Сверхпроводящие свойства гетероструктуры Co1/Cu/Co2/Cu/Pb на пьезоэлектрической подложке PMN-PT
- Авторы: Камашев А.А.1, Валидов А.А.1, Большаков С.А.1, Гарифьянов Н.Н.1, Гарифуллин И.А.1
-
Учреждения:
- Федеральное государственное бюджетное учреждение науки «Федеральный исследовательский центр «Казанский научный центр Российской академии наук»
- Выпуск: Том 88, № 7 (2024)
- Страницы: 1111-1115
- Раздел: Спиновая физика, спиновая химия и спиновые технологии
- URL: https://ogarev-online.ru/0367-6765/article/view/279547
- DOI: https://doi.org/10.31857/S0367676524070172
- EDN: https://elibrary.ru/PAPBDN
- ID: 279547
Цитировать
Полный текст
Аннотация
Исследовано влияние пьезоэлектрической подложки PMN-PT ([Pb(Mg1/3Nb2/3) O3]0.7 — [PbTiO3]0.3) на сверхпроводящие свойства тонкопленочной гетероструктуры Co1/Cu/Co2/Cu/Pb. Зарегистрировано изменение температуры перехода в сверхпроводящее состояние (Tc) в электрическом и магнитном поле. Максимальная разница в Tc составила 15 мК при приложении электрического поля напряженностью 1 кВ/см. Во внешнем магнитном поле максимальная разница в Tc составила более 80 мК при изменении взаимного направления намагниченностей ферромагнитных слоев от коллинеарного к перпендикулярному.
Полный текст
Введение
Структуры сверхпроводящего спинового клапана (ССК) на основе различных ферромагнитных и сверхпроводящих материалов активно изучаются на протяжении 25 лет (см., например, [1—10]). Сверхпроводящий спиновый клапан — это тонкопленочная гетероструктура, построенная на базе двух ферромагнитных (Ф) слоев и одного сверхпроводящего (С) слоя. Интерес к этим системам связан с возможностью исследования в них взаимного влияния сверхпроводимости и ферромагнетизма на свойства друг друга. Структуры ССК могут быть использованы в качестве сверхпроводящего транзистора или ключа. Принцип работы ССК построен на эффекте близости сверхпроводник/ферромагнетик. В структурах ССК можно управлять температурой перехода в сверхпроводящее состояние (Тс) изменением взаимной ориентации намагниченностей Ф-слоев. Существует две теоретические модели ССК. Первая модель была предложена в 1997 году — конструкция Ф1/Ф2/С, где Ф1- и Ф2-ферромагнитные слои, разделенные немагнитным слоем, С-сверхпроводящий слой [1]. Согласно работе [1] при параллельной (П) ориентации намагниченностей Ф1- и Ф2-слоев температура перехода в сверхпроводящее состояние ТсП ниже, чем в случае их антипараллельной (АП) ориентации ТсАП. Это объясняется меньшим средним обменным полем Ф-слоев, действующим на куперовскую пару С-слоя при АП-ориентации, чем при П-ориентации. Вторая модель ССК была теоретически предсказана чуть позже, в 1999 году — конструкция Ф1/С/Ф2 [2, 3]. Принцип функционирования обеих моделей ССК одинаков.
Первыми экспериментально исследовались структуры конструкции Ф1/С/Ф2, в которых было подтверждено влияние взаимной ориентации намагниченностей Ф-слоев на Тс. Однако реализовать полный эффект сверхпроводящего спинового клапана для этих систем не удалось, поскольку величина эффекта ССК ΔТс = ТсАП — ТсП была меньше ширины сверхпроводящего перехода ∂Tс. Впервые реализовать полный эффект ССК удалось в 2010 году для структуры Ф1/Ф2/С, где в качестве Ф-слоев использовалось железо, а С-слоя — индий [10].
