Ферромагнитный резонанс и спиновый эффект холла в бислое Fe3Al/Pt
- Авторы: Кадикова А.Х.1, Габбасов Б.Ф.1, Янилкин И.В.1, Гумаров А.И.1, Зверев Д.Г.1, Киямов А.Г.1, Тагиров Л.Р.1,2, Юсупов Р.В.1
-
Учреждения:
- Федеральное государственное автономное образовательное учреждение высшего образования “Казанский (Приволжский) федеральный университет”
- Федеральное государственное бюджетное учреждение науки «Федеральный исследовательский центр «Казанский научный центр Российской академии наук»
- Выпуск: Том 88, № 7 (2024)
- Страницы: 1083-1088
- Раздел: Спиновая физика, спиновая химия и спиновые технологии
- URL: https://ogarev-online.ru/0367-6765/article/view/279501
- DOI: https://doi.org/10.31857/S0367676524070135
- EDN: https://elibrary.ru/PAXHPB
- ID: 279501
Цитировать
Полный текст
Аннотация
Представлены результаты исследований магнитостатических и магниторезонансных свойств тонкопленочной двухслойной структуры Fe3Al/Pt, синтезированной методом молекулярно-лучевой эпитаксии. Данные магнитометрии и ферромагнитного резонанса свидетельствуют о магнитокристаллической анизотропии слоя Fe3Al четвертого порядка в плоскости. В условиях спиновой накачки измерена зависимость от магнитного поля ЭДС, возникающей вследствие обратного спинового эффекта Холла, и оценена количественная характеристика спин-зарядового преобразования в платине — спиновый угол Холла θSH = 0.030 ± 0.005.
Ключевые слова
Полный текст
Введение
Одним из наиболее востребованных спинтронных устройств является спиновый вентиль — устройство, в простейшем случае состоящее из двух ферромагнитных (ФМ) слоев и работающее на эффекте гигантского магнитосопротивления (ГМС) [1, 2]. Спиновые вентили лежат в основе ячеек магниторезистивной памяти (MRAM — Magnetic Random Access Memory), состояния 0 и 1, в которых различаются магнитными конфигурациями (параллельным и антипараллельным направлениями намагниченностей слоев) и, соответственно, значением электрического сопротивления. Важнейшим преимуществом MRAM является энергонезависимость, то есть информация сохраняется при потере питания вычислительной системой. Для переключения ячейки между состояниями условных 0 и 1 изменяют направление намагниченности «подвижного» ФМ-слоя, в то время как намагниченность второго закреплена тем или иным способом. Классическое обращение намагниченности с использованием магнитного поля — процесс энергозатратный и, главное, медленный, поэтому важным представляется поиск явлений, с помощью которых можно переключать намагниченность одного из ФМ-слоев, не прикладывая магнитное поле.
Таким активно исследуемым эффектом сегодня служит прямой спиновый эффект Холла — явление, наблюдающееся в металлах и полупроводниках и состоящее в генерации спинового тока при протекании в них зарядового тока ([3—5], см. также обзор [6] и ссылки в нем). Как следствие, в многослойных структурах типа ФМ/НМ, где НМ — тяжелый нормальный металл, импульс зарядового тока в НМ-слое приводит к инжекции спин-поляризованных носителей в ФМ-слой [7], что может привести к переключению намагниченности последнего.
Существует и обратный спиновый эффект Холла, который используется для детектирования спинового тока [6, 8, 9]. Количественной характеристикой спин-зарядовых преобразований в этих процессах является спиновый угол Холла , пропорциональный отношению зарядового и спинового токов (в реальности, в силу малости отношения токов, тангенс угла в первом приближении равен самому углу). Известно, что величина спинового угла Холла возрастает с увеличением спин-орбитального взаимодействия, а значит и с увеличением атомной массы. Наибольший спиновый угол Холла среди исследованных простых материалов наблюдается для Pt [10].
Один из способов создания спинового тока — так называемая спиновая накачка. Здесь величина генерируемого спинового тока зависит от параметра затухания Гильберта ферромагнитного слоя. Перспективным в этом плане сплавом является Fe3Al — мягкий и достаточно сильный ферромагнетик при комнатной температуре. Данный материал отличается высокой однородностью, так как является интерметаллидным соединением, и характеризуется малым затуханием [11]. Также стоит отметить, что Fe3Al является основой для сплавов Гейслера различных составов [12], которые могут служить спинтронными материалами, а также проявлять высокие термоэлектрические и магнитострикционные характеристики. Таким образом, предметом данной работы были синтез и исследования магнитных и магниторезонансных свойств бислоя Fe3Al/Pt на монокристаллической подложке MgO и идентификация проявления в ней спиновых эффектов Холла.
