1): 1) откачка ростовой камеры с тепловым узлом до остаточного давления p = 0.33 Па; 2) ступенчатый нагрев до Tяч = 2000 oС в течение 180 мин; 3) выдержка при Tяч = 2000 oС в течение 60 мин (EPI-1) и 100 мин (EPI-2); 4) естественное охлаждение установки при отключенном нагревателе. Необходимо отметить, что интенсивность откачки камеры была одинаковой на всех указанных стадиях процесса, а напуск продувочных и легирующих газов не производился. Полученные ЭС имеют n-тип проводимости, обусловленный фоновым легированием остаточным азотом.
Рис. 1. Схема эпитаксиальной сэндвич-ячейки в тепловом узле ростовой установки (а): 1 — зона переноса молекулярных компонентов пара; 2 — источник паров SiC (сублимационная пластина); 3 — кристалл затравка (монокристаллическая 4H-SiC подложка); 4 — графитовое кольцо (спейсер); 5 —графитовый тигель; 6 — графитовая теплоизоляция; 7 — кварцевая труба; 8 — индукционный нагреватель. Динамика процессов эпитаксии (б) EPI-1 (вверху) и EPI-2 (внизу): TЯЧ (эксп.) — температура верха эпитаксиальной ячейки, регистрируемая пирометром; ТИСТ (модель) — расчетная температура поверхности сублимационной пластины; GЭС (модель) — расчетная скорость роста эпитаксиального слоя.
Таблица 1. Технологические режимы (экспериментальные данные). P3 — средняя мощность нагревателя на стадии выдержки
Процесс / образец | Поз., мм | P3, кВт | Tяч, oС | p, Па | t3, ч | hЭС, мкм | GЭС, мкм/ч | hподл, мкм |
EPI-1 | 85 | 5.3 | 2000 | 0.34 | 1 | 215 ± 10 | 215 | 268 ± 10 |
EPI-2 | 45 | 4.1 | 2000 | 0.33 | 1.6 | 224 ± 15 | 140 | 294 ± 12 |
Полученные образцы отличаются толщинами как эпислоев hЭС, так и подложек hподл, так как обратная сторона подложек свободно сублимировала в пространство под крышкой ячейки. Различия в толщине ЭС обусловлены использованием разных осевых градиентов температуры в ростовой ячейке, что приводит к разной скорости роста слоев. Отметим, что в табл. 1 приведены средние значения скоростей роста GЭС как отношение средней толщины hЭС эпитаксиального слоя к длительности фазы выдержки t3. В действительности, следует ожидать, что вследствие отсутствия ограничивающих рост стадий (напуск инертного газа в стадии нагрева и его откачка перед началом роста, напуск газа для ограничения роста перед стадией охлаждения) существенный рост ЭС возможен до и после стадии выдержки (3) при Tяч > 1800 оС. Поскольку рост слоев проводился при постоянном давлении p, то скорость роста GЭС(t), в первом приближении, будет пропорциональна температуре источника Tист(t) [4].
Для получения более детальной информации о распределении температуры внутри ячейки, оценки динамики процесса осаждения и состава паровой фазы в процессе эпитаксии были использованы методы численного конечно-элементного моделирования. Конечно-элементная модель рассчитывалась в программном пакете мультифизического моделирования COMSOL Multiphisics с использованием геометрии теплового узла, сэндвич-ячейки, физическими свойствами применяемых материалов [5]. В качестве входных параметров использовались экспериментальные данные серии процессов EPI-1—4. Последовательность расчета: 1) решение уравнений теплопереноса (теплопередача в твердых телах и радиационный теплоперенос) при индукционном нагреве с использованием экспериментальной кривой нагрева и температурозависимых свойств материалов в диапазоне 300—3000 K; 2) решение уравнений свободномолекулярного массопереноса в зазоре источник-подложка. В результате была произведена оценка основных параметров процессов и их общая динамика. Рассчитанная динамика температуры источника Tист(t) в сравнении с экспериментальной кривой температуры крышки сэндвич-ячейки Tяч(t) и скорости роста GЭС(t) процессов EPI-1 и EPI-2 показана на рис. 1б.