Особое внимание в структурах ССК уделяют возникновению дальнодействующих триплетных компонент (ДТК) сверхпроводящего конденсата. Во многих теоретических работах (см., например, [11—16]) предполагают, что при определенных условиях в С/Ф интерфейсах могут возникать ДТК сверхпроводящего конденсата. В структурах ССК генерация ДТК открывает дополнительный канал для утечки куперовских пар из С-слоя в Ф-слои при неколлинеарных ориентациях намагниченностей Ф-слоев. Это приводит к существенному подавлению Tс при ортогональных ориентациях намагниченностей Ф-слоев [17]. Изучению этого эффекта посвящено большое количество теоретических и экспериментальных работ (см., например, [17—33]).
К настоящему времени подробно изучены различные конструкции ССК с использованием разнообразных элементных металлов и сплавов. Результаты этих исследований указывают на то, что, возможно, достигнут предел в величине эффекта ССК при управлении магнитным полем [24, 26—27]. Это мотивирует к поиску структур ССК с новыми принципами управления сверхпроводящим током. Создание структур ССК на пьезоэлектрической подложке может быть перспективным в этом направлении. Это может позволить управлять ССК с помощью электрического поля. Для такой конструкции ССК можно предположить, что взаимное изменение направления намагниченностей Ф-слоев будет происходить под действием электрического поля на пьезоэлектрическую подложку за счет обратного магнитострикционного эффекта. Обратный магнитострикционный эффект в этой системе может возникать за счет деформаций пьезоэлектрической подложки при приложении электрического поля. Деформации пьезоэлектрической подложки создадут дополнительные напряжения в Ф-слое, нанесенном на эту подложку. Это приведет к дополнительной магнитной анизотропии, которая при определенном построении структуры может изменить направление вектора намагниченности Ф-слоя.
Таким образом, если зафиксировать намагниченность одного из Ф-слоев в структуре ССК, то можно будет изменять взаимное направление намагниченностей Ф-слоев электрическим полем, а значит, управлять ССК. Для этого нужно использовать Ф-слои с разными коэрцитивными силами или зафиксировать намагниченность одного из Ф-слоев при помощи антиферромагнитного (АФ) слоя.
С помощью магнитооптического эффекта Керра зарегистрировано изменение направления намагниченности Ф-слоя на сегнетоэлектрической подложке при приложении электрического поля напряженностью до 1 кВ/см (см. например, [34]).
В данной работе исследовались сверхпроводящие свойства структур ССК Сo1/Cu/Co2/Cu/Pb, приготовленных на пьезоэлектрической подложке PMN-PT ([Pb(Mg1/3Nb2/3) O3]0.7 — [PbTiO3]0.3), обладающей высокими пьезоэлектрическими коэффициентами. Максимальная разница в Tc составила 15 мК при приложении к подложке электрического поля напряженностью 1 кВ/см. Обнаружено аномальное поведение Tc во внешнем магнитном поле, которое проявлялось в максимальных значениях Tc при ортогональной ориентации намагниченности Ф-слоев. Разница в Tc между коллинеарной и ортогональной (TcПП) ориентациями намагниченностей Ф-слоев составила более 80 мК во внешнем магнитном поле H0 = 1 кЭ.
Образцы и методика измерений
Образцы были приготовлены методами электронно-лучевого испарения и магнетронного распыления в сверхвысоком вакууме на напылительном оборудовании фирмы BESTEC. Образцы напылялись на пьезоэлектрические подложки PMN-PT размерами 2×10×0.5 мм. Шероховатость подложек составляла не более 0.5 нм. Была приготовлена серия образцов PMN-PT/Co1(3 нм)/Cu(4 нм)/Co2(dCo2)/Cu(1.2 нм)/Pb(60 нм)/Si3N4 с варьируемой толщиной Сo2-слоя dCo2 в диапазоне от 1 до 3 нм. Структуры приготовленных образцов представлены на рис. 1. Здесь PMN-PT — пьезоэлектрическая подложка; Co1 и Co2 — ферромагнитные Ф1- и Ф2-слои; Cu(4 нм) — слой немагнитного металла, необходимый для разделения намагниченностей Ф-слоев; Cu(1.2 нм) — буферный слой, необходимый для гладкого роста Pb-слоя; Pb — сверхпроводящий слой; Si3N4 — защитный слой. Все материалы, использованные для приготовления образцов, имели чистоту 4N (содержание примесей 0.01 %). Слои Co1, Co2, Cu и Pb были приготовлены методом электронно-лучевого испарения. Защитный слой нитрида кремния (Si3N4) напылялся методом магнетронного распыления на переменном токе. Скорости напыления слоев составляли: 0.5 Å/с для слоев Co1, Co2 и Cu; 12 Å/с для Pb-слоя; 1.8 Å/с для защитного Si3N4-слоя. Образцы были приготовлены при пониженной температуре подложки (Tsub ~ 150 K). Такая температура подложки была необходима для получения гладкого Pb-слоя [35].
