Пространственная селективность четырехволнового преобразователя излучения с учетом поворота слоя полидисперсной наносуспензии
- Авторы: Савельев М.В.1, Алеферкина К.Е.1
-
Учреждения:
- Самарский национальный исследовательский университет имени академика С.П. Королева
- Выпуск: Том 88, № 6 (2024)
- Страницы: 917-924
- Раздел: Квантовая оптика и когерентная спектроскопия
- URL: https://ogarev-online.ru/0367-6765/article/view/276175
- DOI: https://doi.org/10.31857/S0367676524060114
- EDN: https://elibrary.ru/PHEVVJ
- ID: 276175
Цитировать
Полный текст
Аннотация
Проанализировано влияние наклона слоя полидисперсной наносуспензии на пространственную структуру объектной волны. Из-за наклона слоя в модуле ее пространственного спектра в области провала возникает тонкая структура. Получены зависимости полуширины провала от среднеквадратичного отклонения в распределении частиц по размерам и угла наклона. Определены оптимальные углы, при которых полуширина провала принимает наименьшее значение.
Полный текст
ВВЕДЕНИЕ
Начиная с 70-х годов прошлого столетия, активное развитие получили методы и системы нелинейной адаптивной оптики. В качестве ключевых элементов таких систем могут выступать четырехволновые преобразователи излучения (ЧПИ), позволяющие обращать фронт падающей на них (сигнальной) волны.
Одними из первых ярких областей использования ЧПИ являлись фокусировка лазерного излучения на мишень, передача информации через турбулентную атмосферу, задачи лазерного термоядерного синтеза [1—3]. К настоящему времени спектр применений, в которых ЧПИ играют немаловажную роль, существенно расширился. К ним можно отнести сверхбыструю обработку изображений, создание источников одиночных фотонов для квантовых компьютеров, микроскопию живых клеток и наноструктур, квантовую криптографию и т. д. [4—15].
Во всех перечисленных случаях необходимо знать не только энергетические характеристики ЧПИ, такие как коэффициент отражения, т. е. отношение интенсивностей объектной и сигнально волн, но и степень совпадения их пространственно-временных структур. Информацию о пространственной селективности ЧПИ можно получить, например, с использованием метода функции размытия точки или ее фурье-образа [16].
Очевидно, что вид функции размытия точки и соответствующего ей пространственного спектра объектной волны (ПСОВ) неодинаков для различных схем ЧПИ и типов используемых в них нелинейных сред. В частности, в суспензиях, в которых нелинейность показателя преломления вызвана записью температурной и концентрационной решеток, в модуле ПСОВ возникает провал вблизи пространственной частоты считывающей волны накачки [17—19]. Это наблюдается в случае классической схемы ЧПИ со встречными волнам накачки, распространяющимися в горизонтальной плоскости. Однако при распространении волн накачки в вертикальной плоскости на низких пространственных частотах модуля ПСОВ возникает максимум, величина которого существенно зависит от массы наночастиц суспензии [20].
Дополнительный вклад в объектную волну дает также учет распределения частиц по размерам. В работе [21] с ростом среднеквадратичного отклонения в их нормальном распределении по размерам демонстрируется увеличение полуширины провала в модуле ПСОВ. При этом расчеты представлены для средних радиусов наночастиц от 100 до 200 нм. Однако для частиц, радиус которых превышает 10 нм, характерно логарифмически-нормальное распределение, т. к. в процессе их формирования преобладает коагуляционный механизм [22]. В зависимости от технологических особенностей роста возможны и другие типы распределений (однородное, асимметричное, гамма-распределение, бимодальное и др.) [23—28].
В настоящей работе проводится сравнительный анализ влияния нормального и логарифмически-нормального распределений частиц по размерам на пространственную структуру объектной волны с учетом поворота слоя суспензии и схемы ЧПИ по отношению к полю тяжести Земли.