В табл. 2 приведены основные рассчитанные параметры процессов эпитаксии EPI-1 и EPI-2 из которых можно видеть, что положение подложки относительно индуктора определяет осевой перепад температур ΔT источник-подложка. Рассчитанная стехиометрия η компонентов (Si/C) паровой фазы на стадии выдержки η равна 1.52 и 1.55 для EPI-1 и EPI-2, соответственно. Наилучшая сходимость толщины hЭС и скорости роста GЭС была получена при значениях коэффициентов сублимации и прилипания δ = 0.03 и α = 0.65 соответственно, что согласуется с литературными данными моделирования подобных сэндвич-ячеек [6].
Таблица 2. Данные численного моделирования. GЭС — расчетная средняя скорость роста на стадии выдержки
Процесс | Tист, Со | TЭП, Со | ΔT, K | GЭС, мкм/ч | hЭС, мкм | η3, (отн.ед) |
EPI-1 | 2048 | 2040 | 8 | 184 | 219 | 1.52 |
EPI-2 | 2040 | 2035 | 5 | 127 | 224 | 1.55 |
МЕТОДЫ ИССЛЕДОВАНИЯ
В ранее проведенных нами работах был использован комплексный способ изучения структуры, сочетающий атомно-силовую микроскопию (АСМ) и исследование с помощью ядерного сканирующего микрозонда (ЯСМЗ). Такая комбинация методов позволила получать интересные результаты [7]. АСМ дает представление о структуре поверхности, что необходимо для интерпретации элементного картирования. В свою очередь, результаты ЯСМЗ-картирования полезны для анализа АСМ-изображений в режиме «фазового контраста». На настоящий момент времени ядерный сканирующий микрозонд (ЯСМЗ) является хорошо обоснованным аналитическим методом, нашедшим применение в различных областях науки и производства, и относится к перспективному развивающемуся диагностическому направлению.
В качестве источника ускоренных ионов используется электростатический перезарядный ускоритель ЭГП-10. Ускоряемые ионы: протоны, дейтроны с энергиями до 10 Мэ В. Одним из методов микроструктурного элементного анализа, развивающегося на установке «Микрозонд», является метод RBS (Rutherford Back scattering Spectrometry — резерфордовское обратное рассеяние), основанный на спектрометрии обратно рассеянных заряженных частиц. Этот метод довольно универсален. Основным его преимуществом по сравнению с другими методами анализа на ионных пучках является возможность определения практически всех элементов, за исключением водорода.
При исследовании образцов комплекс «Микрозонд» — ЭГП-10 работал в следующем режиме: протонный пучок с энергией 4 МэВ (анализируемая глубина 25 мкм); средний ток протонов на образцах — 0.01 нА; шаг сканирования — 5 мкм; размер пучка на образце — не более 30×30 мкм; область сканирования 300×300 мкм.
«Микрозонд» обеспечивает, как высокую чувствительность измерений (до 10 ppm), так и анализ распределения элементов по глубине эпислоев Si C.
Особый интерес представляет получение интегральных карт, где представлены все присутствующие в материале элементы. Интегральные элементные карты получали специальной математической обработкой RBS-спектров.
Анализ структуры поверхности образцов исследовался с помощью сканирующего зондового микроскопа СЗМ Solver Next производства ОАО НТ-МДТ, г. Зеленоград. В настоящее время сканирующий зондовый микроскоп является современным, актуальным прибором для получения изображения поверхности и её локальных характеристик, а также для анализа морфологических особенностей материалов. Сканирование поверхности проводилось полуконтактным методом (tapping-mode) в режиме топографии и фазы на воздухе при нормальных условиях, кантилеверы серии NSG10/W2C. Топографическая мода дает данные о рельефе поверхности; фазовая мода — о неоднородностях свойств и химического состава. Результаты сканирования обрабатывали штатным программным модулем обработки изображения Image Analysis 3.5. Анализ параметров структуры поверхности в данной работе проводился на площади 30×30; 10×10 и 5×5 мкм.
РЕЗУЛЬТАТЫ И ИХ ОБСУЖДЕНИЕ
На рис. 2 показаны характерные для поверхности образцов АСМ-изображения. Основными структурными элементами являются ступени роста и пики, образующие отдельную субструктуру. Результаты обработки изображений показали, что количество выступов в образце EPI-1 значительно меньше.