Рис. 1. Структуры приготовленных образцов со схемой измерения электросопротивления, где 1, 4 — токовые электроды; 2, 3 — потенциальные электроды; 5, 6 — емкостные пластины (обкладки конденсатора) для приложения электрического поля к пьезоэлектрической подложке.
В приготовленных структурах ССК толщины Ф1- и Ф2-слоев различны. Как известно, чем толще Ф-слой, тем легче управлять его намагниченностью. В наших образцах толщина Сo1-слоя больше толщины Co2-слоя. Следовательно, изменить направление намагниченности Co1-слоя легче, чем Co2-слоя.
Измерения Tc проводились путем записи сверхпроводящих переходов по изменению сопротивления при помощи стандартного 4-контактного метода на постоянном токе на установке, которая была создана на базе спектрометра ЭПР X-диапазона фирмы Bruker. Она содержит векторный электромагнит с малым (меньше 20 Э) остаточным магнитным полем, что позволяет контролировать с высокой точностью величину магнитного поля во время эксперимента. Использование электромагнита также значительно упрощает процедуру вращения образца в магнитном поле, приложенном в плоскости образца. Перед каждым измерением проводилась специальная процедура юстировки образца относительно оси вращения для того, чтобы минимизировать составляющую магнитного поля, перпендикулярную к плоскости образца. Погрешность позиционирования образца не превышала 3o относительно направления внешнего магнитного поля. Магнитное поле измерялось при помощи датчика Холла с точностью ± 0.3 Э. Образец помещался в низкотемпературную измерительную ячейку с возможностью приложения электрического поля перпендикулярно плоскости образца. Схема измерения электросопротивления образцов представлена на рис. 1. Значения Tc определялись как средняя точка на сверхпроводящем переходе.
Качество сверхпроводящего слоя оценивалось из соотношения остаточных сопротивлений RRR = R300К/R10К. Для всех образцов значение RRR находилось в диапазоне 12—15, что свидетельствует о высоком качестве приготовленного Pb-слоя.
Процедура измерения образцов была следующей. Сначала образцы охлаждались от комнатных до гелиевых температур во внешнем магнитном поле 8 кЭ, направленном вдоль плоскости образца (field cooling procedure). После чего внешнее магнитное поле уменьшалось до нуля и изучались сверхпроводящие свойства образцов под действием электрического и магнитного полей.
Экспериментальные результаты и их обсуждение
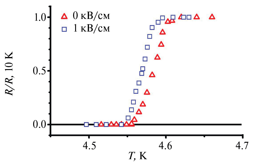
Наиболее интересные результаты были получены для образца PMN-PT/Co1(3нм)/Cu(4нм)/Co2(1нм)/Cu(1.2нм)/Pb(60нм)/Si3N4 [Образец 2]. Исследования сверхпроводящих свойств данного образца в электрическом поле представлены на рис. 2. Кривые сверхпроводящих переходов на рис. 2 измерены без приложения электрического поля и в электрическом поле напряженностью 1 кВ/см. Разница в Tc составила 15 мК. Существующая конструкция измерительной низкотемпературной ячейки не позволяет прикладывать к образцу большие значения напряженности электрического поля. Полное переключение между нормальным и сверхпроводящим состояниями при приложении электрического поля реализовать не удалость, так как сдвиг Tc оказался меньше ширин сверхпроводящих переходов.