Синтез и кристаллическая структура
Образец синтезировался в камере молекулярно-лучевой эпитаксии (МЛЭ, SPESC, Berlin) методом соиспарения из высокотемпературных эффузионных ячеек. Двухслойная структура Fe3Al (30 нм)/Pt (15 нм) осаждалась на монокристалл MgO (001) при комнатной температуре подложки, вращавшейся со скоростью 6 градусов в секунду. Скорости осаждения железа и алюминия составляли соответственно RFe ≈ 76 Å/час и RAl ≈ 28 Å/час, для платины скорость составила RPt ≈ 5.5 Å/час. Во избежание окисления поверхности после извлечения из вакуумной камеры, образец был закрыт слоем алюминия толщиной 3 нм. Эпитаксиальный характер слоя Fe3Al установлен наблюдением четкой картины дифракции медленных электронов (ДМЭ). Слой Pt по данным ДМЭ эпитаксиальным не является. Была приготовлена также и пилотная одиночная пленка Fe3Al на подложке MgO (001) при тех же условиях осаждения.
Исследование кристаллической структуры и определение типа эпитаксии проводились с помощью дифракции рентгеновских лучей. На дифрактограмме при сканировании по углу θ в геометрии Брэгга—Брентано (см. рисунок 1) на 2θ = 65.0 наблюдается пик, характерный для нескольких фаз (A2, D03), возможных согласно фазовой диаграмме бинарной системы Fe-Al [13, 14] для состава Fe3Al. Однако отсутствие пиков, соответствующих сверхрешетке D03, указывает на то, что пленка Fe3Al кристаллизовалась в атомарно неупорядоченной A2-фазе [13].
Рис. 1. Рентгеновская дифрактограмма тонкой пленки Fe3Al на подложке MgO (001) при сканировании по углу θ.
Магнитостатические свойства
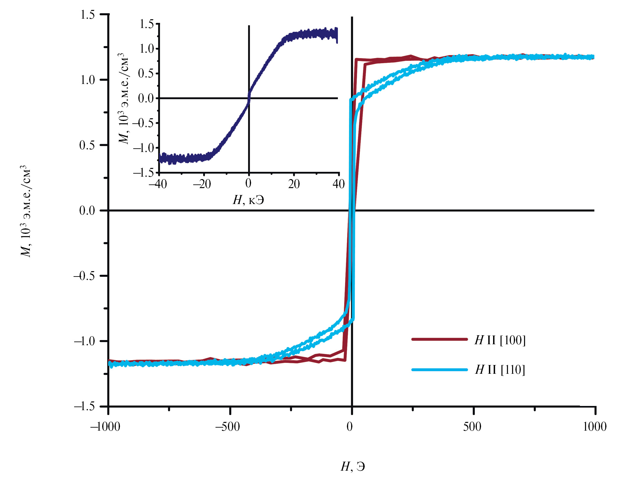
Исследование статических магнитных свойств пленки Fe3Al и двухслойной структуры Fe3Al/Pt проводилось методом вибрационной магнитометрии (ВМ, Quantum Design PPMS-9). Были получены кривые перемагничивания в плоскости образцов и в направлении нормали к плоскости (рис. 2). Обе системы обладают анизотропией типа «легкая плоскость». Кристаллографические направления <100>Fe3Al соответствуют осям легкого намагничивания и <110>Fe3Al — осям трудного намагничивания в плоскости пленок. Также установлено, что и пленка Fe3Al, и бислой Fe3Al/Pt являются магнитомягкими, с коэрцитивной силой ~ 9 Э и ~ 8 Э соответственно.
Рис. 2. Кривые перемагничивания с магнитным полем, лежащим в плоскости образцов: голубая линия — при H || [110]Fe3Al, бордовая линия — при H || [100]Fe3Al; на вставке представлена кривая намагничения в магнитном поле, приложенном вдоль нормали к пленке, H || [001]Fe3Al.
Ферромагнитный резонанс
Магниторезонансные свойства синтезированных образцов изучались при комнатной температуре. На рисунке 3а представлены спектры ферромагнитного резонанса (ФМР) одиночной пленки Fe3Al и двухслойной структуры Fe3Al с платиной при направлении приложенного постоянного магнитного поля вдоль легкой оси в плоскости пленки. Спектры были аппроксимированы функцией, отвечающей форме линии Дайсона, характерной для проводящих образцов, откуда были определены резонансные поля и ширины линий. Результаты аппроксимации показаны на рис. 3а. Резонансное поле для одиночной пленки Fe3Al равно Hres(Fe3Al) = 274.9 ± 0.2 Э, для бислоя Fe3Al/Pt — Hres(Fe3Al/Pt) = 292.2 ± 0.2 Э. Значения ширины линии ФМР составили 29.6 ± 0.2 Э для пленки Fe3Al и 36.6 ± 0.2 Э для бислоя с платиной. Наблюдается уширение резонансной линии двухслойной структуры Fe3Al/Pt по сравнению с одиночной пленкой Fe3Al на ~ 23 %. Такое наблюдение, на наш взгляд, указывает на возрастание джоулевых потерь в системе, связанных с генерацией зарядовых токов в платиновой компоненте в условиях спиновой накачки вследствие обратного спинового эффекта Холла, а также наличие стока намагниченности из слоя Fe3Al в слой Pt.