Рис. 2. АСМ-изображения: образец EPI-1 (а), высота ступеней — 0.5 нм, ширина террас 2.76 мкм, число пиков в области — 13; образец EPI-2 (б), высота ступеней — 0.5 нм, ширина террас — 5.61 мкм, число пиков в области — 58.
Представляло интерес определить химическую природу пиков. На рис. 3а и 3б представлены типичные RBS-спектры, полученные на образцах ЭС Si C.
Рис. 3. RBS-спектры образцов EPI-1 (а) и EPI-2 (б). Карты распределения элементов (размер 30 × 30 мкм), образцы EPI-1 (в) и EPI-2 (г).
На спектрах наблюдаются пики кремния (Si), которые можно интерпретировать как области с повышенным его содержанием. Причем эти зоны располагаются в поверхностном слое толщиной ~ 2 мкм. Результаты обработки спектров приведены в табл. 3.
Таблица 3. Элементный состав образцов ЭС SiC
Образец | Расстояние от поверхности, мкм | Содержание Si,% | Содержание C,% |
EPI-1 | 1.5 | 100 | 0 |
2 | Падение от 100 до 50 | Нарастание от 0 до 50 | |
На всю глубину | 50 | 50 | |
EPI-2 | 2.0 | 100 | 0 |
2.2 | Падение от 100 до 50 | Нарастание от 0 до 50 | |
На всю глубину | 50 | 50 |
Специальная математическая обработка RBS-спектров с целью получения интегральных элементных карт показывает, что в поверхностных слоях есть участки с повышенным содержанием Si, углерода (C) и сочетанием Si-C, которые расположены изолированно в виде островковых образований. Пики выделяют структуры с повышенным содержанием компонент относительно усредненных значений на подложке (рис. 3в и 3г).
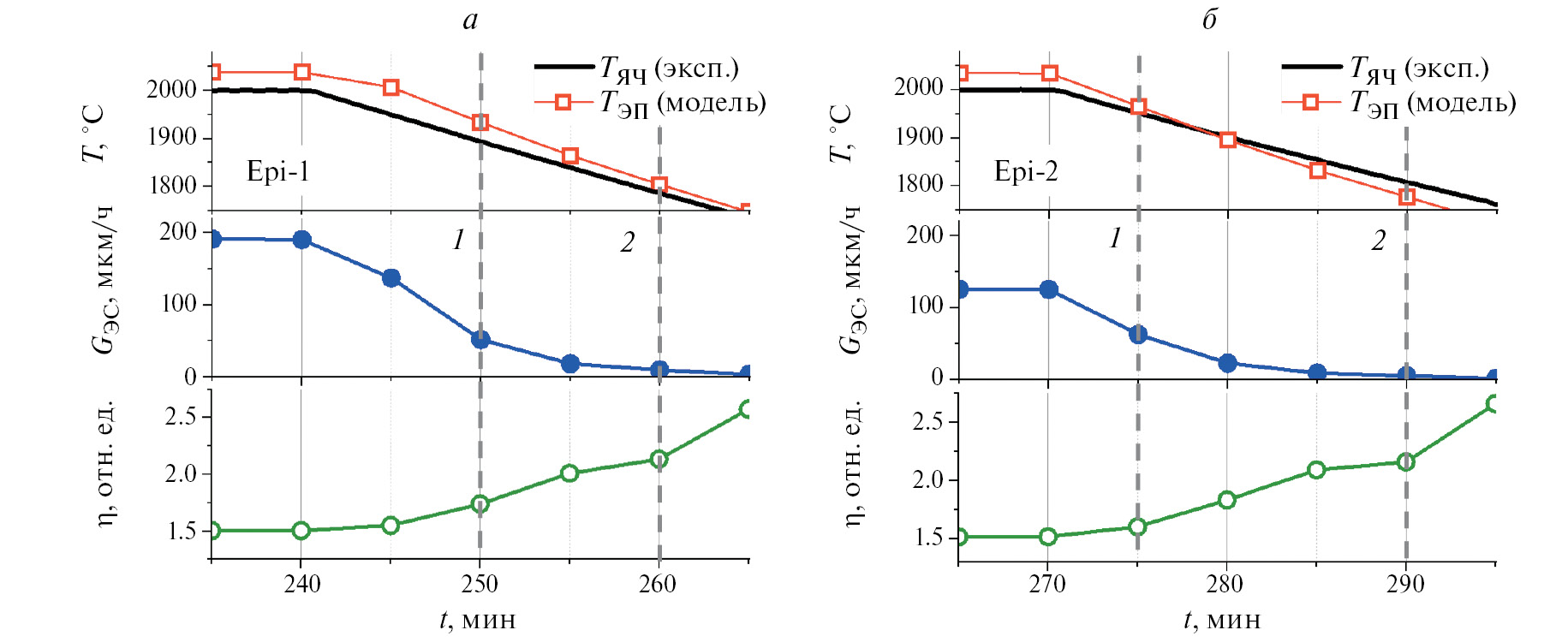
Условия роста на заключительном этапе осаждения ЭС SiC, в частности, при формировании приповерхностного слоя толщиной ~ 2 мкм можно оценить из результатов моделирования. На рис. 4 показаны графики ростовых параметров (TЭП(t) — температура эпитаксиальной поверхности, GЭС(t) — скорость роста, η(t) — стехиометрия паров Si/C) соответствующих этапу формирования таких слоев (области выделены пунктиром) для процессов EPI-1 и EPI-2. Линия 1 соответствует предположительному началу осаждения приповерхностного слоя, а линия 2 — окончанию. Значения параметров сведены в табл. 4. Из представленных данных можно сделать вывод, что осаждение приповерхностных слоев h(1→2) проходило в условиях