Рис. 2. Кривые сверхпроводящих переходов для образца PMN-PT/Co1(3 нм)/Cu(4 нм)/Co2(1 нм)/Cu(1.2 нм)/Pb(60 нм)/ /Si3N4, измеренные без электрического поля и с приложением электрического поля напряженностью 1 кВ/см.
На рис. 3 представлены кривые сверхпроводящих переходов для Образца 2, измеренные при коллинеарной и ортогональной (ТсПП) ориентации намагниченностей Ф-слоев во внешнем магнитном поле H0 = 1 кЭ. На вставке на рис. 3 изображена зависимость Tc от угла α между намагниченностями Ф-слоев для Образца 2 во внешнем магнитном поле H0 = 1 кЭ. Подобную зависимость мы уже наблюдали для серии образцов PMN-PT/Fe1(3 нм)/Cu(4 нм)/ /Fe2(dFe2)/Cu(1.2 нм)/Pb(60 нм)/Si3N4, где в качестве материала для Ф-слоев использовалось железо [30]. Согласно рис. 3, разница в Tc между коллинеарной и ортогональной (ТсПП) ориентациями составила около 80 мК, что превышает ∂Tс. Это указывает на возможность реализации полного эффекта ССК для структур данного типа в магнитном поле при изменении взаимного направления намагниченностей Ф-слоев с коллинеарного на ортогональное. Необходимо отметить возникновение максимума Tc при ортогональной ориентации намагниченностей Ф-слоев. Такое положение максимума является аномальным, поскольку, согласно теории Фоминова и др., на угловой зависимости Tc(α) при ортогональной ориентации намагниченностей Ф-слоев должен наблюдаться минимум Tc, свидетельствующий о генерации ДТК сверхпроводящего конденсата [17]. Характерный минимум Tc при ортогональной ориентации намагниченностей Ф-слоев наблюдался во многих экспериментальных работах [18, 21, 22, 24—33]. Наличие максимума Tc при ортогональной ориентации намагниченностей Ф-слоев может быть связано с особенностями роста ССК на охлажденной пьезоэлектрической подложке. Деформации подложки при охлаждении могут приводить к появлению легкой оси намагничивания Co1-слоя. Полный эффект сверхпроводящего спинового клапана реализуется только в случае изменения взаимной ориентации намагниченностей Ф-слоев с коллинеарного на ортогональное.
Рис. 3. Кривые сверхпроводящих переходов для образца PMN-PT/Co1(3нм)/Cu(4нм)/Co2(1нм)/Cu(1.2нм)/Pb(60нм)/Si3N4, измеренные при коллинеарной и ортогональной (ТсПП) ориентации намагниченностей Ф-слоев во внешнем магнитном поле H0 = 1 кЭ. На вставке изображена зависимость Тс от угла α между намагниченностями Ф-слоев во внешнем магнитном поле H0 = 1 кЭ.
Заключение
Таким образом, были исследованы сверхпроводящие свойства тонкопленочной гетероструктуры Co1/Cu/Co2/Cu/Pb на пьезоэлектрической подложке во внешнем магнитном и электрическом полях. Обнаружен сдвиг Tc в электрическом поле. Максимальный сдвиг Tc составил 15 мК при приложении электрического поля напряженностью 1 кВ/см. Во внешнем магнитном поле H0 = 1 кЭ был обнаружен сдвиг Tc более чем на 80 мК и продемонстрирована возможность реализации полного эффекта ССК. Показано аномальное поведение угловой зависимости Tc, которое проявляется в максимальных значениях Tc при ортогональной ориентации намагниченностей Ф-слоев. Полученные результаты указывают на возможность реализации рабочей модели ССК на пьезоэлектрической подложке.
