Спектры и угловые распределения атмосферных нейтрино и мюонов от распада очарованных частиц
- Авторы: Сороковиков М.Н.1, Морозова А.Д.1,2, Синеговская Т.С.3, Синеговский С.И.1,2
-
Учреждения:
- Объединенный институт ядерных исследований
- Иркутский государственный университет
- Иркутский государственный университет путей сообщения
- Выпуск: Том 88, № 3 (2024)
- Страницы: 507-511
- Раздел: Физика космических лучей
- URL: https://ogarev-online.ru/0367-6765/article/view/267689
- DOI: https://doi.org/10.31857/S0367676524030247
- EDN: https://elibrary.ru/QKLVTS
- ID: 267689
Цитировать
Полный текст
Аннотация
Выполнен новый расчет атмосферных лептонов — мюонных нейтрино и мюонов от распадов очарованных частиц (D±, D0, D0, Λс) — для той же модели адронного каскада, которая использовалась в расчетах характеристик атмосферных лептонов от распадов π- и K-мезонов. Построены спектральные зенитно-угловые распределения (D, Λс)-лептонов и (π, K)-лептонов. Найдены интервалы кросс-энергии, в которых (D, Λс)-лептоны дают вклад, сопоставимый с потоками (π, K)-мюонов и нейтрино. Показана возможность обнаружения (D, Λс)-нейтрино на эксперименте при энергиях много ниже кросс-энергии.
Полный текст
ВВЕДЕНИЕ
Нейтрино высоких энергий от распадов мезонов и барионов, рождающихся в адронных взаимодействиях космических лучей (КЛ) с атмосферой Земли, образуют неустранимый фон в задаче детектирования нейтрино от удаленных астрофизических источников. Атмосферные мюоны являются важным объектом исследования hA-взаимодействий при высоких энергиях и инструментом изучения характеристик КЛ. Расчет энергетического спектра и зенитно-углового распределения атмосферных мюонов и нейтрино как фона актуален для обработки данных нейтринных телескопов Baikal-GVD [1, 2], IceCube [3], ANTARES [4] и KM3NeT [5].
Потоки атмосферных нейтрино и мюонов включают две компоненты, различающиеся спектром и зенитно-угловым распределением. Анизотропная составляющая (от распадов π- и K-мезонов) характеризуется более мягким спектром — это (π, K)-нейтрино и мюоны (conventional). Квазиизотропный поток лептонов формируется при высоких энергиях (≥ 100 ТэВ) в результате рождения и распада очарованных адронов (D±, D0, D0, Λс), он имеет более жесткий спектр — это (D, Λс)-лептоны (prompt). Несмотря на многолетние усилия эта компонента все еще не обнаружена экспериментально.
На эксперименте (D, Λс)-лептоны пытаются обнаружить по спектральной характеристике, ориентируясь на возможную область значений кросс-энергии вблизи тех, что предсказываются в расчетах. В настоящей работе показана перспективная возможность поиска (D, Λс)-компоненты, основанная на анализе зенитно-углового усиления атмосферных лептонов.
Использована следующая схема исследования: 1) расчет сечений рождения очарованных частиц в hA-соударениях в рамках обновленной версии модели кварк-глюонных струн [6, 7], параметры которой были изменены [8] с учетом данных экспериментов при высоких энергиях; 2) расчет дифференциальных спектров атмосферных лептонов для отдельных зенитных углов; 3) расчет зенитно-углового усиления как функции энергии для (π, Κ)-компоненты (спектральное зенитно-угловое распределение); 4) расчет основных характеристик атмосферных (D, Λс)-лептонов, в том числе вычисление кросс-энергии, вблизи которой поток (D, Λс)-нейтрино становится сравнимым по величине с потоком (π, K)-нейтрино (кросс-энергия).
СПЕКТРЫ АТМОСФЕРНЫХ ЛЕПТОНОВ OТ (π, K)-РАСПАДОВ
В работе используется расчет потоков атмосферных мюонов и мюонных нейтрино от (π, K)-распадов [9—17], выполненный на основе оригинального метода решения уравнений атмосферного адронного каскада при высоких энергиях (метод Z(E, h)-функций) [9—12] для модели hA-взаимодействий QGSJET-II-03 [18—20] и модели Кимеля—Мохова (КМ) [21, 22] с использованием параметризации спектра космических лучей H3a [23].
Предсказания потока (π, K)-нейтрино для КМ и QGSJET-II-03 оказались [16, 17] близкими и хорошо согласующимися с экспериментальными данными, в том числе и с недавними измерениями ANTARES [4] и IceCube [24, 25].
ХАРАКТЕРИСТИКИ СПЕКТРА АТМОСФЕРНЫХ (D, Λс)-ЛЕПТОНОВ
Лептоны от распадов очарованных частиц рассчитаны в рамках того же метода Z(E, h)-функций, что и (π, Κ)-компонента. Все представленные в работе результаты получены для спектра КЛ Хилласа—Гайссера H3a.