ПРОСТРАНСТВЕННЫЙ СПЕКТР ОБЪЕКТНОЙ ВОЛНЫ В СЛУЧАЕ МОНОДИСПЕРСНОЙ НАНОСУСПЕНЗИИ
Рассмотрим вырожденный ЧПИ со встречными волнами накачки A1 и A2 (рис. 1). Амплитуды сигнальной и объектной волн равны соответственно A3 и A4. Волновые векторы всех волн , где j ∈ [1; 4]. Распространение волн в плоском слое наносуспензии, заключенном между плоскостями z = 0 и z = ℓ, возможно как ортогонально [19, 29—31], так и коллинеарно (при повороте схемы на рис. 1 вокруг оси Y на 90°) [20, 32, 33] полю тяжести, действующему на наночастицы и характеризующимся направлением ускорения свободного падения .
Рис. 1. Схема ЧПИ со встречными волнами накачки
Чтобы получить и проанализировать вид модуля ПСОВ, воспользуемся моделью ЧПИ в наносуспензии, достаточно подробно изложенной в работах [17—21]. Ниже приведем ее основные положения.
Справедливо приближение заданного поля по волнам накачки (|A1,2| >> |A3,4|), коэффициент преобразования ЧПИ мал (|A4| << |A3|), волны накачки некогерентны между собой [18, 19, 34]. Тем самым в среде учитывается интерференция только волн A1 и A3.
Неоднородность интенсивности распространяющегося излучения вследствие электрострикционного механизма нелинейности, процессов диффузии и седиментации под действием гравитационного поля Земли приводит к записи в среде концентрационной решетки. Поскольку концентрация частиц наносуспензии зависит от координат, то в результате поглощения излучения, теплопроводности и эффекта Дюфура происходит также запись температурной решетки. Нелинейность показателя преломления вызвана наличием как температурной, так и концентрационной решеток. Однако при малых начальных концентрациях наночастиц [35—39], длительностях импульсов свыше 1 мкс [40—43] последним вкладом можно пренебречь.
Волны накачки считаются плоскими, а пространственные распределения амплитуд сигнальной и объектной волн подвергаются преобразованию Фурье. Пространственные изменения концентрации наночастиц и температуры суспензии представляются в виде сумм медленно и быстро осциллирующих по поперечным координатам x и y компонент. Быстро осциллирующие компоненты раскладываются по гармоническим решеткам.
В приближении медленно меняющихся амплитуд с учетом заданных амплитуд волн накачки и сигнальной волны выводится интегральная связь ПСОВ с пространственным спектром температурной решетки. Аналитическое выражение для решетки получается вследствие решения системы стационарных материальных уравнений теплопроводности и диффузии, которые дополняются такими граничными условиями, как неизменность температуры на гранях слоя среды и нулевой поток частиц через них.
Полный поток частиц складывается из диффузионного, электрострикционного и седиментационного. Следует отметить, что учет электрострикционного потока позволяет устранить проблему, возникающую в случае поглощающей суспензии, когда на низких пространственных частотах в бесконечность стремятся модули концентрационной решетки и, как следствие, ПСОВ при дифракции на этой решетке считывающей волны накачки A2 [44].
При квазиколлинеарном распространении четырех волн в монодисперсной наносуспензии получено аналитическое выражение, описывающее ПСОВ в плоскости z = 0
(1)
где ,
,
,
,
,
A10 и — амплитуды записывающей волны накачки и пространственного спектра сигнальной волны в плоскости z = 0; A20 — амплитуда считывающей волны накачки в плоскости z = ℓ; φ — фазовый набег, обусловленный распространением в среде волн накачки; ; — волновой вектор температурной решетки при условии равенства нулю поперечной составляющей волновой расстройки; χjx, y и kjz — поперечные (по X, Y) и продольные (по Z) компоненты волновых векторов , ( j ∈ [1; 4]); ; gx, gy и gz — проекции вектора на координатные оси; nl, α и (dn/dT) — показатель преломления, коэффициент поглощения и термооптический коэффициент жидкости; D11 и D22 — коэффициенты теплопроводности и диффузии; γ и D12 — коэффициенты, характеризующие явление электрострикции и эффект Дюфура; m — эффективная масса наночастиц в жидкости; kB — постоянная Больцмана; T0 — температура среды без воздействия излучения.