Исследования проведены за счет средств Российского научного фонда (проект № 21-72-10178) и темы государственного задания ФИЦ КазНЦ РАН. В рамках гранта РНФ № 21-72-10178 были приготовлены образцы, проведены исследования образцов при воздействии электрического поля на пьезоэлектрическую подложку, проведена интерпретация полученных результатов при воздействии электрического поля. В рамках темы государственного задания ФИЦ КазНЦ РАН были проведены исследования образцов под воздействием магнитного поля и проведена интерпретация полученных результатов при воздействии магнитного поля.
Об авторах
А. А. Камашев
Федеральное государственное бюджетное учреждение науки «Федеральный исследовательский центр «Казанский научный центр Российской академии наук»
Автор, ответственный за переписку.
Email: kаmаndi@mаil.ru
Казанский физико-технический институт им. Е.К. Завойского
Россия, КазаньА. А. Валидов
Федеральное государственное бюджетное учреждение науки «Федеральный исследовательский центр «Казанский научный центр Российской академии наук»
Email: kаmаndi@mаil.ru
Казанский физико-технический институт им. Е.К. Завойского
Россия, КазаньС. А. Большаков
Федеральное государственное бюджетное учреждение науки «Федеральный исследовательский центр «Казанский научный центр Российской академии наук»
Email: kаmаndi@mаil.ru
Казанский физико-технический институт им. Е.К. Завойского
Россия, КазаньН. Н. Гарифьянов
Федеральное государственное бюджетное учреждение науки «Федеральный исследовательский центр «Казанский научный центр Российской академии наук»
Email: kаmаndi@mаil.ru
Казанский физико-технический институт им. Е.К. Завойского
Россия, КазаньИ. А. Гарифуллин
Федеральное государственное бюджетное учреждение науки «Федеральный исследовательский центр «Казанский научный центр Российской академии наук»
Email: kаmаndi@mаil.ru
Казанский физико-технический институт им. Е.К. Завойского
Россия, КазаньСписок литературы
- Oh S., Youm D., Beasley M.R. et al. // Appl. Phys. Lett. 1997. V. 71. P. 2376.
- Tagirov L.R. // Phys. Rev. Lett. 1999. V. 83. Art. No. 2058.
- Buzdin A.I., Vedyayev A.V., Ryzhanova N.V. // Europhys. Lett. 1999. V. 48. P. 686.
- Gu J.Y., You C.Y., Jiang J.S. et al. // Phys. Rev. Lett. 2002. V. 89. Art. No. 267001.
- Moraru I.C., Pratt W.P., Birge N.O. // Phys. Rev. Lett. 2006. V. 96. Art. No. 037004.
- Potenza A., Marrows C.H. // Phys. Rev. B. 2005. V. 71. Art. No. 180503(R).
- Westerholt K., Sprungmann D., Zabel H. et al. // Phys. Rev. Lett. 2005. V. 95. Art. No. 097003.
- Steiner R., Ziemann P. // Phys. Rev. B. 2006. V. 74. Art. No. 094504.
- Pugach N.G., Kupriyanov M. Yu., Vedyayev A.V. et al. // Phys. Rev. B. 2009. V. 80. Art. No. 134516.
- Leksin P.V., Garif’yanov N.N., Garifullin I.A. et al. // Appl. Phys. Lett. 2010. V. 97. Art. No. 102505.
- Buzdin A.I. // Rev. Mod. Phys. 2005. V. 77. P. 935.
- Blamire M.G., Robinson J.W.A. // J. Phys. Cond. Matter. 2014. V. 26. Art. No. 453201.
- Linder J., Robinson J.W.A. // Nature Phys. 2015. V. 11. P. 307.
- Bergeret F.S., Volkov A.F., Efetov K.B. // Phys. Rev. Lett. 2001. V. 86. Art. No. 4096.
- Eschrig M. // Physics Today. 2011. V. 64. P. 43.
- Efetov K.B., Garifullin I.A., Volkov A.F., Westerholt K. Magnetic heterostructures advances and perspectives in spinstructures and spintransport. Springer, 2007.