Расчет сечений рождения очарованных частиц был выполнен в рамках модели кварк-глюонных струн (МКГС или QGSM) [6, 7]. МКГС — непертурбативный подход, описывающий мягкие адронные процессы. Для расчета сечений рождения чарма существенную роль играет интерсепт сс-траектории Редже αψ (0) . Экспериментальные данные о рождении очарованных частиц последних лет указывают на предпочтительность линейной сс-траектории Редже с αψ (0) = –2.2, которая учитывает эффекты за рамками теории возмущений (ТВ). Нелинейную траекторию Редже и интерсепт αψ (0) = 0 получают из расчетов в рамках ТВ КХД, однако надежность расчетов в первых порядках ТВ для сравнительно небольших передач энергии невысока. Неопределенность интерсепта влияет на потоки (D, Λс)-нейтрино: расчет с αψ (0) = –2.2 в 2 раза меньше потока для αψ (0) = 0 (ширина полосы на рис. 1а).
Рис. 1. Дифференциальные спектры атмосферных лептонов вблизи вертикали: широкая полоса (а) — спектр мюонных (D, Λс)-нейтрино в модели QGSM + H3a; линии вдоль полосы — результаты расчетов co спектром H3a других моделей рождения очарованных частиц; две кривые, пересекающие широкую полосу, — спектры (π, Κ)-нейтрино для моделей КМ и QGSJET II-03; узкие полосы — (D, Λс)-нейтрино (б) и мюоны (в), пересекающие линии (π, Κ)-лептонов. Спектры (π, Κ)-лептонов рассчитаны для двух моделей адрон-ядерных взаимодействий — КМ + H3a (сплошная линия) и QGSJET II-03 + H3a (штриховая линия)
Параметр МКГС а1 обеспечивает различие между лидирующей и нелидирующей фрагментацией (усиливает фрагментацию валентных кварков). Нет ясных аргументов для выбора значения и этого параметра, и разные авторы используют различные значения, среди которых выделяются два крайних: a1 = 30 [6] и a1 = 2 [26]. Неопределенность, вносимая в потоки (D, Λс)-лептонов параметром а1, составляет ~10—20% (узкая полоса на рис. 1б и 1в).
Дифференциальный спектр (D, Λс)-нейтрино для модели QGSM показан на рис. 1а (широкая полоса) вместе со спектрами (π, K)-нейтрино. Здесь же представлены спектры, рассчитанные другими авторами в рамках иных моделей рождения чарма: SIBYLL 2.3c [27], BEJKRSS [28], GRRST [29], PROSA [30, 31]. На рис. 1б и 1в показано сравнение вертикальных спектров (D, Λс)-лептонов в QGSM (узкая полоса) со спектрами (π,Κ)-лептонов. Кросс-энергия является полезной, но не единственной меткой, позволяющей на эксперименте обнаружить превышение сигнала над ожидаемым от атмосферных (π, K)-нейтрино. Кросс-энергия нейтрино с учетом полосы неопределенности: 550—675 ТэВ (QGSJET II-03) и 0.95—1.15 ПэВ (КМ). Для мюонов — 2.5—3.5 ПэВ (QGSJET II-03) и 6—8 ПэВ (КМ).