Выражение (1) является довольно универсальным. Оно обобщает ПСОВ на случаи ЧПИ в наносуспензиях при распространении плоских волн накачки ортогонально [18, 19] и коллинеарно [20, 21] вектору , а также учитывает возможное отклонение волн накачки от оси Z [17], поглощение жидкости и поток наночастиц, вызванный их электрострикцией под воздействием мощного лазерного излучения, который проявляется в виде функции .
Пусть теперь наночастицы в суспензии имеют сферическую форму. Тогда зависимость ПСОВ от величины m заменяется зависимостью от радиуса частиц a. При этом их эффективную массу, коэффициенты диффузии, электрострикции и Дюфура можно записать с использованием выражений [19, 21, 45—49]
(2)
где ρp и ρl — плотности частиц и жидкости, C0 и np — начальная концентрация и показатель преломления частиц, ST и η — коэффициент Соре и вязкость жидкости, c — скорость света в вакууме.
УЧЕТ РАСПРЕДЕЛЕНИЯ ЧАСТИЦ НАНОСУСПЕНЗИИ ПО РАЗМЕРАМ
В реальных ситуациях размер микро- и наночастиц не фиксирован. Поэтому рассмотрим ЧПИ в полидисперсной наносуспензии с учетом функции распределения частиц по размерам f(a). Тогда ПСОВ в плоскости z = 0 представим в виде когерентной «суммы» ПСОВ, определяемых выражением (1) [21, 50]
, (3)
где a1 и a2 — наименьший и наибольший радиусы частиц, присутствующих в наносуспензии [21, 23, 50].
В работах [21, 50] при численном анализе выражения (3) в качестве функции распределения рассматривалось нормальное распределение
, (4)
где a0 — средний радиус частиц, σ — среднеквадратичное отклонение. Пределы интегрирования составляли a1 = 1 нм и a2 = 300 нм.
Однако, как упоминалось выше, функция распределения (4) характерна для наночастиц с радиусом до 10 нм [22]. В противном случае в процессе их формирования преобладает коагуляционный механизм и увеличивается вероятность логарифмически-нормального распределения [51, 52]
, (5)
где w — масштабный параметр, определяющий ширину функции f2(a) и связанный со среднеквадратичным отклонением в функции f1(a) формулой
. (6)
С учетом (1) и (2) при подстановке функций распределения (4) и (5) в (3) получаем выражения, описывающие ПСОВ в плоскости z = 0 в полидисперсных суспензиях для двух типов распределений частиц по размерам (нормального и логарифмически-нормального).
РЕЗУЛЬТАТЫ ЧИСЛЕННОГО АНАЛИЗА
Пусть для простоты волны накачки распространяются вдоль оси Z . В качестве сигнальной волны выберем точечный источник, расположенный в плоскости z = 0 . Считалось, что электрострикционный вклад в ПСОВ существенно превосходит тепловой (т. е. первое слагаемое в пренебрежимо мало). Тогда согласно [17—21] на высоких пространственных частотах наблюдается стремление модуля ПСОВ к постоянному значению Amax. В рассмотренных выше случаях монодисперсной и полидисперсных наносуспензий это значение составляет
(7)
где , δ(x) — дельта-функция Дирака, — функция Лапласа [53].
Анализ ПСОВ проводился для ЧПИ на длине волны 532 нм в водной суспензии (nl = 1.3345, α = 0.0446 м−1 [54], ρl = 998.23 кг∙м−3) полистирола (ρp = 1100 кг∙м−3) толщиной ℓ = 1 мм при начальной температуре T0 = 293.15 К. Выражение (3), как и в работах [21, 50], интегрировалось в пределах от a1 = 1 нм до a2 = 300 нм.