Рис. 3. Спектры ФМР одиночной пленки Fe3Al (кружки) и Fe3Al/Pt (треугольники) и результаты их аппроксимации (красные линии) (а); ориентационные зависимости спектров ФМР тонкой пленки Fe3Al и двухслойной структуры Fe3Al/Pt при вращении магнитного поля в плоскости пленок (б).
Ориентационные зависимости резонансного поля согласуются с результатами ВМ и указывают на магнитокристаллическую анизотропию 4-го порядка в плоскости. На рисунке 3б представлены ориентационные зависимости в формате интенсивностной картины. На каждой из панелей представлено по 40 спектров, измеренных с шагом 5 градусов.
Обратный спиновый эффект Холла
Спиновая накачка является одним из способов генерации спинового тока в нормальном металле: прецессия намагниченности в ФМ-слое двухслойной структуры перетекает в прилежащий к нему слой нормального металла [15]. Спин-орбитальное взаимодействие приводит к спин-зависимому рассеянию, которое может связывать зарядовые и спиновые токи в проводящих материалах (спиновые эффекты Холла).
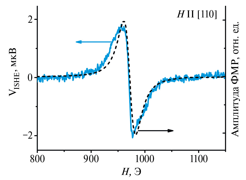
На рисунке 4 представлен сигнал эдс, генерируемой в условиях спиновой накачки в двухслойной структуре Fe3Al/Pt, в сопоставлении со спектром ФМР в той же ориентации образца. Напряжение, детектируемое на концах образца, имеющего форму полоски шириной 0.9 мм и длиной 5 мм, в ФМР-эксперименте можно записать как [16]
(1)
где λPt — длина спиновой диффузии в Pt, w — ширина образца, — толщина слоя Pt (Fe3Al), — проводимость слоя Pt (Fe3Al). Выражение для плотности спинового тока , генерируемого в процессе спиновой накачки, следующее:
(2)
где — реальная часть спин-миксинг-проводимости, h — амплитуда радиочастотного электромагнитного поля в ЭПР-спектрометре, γ — гиромагнитное отношение в ферромагнетике, α — параметр затухания Гильберта, Ms — намагниченность насыщения. Согласно [17], реальную часть спин-миксинг-проводимости можно найти как
(3)
Используя выражения (1), (2) и (3), можно оценить спиновый угол Холла платины. Значения проводимостей и были измерены методом Ван дер Пау и составили 6.76∙105 (Ом∙м)–1 и 6.0∙105 (Ом∙м)–1 соответственно. Параметр затухания Гильберта определялся как , где W — ширина линии ФМР на полувысоте. В расчетах использовалось значение длины спиновой диффузии 10 нм. Полученное значение спинового угла Холла составило 0.030 ± 0.005.
Рис. 4. Спин-холловская ЭДС, возникающая в условиях спиновой накачки из-за проявления обратного спинового эффекта Холла в двухслойной структуре Fe3Al/Pt (сплошная линия). Прерывистой линией показан спектр ФМР, записанный в той же ориентации образца.
Заключение
В синтезированной двухслойной структуре Fe3Al/Pt была обнаружена магнитокристаллическая анизотропия ФМ-слоя Fe3Al четвертого порядка в плоскости. Определены направления легких и трудных осей намагничивания. Обратный спиновый эффект Холла в бислое Fe3Al/Pt проявился в уширении резонансной линии, а также в сигнале эдс в условиях спиновой накачки. На базе полученных экспериментальных данных оценен спиновый угол Холла в платине. Полученное значение 0.030 ± 0.005 хорошо согласуется с приведенной в работе [10] зависимостью угла Холла от длины спиновой диффузии.
Работа была поддержана программой стратегического академического лидерства Казанского федерального университета («Приоритет-2030»). Работа Гумарова А. И. выполнена за счет субсидии, выделенной Казанскому федеральному университету в рамках темы государственного задания на научные исследования № FZSM-2023-0012.
Об авторах
А. Х. Кадикова
Федеральное государственное автономное образовательное учреждение высшего образования “Казанский (Приволжский) федеральный университет”
Автор, ответственный за переписку.