быстрого охлаждения ~ 13 К/мин, и как следствие, увеличения относительного содержания Si в паровой фазе до η > 2, тогда как на стадии выдержки η3 ≈ 1.5. Поскольку расчет стехиометрии η(T) проводили для равновесной системы SiC [8], то в условиях быстрого охлаждения паровая фаза может перейти в систему SiC-Si с наиболее вероятным образованием жидкого Si. Из-за малого расстояния источник-подложка d = 1 мм, температура подложки с эпислоем TЭП и температура источника Tист при охлаждении уменьшалась с одной и той же скоростью, поэтому конденсация капель Si в процессах EPI-1 и EPI-2 обусловлена пересыщением пара по кремнию. Более высокая концентрация пиков (капель Si) на поверхности образца EPI-2 может быть обусловлена значительно более выраженной ступенчатой ростовой поверхностью (рис. 2б) и более низкой температурой конечной стадии осаждения TЭП = 1777 oC (табл. 4). Образование соразмерных включений углерода и Si-C композиций (рис. 3в и 3г) на одной глубине с включениями Si, указывает на испарение части Si капель в процессе охлаждения с образованием остаточного углеродного включения [9].
Рис. 4. Рассчитанная динамика ростовых параметров в области, соответствующей заключительному этапу роста ЭС SiC EPI-1 (слева) и EPI-2 (справа). Пунктирными линиями отмечена область формирования приповерхностного слоя толщиной ~ 2 мкм. ТЭП (модель) — расчетная температура эпитаксиальной поверхности.
Таблица 4. Рассчитанные ростовые параметры стадии осаждения приповерхностных слоев SiC (по рис. 4)
Процесс | EPI-1 | EPI-2 | ||
Линия | 1 | 2 | 1 | 2 |
TЭП, oC | 1934 | 1805 | 1966 | 1777 |
GЭС, мкм/ч | 52 | 9 | 63 | 5 |
η, отн. ед. | 1.74 | 2.13 | 1.6 | 2.16 |
h(1→2), мкм | 2.17 | 2.4 | ||
Анализ состояния поверхностей образцов и режимов синтеза показал, что, увеличение содержания Si в верхних слоях образцов и несвязанного C могут предшествовать формированию высокодефектных слоев 4H-SiC. Согласно литературным источникам, микрочастицы графита могут приводить к возникновению микропор и пучков дислокаций [10].
Таким образом, с помощью ЯСМЗ можно проводить контроль стехиометрии эпитаксиальных слоев карбида кремния и структурного совершенства поверхностных и приповерхностных слоев.