Введем угол θ между гранями плоского слоя наносуспензии и направлением вектора . Поворот слоя и схемы ЧПИ будем осуществлять с сохранением ориентации оси Y (рис. 1). Таким образом, при произвольной величине угла θ ускорение свободного падения имеет компоненты и . Анализ модуля ПСОВ будет проводиться при условии распространения сигнальной и объектной волн в плоскости XZ (χ3,4y = 0).
На рис. 2 для случая монодисперсной наносуспензии представлены модули ПСОВ вблизи провала, который наблюдается на нулевой пространственной частоте [17—19], при различных углах наклона наносуспензии и схемы ЧПИ. Видно, что отклонение угла θ от нуля приводит к появлению вблизи провала тонкой структуры: наряду с нулевым значением модуля ПСОВ на нулевой частоте возникают два симметрично расположенных минимума и, как следствие, два побочных максимума равной величины, которую обозначим как Aside, на пространственных частотах χside. Вплоть до величины θ = 60° (рис. 3, кривая 1) увеличение θ сопровождается смещением побочных максимумов в область больших (по модулю) пространственных частот, после чего они с большей скоростью движутся обратно и при θ = 90° сливаются в один максимум (рис. 2, кривая 6), который также наблюдался в работах [20, 21]. При этом при θ = 90° минимальные значения модуля ПСОВ равны нулю.
Рис. 2. Вид модуля ПСОВ вблизи провала в случае монодисперсной наносуспензии при a0 = 100 нм, θ = 0° (1), 40° (2), 60° (3), 80° (4), 88° (5), 90° (6)
В случае монодисперсной наносуспензии с радиусом частиц равным 100 нм во всем диапазоне роста угла θ от 0 до 90° величина Aside монотонно увеличивается (рис. 3, кривая 2). Однако заметные значения, когда, например Aside составляет не менее 1% от постоянного значения Amax, достигаются при углах θ более 40°. Даже при θ = 90° величина Aside составляет чуть менее 9% от Amax. Это связано с тем, что для рассматриваемой среды радиус наночастиц соответствует введенному в [20] диапазону малых эффективных масс частиц, согласно которому Aside < Amax / 2. Равенство же Aside = Amax / 2 достигается, если радиус частиц равен 135.3 нм.
Рис. 3. Зависимости положения побочного максимума (1) и его величины (2) в случае монодисперсной наносуспензии от угла θ при a0 = 100 нм
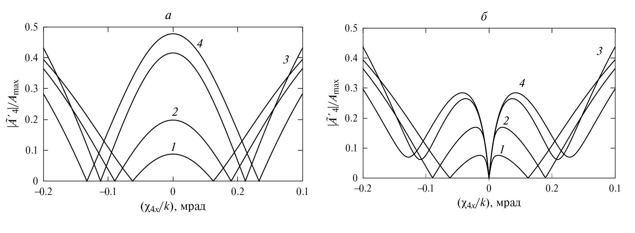
При учете распределения наночастиц суспензии по размерам вид модуля ПСОВ претерпевает изменения. В частности, на рис. 4а в случае коллинеарности направлений распространения волн накачки ускорению свободного падения (θ = 90°) наблюдается увеличение значения Aside на нулевой пространственной частоте. Анализ показывает, что также увеличивается и значение Amax, при этом Amax в случае нормального распределения превосходит Amax в случае логарифмически-нормального распределения. Для приведенного среднеквадратичного отклонения σ, составляющего 40 % от среднего радиуса наночастиц, равенство Aside=Amax / 2 в случае нормального распределения по размерам достигается при a0 = 127.2 нм, а в случае логарифмически-нормального распределения — при a0 = 117.8 нм. Таким образом, переход от монодисперсной наносуспензии к полидисперсной в случае функции распределения f1(a) и далее к случаю функции распределения f2(a) приводит к сужению диапазона малых эффективных масс наночастиц.