Email: anelyakadikova11@gmail.com
Институт физики
Россия, КазаньБ. Ф. Габбасов
Федеральное государственное автономное образовательное учреждение высшего образования “Казанский (Приволжский) федеральный университет”
Email: anelyakadikova11@gmail.com
Институт физики
Россия, КазаньИ. В. Янилкин
Федеральное государственное автономное образовательное учреждение высшего образования “Казанский (Приволжский) федеральный университет”
Email: anelyakadikova11@gmail.com
Институт физики
Россия, КазаньА. И. Гумаров
Федеральное государственное автономное образовательное учреждение высшего образования “Казанский (Приволжский) федеральный университет”
Email: anelyakadikova11@gmail.com
Институт физики
Россия, КазаньД. Г. Зверев
Федеральное государственное автономное образовательное учреждение высшего образования “Казанский (Приволжский) федеральный университет”
Email: anelyakadikova11@gmail.com
Институт физики
Россия, КазаньА. Г. Киямов
Федеральное государственное автономное образовательное учреждение высшего образования “Казанский (Приволжский) федеральный университет”
Email: anelyakadikova11@gmail.com
Институт физики
Россия, КазаньЛ. Р. Тагиров
Федеральное государственное автономное образовательное учреждение высшего образования “Казанский (Приволжский) федеральный университет”; Федеральное государственное бюджетное учреждение науки «Федеральный исследовательский центр «Казанский научный центр Российской академии наук»
Email: anelyakadikova11@gmail.com
Институт физики, Казанский физико-технический институт имени Е.К. Завойского
Россия, Казань; КазаньР. В. Юсупов
Федеральное государственное автономное образовательное учреждение высшего образования “Казанский (Приволжский) федеральный университет”
Email: anelyakadikova11@gmail.com
Институт физики
Россия, КазаньСписок литературы
- Ферт А. // УФН. 2008. Т. 178. № 12. С. 1336; Fert A. // Phys. Usp. 2008. V. 51. P. 1336.
- Грюнберг П.А. // УФН. 2008. Т. 178. № 12. С. 1349; Gruenberg P.A. // Phys. Usp. 2008. V. 51. P. 1349.
- Kato Y.K., Myers R.C., Gossard A.C. et al. // Science. 2004. V. 306. No. 5703. P. 1910.
- Wunderlich J., Kaestner B., Sinova J. et al. // Phys. Rev. Lett. 2005. V. 94. No. 4. Art. No. 047204.
- Valenzuela S.O., Tinkham M. // Nature. 2006. V. 442. No. 7099. P. 176.
- Sinova J., Valenzuela S.O., Wunderlich J. et al. // Rev. Mod. Phys. 2015. V. 87. No. 4. P. 1213.
- Трушин А.С., Кичин Г.А., Звездин К.А. // Изв. РАН. Сер. физ. 2023. Т. 87. № 1. С. 105; Trushin A.S., Kichin G.A., Zvezdin K.A. // Bull. Russ. Acad. Sci. Phys. 2023. V. 87. No. 1. P. 88.
- Saitoh E., Ueda M., Miyajima H. et al. // Appl. Phys. Lett. 2006. V. 88. No. 18. Art. No. 182509.
- Sandweg C.W., Kajiwara Y., Ando K. et al. // App. Phys. Lett. 2010. V. 97. No. 25. Art. No. 252504.
- Wang Y., Deorani P., Qiu X. et al. // App. Phys. Lett. 2014. V. 105. No. 15. Art. No. 152412.
- Wei Y., Zhang W., Lv B. et al. // Sci. Advances. 2021. V. 7. No. 4. Art. No. eabc5053.
- Костенко М.Г., Лукоянов А.В., Шредер Е.И. // Письма в ЖЭТФ. 2018. Т. 107. № 1—2. С. 128; Kostenko M.G., Lukoyanov A.V., Shreder E.I. // JETP Lett. 2018. V. 107. No. 2. P. 126.
- Ikeda O., Ohnuma I., Kainuma R. et al. // Intermetallics. 2001. V. 9. No. 9. P. 755.
- Матюнина М.В., Соколовский В.В., Загребин М.А. и др. // Изв. РАН. Сер. физ. 2019. Т. 83. № 7. С. 927; Matyunina M.V., Sokolovskiy V.V., Zagrebin M.A. et al. // Bull. Russ. Acad. Sci. Phys. 2019. V. 83. No. 7. P. 844.
- Tserkovnyak Y., Brataas A., Bauer G.E.W. // Phys. Rev. Lett. 2002. V. 88. No. 11. Art. No. 117601.
- Ando K., Takahashi S., Ieda J. et al. // J. Appl. Phys. 2011. V. 109. No. 10. Art. No. 103913.
- Dubowik J., Graczyk P., Krysztofik A. et al. // Phys. Rev. Appl. 2020. V. 13. No. 5. Art. No. 054011.
Дополнительные файлы