ЗАКЛЮЧЕНИЕ
Методом ЯСМЗ получен элементный состав ЭС; показано изменение состава по толщине ЭС, которое зависит от технологии (расположения эпиповерхности относительно нагревателя). Внедрение избыточного Si, в первую очередь, связано с динамикой изменения стехиометрии в паровой фазе при сублимирующем источнике SiC и быстром охлаждении в сторону обогащения кремнием (система SiC-Si). Увеличение Si в верхних слоях ЭС может предшествовать формированию высокодефектных слоев 4H-SiC.
Об авторах
М. Э. Бузоверя
Федеральное государственное унитарное предприятие Российский федеральный ядерный центр – Всероссийский научно-исследовательский институт экспериментальной физики
Email: dismos51@gmail.com
Россия, Саров
И. А. Карпов
Федеральное государственное унитарное предприятие Российский федеральный ядерный центр – Всероссийский научно-исследовательский институт экспериментальной физики
Email: dismos51@gmail.com
Россия, Саров
А. Ю. Архипов
Федеральное государственное унитарное предприятие Российский федеральный ядерный центр – Всероссийский научно-исследовательский институт экспериментальной физики
Email: dismos51@gmail.com
Россия, Саров
Д. А. Скворцов
Федеральное государственное бюджетное образовательное учреждение высшего образования Национальный исследовательский Мордовский государственный университет имени Н. П. Огарёва
Автор, ответственный за переписку.
Email: dismos51@gmail.com
Научно-исследовательская лаборатория «Синтез и обработка монокристаллов карбида кремния»
Россия, СаранскВ. А. Неверов
Федеральное государственное бюджетное образовательное учреждение высшего образования Национальный исследовательский Мордовский государственный университет имени Н. П. Огарёва
Email: dismos51@gmail.com
Научно-исследовательская лаборатория «Синтез и обработка монокристаллов карбида кремния»
Россия, СаранскБ. Ф. Мамин
Федеральное государственное бюджетное образовательное учреждение высшего образования Национальный исследовательский Мордовский государственный университет имени Н. П. Огарёва
Email: dismos51@gmail.com
Научно-исследовательская лаборатория «Синтез и обработка монокристаллов карбида кремния»
Россия, СаранскСписок литературы
- Лучинин В.В., Таиров Ю.М. // Изв. вузов. Электроника. 2011. № 6(92). С. 3.
- Афанасьев А.В., Ильин В.А., Лучинин В.В., Решанов С.А. // Изв. вузов. Электроника. 2020. Т. 25. № 6. С. 483.
- Авров Д.Д., Лебедев А.О., Таиров Ю.М. // Изв. вузов. Электроника. 2015. Т. 20. № 3. С. 225.
- Давыдов С.Ю., Лебедев А.А., Савкина Н.С., Волкова А.А. // ЖТФ. 2005. Т. 75. № 4. С. 114; Davydov S.Yu., Lebedev A.A., Savkina N.S., Volkova A.A. // Tech. Phys. 2005. V. 50. No. 4. P. 503.
- Schöler M., Schuh P., Steiner J., Wellmann P.J. // Mat. Sci. Forum. 2019. V. 963. P. 157.
- Давыдов С.Ю., Лебедев А.А., Савкина Н.С. и др. // ФТП. 2004. Т. 38. № 2. С. 153.
- Гаврилов Г.Е., Бузоверя М.Э., Карпов И.А. и др. // Изв. РАН. Сер. физ. 2022. Т. 86. № 8. С. 1155; Gavrilov G.E., Buzoverya M.E., Karpov I.A. et al. // Bull. Russ. Acad. Sci. Phys. 2022. V. 86. No. 8. P. 956.
- Lilov S.K. // Mater. Sci. Engin. B. 1993. V. 21. P. 65.
- Vasiliauskas R., Marinova M., Hens P. et al. // Cryst. Growth Des. 2012. V.12. P. 197.
- Быков Ю.О., Лебедев А.О., Щеглов М.П. // Неорг. матер. 2020. T. 56. № 9. C. 979.
Дополнительные файлы