Рис. 4. Модули ПСОВ при θ = 90° (а), 85° (б), a0 = 100 (1), 115 нм (2, 3, 4), σ/a0 → 0 (1, 2), 0.4 (3, 4) с учетом нормального (3) и логарифмически-нормального (4) распределения наночастиц по размерам
При отклонении направления распространения волн накачки от вектора даже на небольшой угол (рис. 4б) в случае полидисперсной наносуспензии минимальные значения модуля ПСОВ на пространственных частотах χ4x ≠ 0 отличны от минимальных значений в случае монодисперсной среды. Физически это связано с тем, что когерентно складываются ПСОВ , зависящие от среднего радиуса частиц. Увеличение a0 приводит к смещению минимальных значений модуля ПСОВ на частотах χ4x ≠ 0 в сторону больших по модулю частот (рис. 4, кривые 1 и 2) [20, 21], что вызывает отличие минимальных значений модулей ПСОВ и . Несовпадение же минимумов на кривых 3 и 4 рис. 4 связано с различием функций распределения частиц по размерам.
Введем полуширину провала, которая характеризует пространственную селективность ЧПИ в диапазоне малых эффективных масс наночастиц и определяется из решения уравнения [20, 21]
. (8)
На рис. 5 для средних радиусов наночастиц a0 = 100 и 115 нм приведены распределения полуширины провала Δχ в зависимости от угла θ и среднеквадратичного отклонения σ для двух функций распределения частиц по размерам. При фиксированном угле θ и среднем радиусе a0 = 100 нм с ростом σ полуширина провала монотонно увеличивается. При увеличении радиуса a0 до 115 нм такой характер зависимости сохраняется уже в ограниченном диапазоне среднеквадратичных отклонений, в частности, для нормального распределения до σ равного 33 % от a0, а для логарифмически нормального — до σ, равного 45.5 % от a0. Увеличение среднего радиуса частиц, переход от нормального распределения к логарифмически-нормальному также приводят к увеличению полуширины провала Δχ.
Рис. 5. Зависимости полуширины провала от угла θ и среднеквадратичного отклонения при a0 = 100 (а, б), 115 нм (в, г) с учетом нормального (а, в) и логарифмически-нормального (б, г) распределения наночастиц по размерам. Пунктиром показаны положения наименьших значений полуширины провала, соответствующих оптимальным углам θopt
В диапазоне малых σ в зависимости Δχ от угла θ наблюдается убывание. Однако при больших значениях σ в этой зависимости возникает минимум. Таким образом, существует оптимальный угол наклона граней плоского слоя наносуспензии и схемы ЧПИ (θopt), при котором полуширина провала достигает наименьшего значения.
На рис. 5 наблюдается сохранение значений оптимального угла θopt равных 90° вплоть до некоторых величин среднеквадратичного отклонения, после чего с ростом σ этот угол уменьшается. На рис. 5г также можно увидеть стремление зависимости θopt от σ к постоянному значению, которое составляет около 57°. Значения σ, начиная с которых происходит убывание θopt при a0 = 100 нм и нормальном распределении наночастиц по размерам составляет 29 % от среднего радиуса, а при логарифмически-нормальном распределении — 21 %. При a0 = 115 нм аналогичные значения составляют при нормальном распределении 19.5%, а при логарифмически-нормальном 16%.
Приведем оценки уменьшения полуширины провала при повороте плоского слоя наносуспензии и схемы ЧПИ от значения θ = 90° до θopt. При среднеквадратичном отклонении σ, составляющем 40% от среднего радиуса частиц, согласно пунктирным линиям рис. 5а-г оптимальные значения углов равны соответственно 64.1°, 58.2°, 58.6° и 57.0°. Относительное уменьшение Δχ при таких углах по сравнению со значениями Δχ при θ = 90° составляет 0.48, 2.73, 2.38 и 5.61% соответственно.
Отметим, что при повороте граней плоского слоя наносуспензии проявляются и другие особенности. В частности, в работах [55—57] показано ускорение процесса седиментации при углах θ отличных от нуля.
ЗАКЛЮЧЕНИЕ
Для ЧПИ в схеме со встречными плоскими волнами накачки в наносуспензии получено аналитическое выражение, описывающее ПСОВ в плоскости z = 0 с учетом поглощения жидкости и потока наночастиц, вызванного их электрострикцией под воздействием мощного лазерного излучения. Из него можно получить частные случаи ПСОВ: ЧПИ в схеме с волнами накачки, распространяющимися ортогонально [18, 19], коллинеарно [20, 21] ускорению свободного падения, под малыми углами к оси Z [17].