- Фоминов Я.В., Голубов А.А., Карминская Т.Ю. и др. // Письма в ЖЭТФ. 2010. Т. 91. С. 329; Fominov Ya.V., Golubov A.A., Karminskaya T. Yu. et al. // JETP Lett. 2010. V. 91. P. 308.
- Leksin P.V., Garif’yanov N.N., Garifullin I.A. et al. // Phys. Rev. Lett. 2012. V. 109. Art. No. 057005.
- Wu C.-T., Valls O.T., Halterman K. // Phys. Rev. B. 2012. V. 86. Art. No. 014523.
- Banerjee N., Smiet C.B., Smits R. et al. // Nature Commun. 2014. V. 5. Art. No. 3048.
- Leksin P.V., Garif’yanov N.N., Kamashev A.A. et al. // Phys. Rev. B2015. V. 91. Art. No. 214508.
- Garifullin I.A., Leksin P.V., Garif’yanov N.N. et al. // J. Magn. Magn. Mater. 2015. V. 373. P. 18.
- Gu Y., Halász G.B., Robinson J.W.A. et al. // Phys. Rev. Lett. 2015. V. 115. Art. No. 067201.
- Singh A., Voltan S., Lahabi K. et al. // J. Phys. Rev. X. 2015. V. 5. Art. No. 021019.
- Leksin P.V., Garif’yanov N.N., Kamashev A.A. et al. // Phys. Rev. B. 2016. V. 93. Art. No. 100502(R).
- Kamashev A.A., Garif’yanov N.N., Validov A.A. et al. // Beilstein J. Nanotechnol. 2019. V. 10. P. 1458.
- Kamashev A.A., Garif’yanov N.N., Validov A.A. et al. // Phys. Rev. B2019. V. 100. Art. No. 134511.
- Камашев А.А., Валидов А.А., Гарифьянов Н.Н. и др. // Изв. РАН. Сер. физ. 2023. Т. 87. № 4. С. 518; Kamashev A.A., Validov A.A., Garif’yanov N.N. et al. // Bull. Russ. Acad. Sci. Phys. 2023. V. 87. No. 4. P. 448.
- Камашев А.А., Большаков С.А., Мамин Р.Ф. и др. // Изв. РАН. Сер. физ. 2023. Т. 87. № 9. С. 1268; Kamashev A.A., Bolshakov C.A., Garifullin I.A et al. // Bull. Russ. Acad. Sci. Phys. 2023. V. 87. No. 9. P. 1308.
- Камашев А.А., Гарифьянов Н.Н., Валидов А.А. и др. // Письма в ЖЭТФ 2019. Т. 110. № 5—6. С. 325 // Kamashev A.A., Garif’yanov N.N., Validov A.A. et al. // JETP Lett. 2019. V.110. No. 5. P. 342.
- Камашев А.А., Гарифьянов Н.Н., Валидов А.А. и др. // ЖЭТФ. 2020. Т. 158. № 2. С. 345. // Kamashev A.A., Garif’yanov N.N., Validov A.A. et al. // JETP. 2020. V. 131. No. 2. P. 311.
- Kamashev A.А., Garifullin I.A. // Письма в ЖЭТФ 2021. Т. 113. № 3—4. С. 210. // Kamashev A.А., Garifullin I.A. // JETP Lett. 2021. V.113. № 3. No. 3—4. P. 194.
- Валидов А.А., Насырова М.И., Хабибуллин Р.Р. и др. // Изв. РАН. Сер. физ. 2023. Т. 87. № 4. С. 523; Validov A.A., Nasyrova M.I., Khabibullin R.R. et al. // Bull. Russ. Acad. Sci. Phys. 2023. V. 87. No. 4. P. 452.
- Kamashev A.A., Leontyev A.V., Garifullin I.A. et al. // Ferroelectrics 2022. V. 592. P. 123.
- Leksin P.V., Kamashev A.A., Schumann J. et al. // Nano Res. 2016. V. 9. P. 1005.
- Kamashev A.A., Garif’yanov N.N., Validov A.A. // Magnetism. 2023. V. 3. P. 204.
Дополнительные файлы