Проведен численный анализ модуля ПСОВ для ЧПИ на длине волны 532 нм в водной суспензии сферических частиц полистирола толщиной 1 мм. Показано, что поворот плоского слоя монодисперсной наносуспензии и схемы ЧПИ на некоторый угол θ вокруг горизонтальной оси приводит к появлению вблизи провала тонкой структуры: наряду с нулевым значением модуля ПСОВ на нулевой частоте возникают два побочных минимума и, как следствие, два побочных максимума Aside. Переход от монодисперсной наносуспензии к полидисперсной в результате отклонения θ даже на небольшую величину от 90° сопровождается изменением минимальных значений модуля ПСОВ и сужением диапазона малых эффективных масс наночастиц, который обсуждался ранее в работах [20, 21].
Приведены иллюстрации зависимостей полуширины провала Δχ от среднего радиуса наночастиц a0, среднеквадратичного отклонения σ в их распределении по размерам и угла θ. При фиксированном θ в диапазоне малых σ с ростом как a0, так и σ происходит увеличение Δχ. Для нормального и логарифмически-нормального распределений, а также двух значений a0 выявлены диапазоны σ, в которых Δχ убывает с ростом угла θ.
Для высоких значений σ показано существование оптимального угла θopt < 90°, при котором полуширина провала минимальна. Таким образом, зная параметры (средний радиус, среднеквадратичное отклонение) и тип распределения наночастиц по размерам (нормальное, логарифмически-нормальное и т. д.), возможно эффективное управление пространственной селективностью ЧПИ путем поворота его схемы вокруг горизонтальной оси. В частности, показано, что эффективность преобразования ЧПИ низких пространственных частот существенно зависит от среднего радиуса наночастиц и угла наклона слоя и схемы ЧПИ относительно гравитационного поля Земли.
Для средних радиусов наночастиц a0 = 100 и 115 нм при учете нормального и логарифмически-нормального распределений их по размерам оценены значения среднеквадратичного отклонения, начиная с которых происходит убывание оптимального угла θopt (значения получены в интервале от 16 до 29% от a0).
В заключение отметим, что подобрать оптимальный угол наклона θ значительно проще, чем в процессе воздействия излучения на суспензию контролируемо поменять параметры и тип распределения по размерам находящихся в ней наночастиц.
Об авторах
М. В. Савельев
Самарский национальный исследовательский университет имени академика С.П. Королева
Автор, ответственный за переписку.
Email: belchonokenot@mail.ru
Россия, Самара
К. Е. Алеферкина
Самарский национальный исследовательский университет имени академика С.П. Королева
Email: belchonokenot@mail.ru
Россия, Самара
Список литературы
- Зельдович Б.Я., Пилипецкий Н.Ф., Шкунов В.В. Обращение волнового фронта. М.: Наука, 1985.
- Дмитриев В.Г. Нелинейная оптика и обращение волнового фронта. М.: Физматлит, 2003.
- Лукин В.П. // УФН. 2014. Т. 184. № 6. С. 599; Lukin V.P. // Phys. Usp. 2014. V. 57. No. 6. P. 556.
- Шмелев А.Г., Леонтьев А.В., Жарков Д.К. и др. // Изв. РАН. Сер. физ. 2017. Т. 81. № 5. С. 601; Shmelev A.G., Leontyev A.V., Zharkov D.K. et al. // Bull. Russ. Acad. Sci. Phys. 2017. V. 81. No. 5. P. 557.
- Kosionis S.G., Paspalakis E. // Carbon Trends. 2023. V. 10. Art. No. 100249.
- Андрианов С.Н., Калачев А.А., Шиндяев О.П., Шкаликов А.В. // Изв. РАН. Сер. физ. 2020. Т. 84. № 3. С. 392; Andrianov S.N., Kalachev A.A., Shindyaev O.P., Shkalikov A.V. // Bull. Russ. Acad. Sci. Phys. 2020. V. 82. No. 3. P. 299.
- Paesani S., Borghi M., Signorini S. et al. // Nature Commun. 2020. V. 11. Art. No. 2505.
- Sharapova P.R., Kruk S.S., Solntsev A.S. // Laser Photon. Rev. 2023. V. 17. Art. No. 2200408.
- Pope I., Tanner H., Masia F. et al. // Light Sci. Appl. 2023. V. 12. Art. No. 80.
- Geng Y., Cong L., Cao X. et al. // Laser Optoelectron. Prog. 2022. V. 59. No. 6. Art. No. 0617024.
- Geng Y., Cong L., Tian Y. et al. // Sens. Actuators B. Chem. 2019. V. 301. Art. No. 127074.
- Chen L., He C. // Light Sci. Appl. 2023. V. 12. Art. No. 111.
- Каримуллин К.Р., Аржанов А.И., Наумов А.В. // Изв. РАН. Сер. физ. 2017. Т. 81. № 12. С. 1581; Karimullin K.R., Arzhanov A.I., Naumov A.V. // Bull. Russ. Acad. Sci. Phys. 2017. V. 81. No. 12. P. 1396.
- Xiang Y., Liu Y., Cai Y. et al. // Phys. Rev. A. 2020. V. 101. Art. No. 053834.
- Linares J., Prieto-Blanco X., Balado D. et al. // Phys. Rev. A. 2021. V. 103. Art. No. 043710.
- Ивахник В.В. Обращение волнового фронта при четырехволновом взаимодействии. Самара: Самарский университет, 2010.
- Ивахник В.В., Савельев М.В. // Компьютерная оптика. 2018. Т. 42. № 2. С. 227.
- Ремзов А.Д., Савельев М.В. // Изв. РАН. Сер. физ. 2021. Т. 85. № 12. С. 1770; Remzov A.D., Savelyev M.V. // Bull. Russ. Acad. Sci. Phys. 2021. V. 85. No. 12. P. 1415.
- Савельев М.В., Ремзов А.Д. // Компьютерная оптика. 2022. Т. 46. № 4. С. 547.
- Савельев М.В., Ивахник В.В. // Изв. вузов. Радиофиз. 2020. Т. 63. № 8. С. 694; Savelyev M.V., Ivakhnik V.V. // Radiophys. Quantum Electron. 2021. V. 63. No. 8. P. 625.
- Ивахник В.В., Савельев М.В. // ФВПиРТС. 2023. Т. 26. № 1. С. 9.
- Рыжонков Д.И., Лёвина В.В., Дзидзигури Э.Л. Наноматериалы. М.: Бином. Лаборатория знаний, 2012.
- Иванов В.И., Пячин С.А. // Физ.-хим. аспекты изуч. класт., наноструктур и наноматериалов. 2021. № 13. С. 146.
- Кудряшова О.Б., Антонникова А.А., Коровина Н.В. // Изв. вузов. Физика 2015. Т. 58. № 2. С. 118; Kudryashova O.B., Antonnikova A.A., Korovina N.V. // Russ. Phys. J. 2015. V. 58. No. 2. P. 271.
- Шефер О.В., Войцеховская О.К. // Изв. вузов. Физика 2021. Т. 64. № 12. С. 105; Shefer O.V., Voitsekhovskaya O.K. // Russ. Phys. J. 2022. V. 64. No. 12. P. 2292.
- Nichols W.T., Malyavanatham G., Henneke D.E. et al. // J. Nanopart. Res. 2002. V. 4. P. 423.
- Al-Khafaji M.A., Gaal A., Wacha A. et al. // Materials. 2020. V. 13. Art. No. 3101.
- Али-заде Р.А. // Неорган. материалы. 2008. Т. 44. № 10. С. 1233; Ali-zade R.A. // Inorg. Mater. 2008. V. 44. No. 10. P. 1105.
- Bian S., Zhang W., Kim S.I. et al. // J. Appl. Phys. 2002. V. 92. No. 8. P. 4186.
- Kiefer J., Ewart P. // Prog. Energy Combust. Sci. 2011. V. 37. P. 525.
- Bencivenga F., Cucini R., Capotondi F. et al. // Nature. 2015. V. 520. P. 205.
- Renger J., Quidant R., van Hulst N., Novothy L. // Phys. Rev. Lett. 2010. V. 104. Art. No. 046803.
- Palomba S., Zhang S., Park Y. et al. // Nature Mater. 2012. V. 11. P. 34.
- Hoffman H.J. // IEEE J. Quantum Electron. 1986. V. 22. No. 4. P. 552.
- Smith P.W., Ashkin A., Tomlinson W.J. // Opt. Lett. 1981. V. 6. No. 6. P. 284.
- Rogovin D., Sari S.O. // Phys. Rev. A. 1985. V. 31. No. 4. P. 2375.
- Афанасьев А.А., Гайда Л.С., Курочкин Ю.А. и др. // Квант. электрон. 2016. Т. 46. № 10. С. 891; Afanas’ev A.A., Gaida L.S., Kurochkin Yu.A. et al. // Quantum Electron. 2016. V. 46. No. 10. P. 891.
- Gerakis A., Yeh Y.-W., Shneider M.N. et al. // Phys. Rev. Appl. 2018. V. 9. Art. No. 014031.
- Giannakopoulou N., Williams J.B., Moody P.R. et al. // Nanoscale. 2020. V. 12. P. 4622.
- Cheung Y.M., Gayen S.K. // J. Opt. Soc. Amer. B. 1994. V. 11. No. 4. P. 636.
- Kovsh D.I., Hagan D.J., van Stryland E.W. // Opt. Express. 1999. V. 4. No. 8. P. 315.
- Torres-Torres C., Lopez-Suarez A., Tamayo-Rivera L. et al. // Opt. Express. 2008. V. 16. No. 22. P. 18390.
- Arandian A., Karimzadeh R., Faizabadi S.Y. // Nano. 2015. V. 10. No. 4. Art. No. 1550053.
- Ивахник В.В., Савельев М.В. // ФВПиРТС. 2013. Т. 16. № 1. С. 6.
- Воюцкий С.С. Курс коллоидной химии. М.: Химия, 1977.
- Tabiryan N.V., Luo W. // Phys. Rev. E. 1998. V. 57. No. 4. P. 4431.
- Behera S.K., Saha D., Gadige P., Bandyopadhyay R. // Phys. Rev. Mater. 2017. V. 1. Art. No. 055603.
- Ivanov V.I., Ivanova G.D. // Proc. SPIE. 2018. V. 10833. Art. No. 108331S.
- Livashvili A.I., Krishtop V.V., Vinogradova P.V. et al. // Nanomaterials. 2021. V. 11. Art. No. 1291.
- Альдебенева К.Н., Ивахник В.В., Савельев М.В. // ФВПиРТС. 2019. Т. 22. № 1. С. 4.
- Pauw B.R., Kastner C., Thunemann A.F. // J. Appl. Crystallogr. 2017. V. 50. P. 1280.
- Gomide G., Gomes R.C., Viana M.G. et al. // J. Phys. Chem. C. 2022. V. 126. P. 1581.
- Трофимова Е.А., Кисляк Н.В., Гилёв Д.В. Теория вероятностей и математическая статистика: учебное пособие. Екатеринбург: Издательство Уральского университета, 2018.
- Pope R.M., Fry E.S. // Appl. Optics. 1997. V. 36. No. 3. P. 8710.
- Nevskii Yu.A., Osiptsov A.N. // Fluid Dynamics. 2011. V. 46. No. 2. P. 225.
- Невский Ю.А. // Вестн. ННГУ им. Н. И. Лобачевского. 2011. № 4(3). С. 1012.
- Черепанов И.Н., Смородин Б.Л. // Вестн. Пермского университета. Физика. 2018. № 1(39). С. 81.
Дополнительные файлы