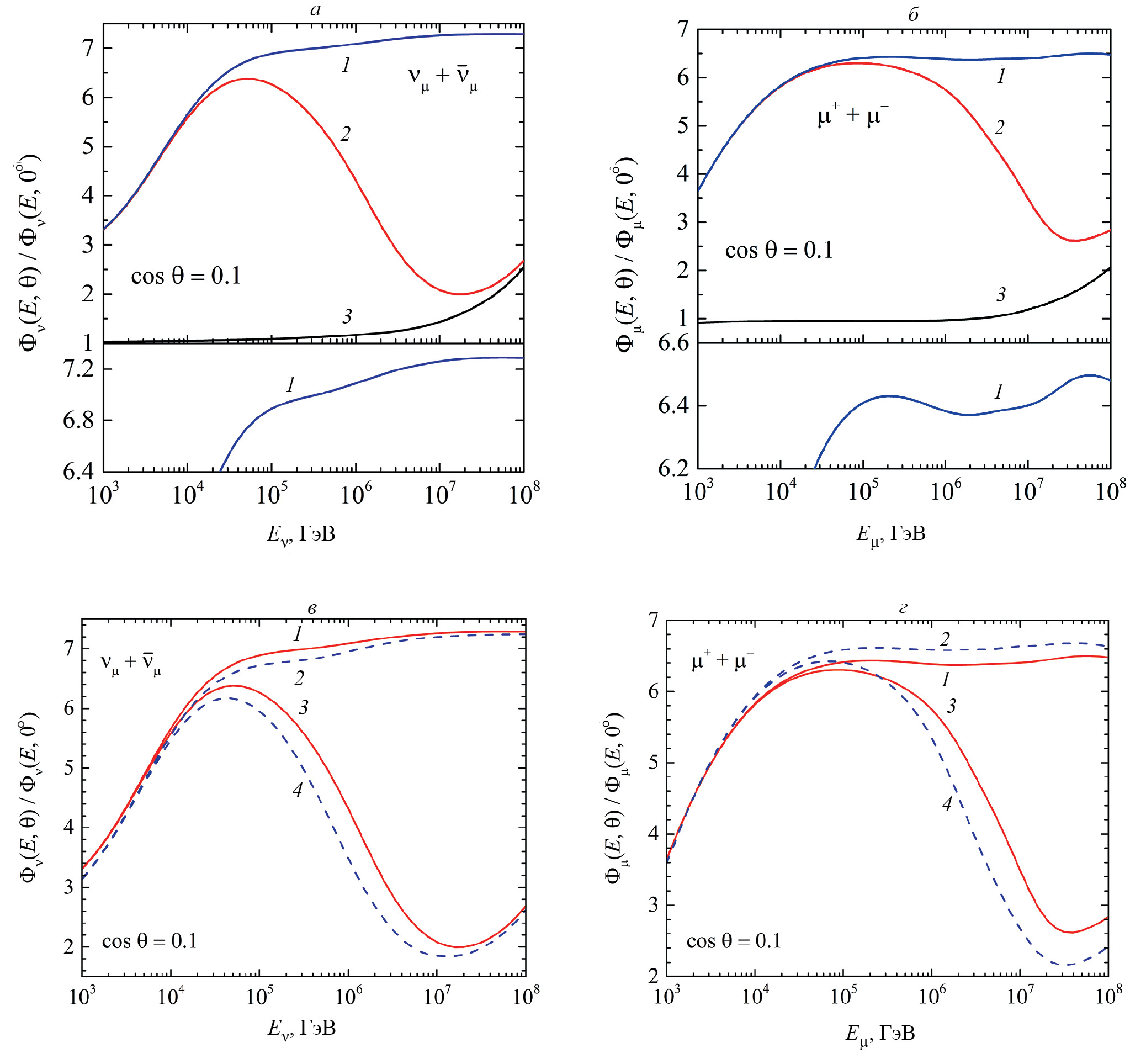
На рис. 2 представлено отношение дифференциальных спектров лептонов для двух крайних значений зенитного угла — вблизи горизонтали и вертикали. Это спектральное зенитно-угловое усиление (анизотропия потока атмосферных лептонов), которое можно вычислить для любого угла. Отдельно показаны усиления (D, Λс)-лептонов и (π, Κ)-компоненты, а также их суммарного спектра (КМ + QGSM, QGSJET II-03 + QGSM). Анизотропия потоков (D, Λс)-лептонов вычислена для параметров αΨ(0) = –2.2 и a1 = 2.
Рис. 2. Спектральное зенитно-угловое усиление дифференциальных потоков атмосферных нейтрино (а) и мюонов (б), рассчитанное для зенитного угла θ ≈ 84.26°: 1 — (π, K)-лептоны (КМ); 2 — суммарный спектр КМ + QGSM; 3 — (D, Λс)-лептоны (QGSM); панели внизу (а, б) — (π, K)-лептоны с лучшим разрешением, на которых видна немонотонность анизотропии, отражающая последовательное “включение” и насыщение доминирующих источников — от вкладов двухчастичных распадов заряженных пионов и каонов, к трехчастичным полулептонным распадам заряженных и нейтральных каонов. Это приводит к широкому распределению с “горбами”; 2-й горб (мюоны) как раз отвечает редкому Гi/Г ≃ 4 × 10–4) полулептонному распаду короткоживущего нейтрального каона KS (время жизни 0.9 × 10–10 с). Влияние модели адронного каскада на спектральное зенитно-угловое усиление потоков атмосферных нейтрино (в) и мюонов (г): 1 — (π, K)-лептоны для модели КМ; 2 — (π, K)-лептоны для модели QGSJET II-03; 3 — суммарный спектр КМ + QGSM; 4 — то же, что и 3, но для модели QGSJET II-03 + QGSM
Влияние модели адронного каскада на анизотропию потоков атмосферных лептонов показано на рис. 2в и 2г. Различие усиления (π, Κ)-нейтрино (и мюонов) для моделей КМ и QGSJET II-03 не превышает 5%, тогда как (π, Κ)-потоки для этих моделей отличаются до ~ 50% (см. рис. 1б и 1в).
ЗАКЛЮЧЕНИЕ
Таким образом, выполнен новый расчет и новый анализ (D, Λс)-компоненты атмосферных лептонов. Найдены интервалы энергий, в которых (D, Λс)-нейтрино и мюоны дают вклад в потоки, сопоставимый с вкладом (π, K)-нейтрино и мюонов.
Новый анализ позволил увидеть интересное поведение анизотропии потока нейтрино с ростом энергии. В области энергий, на порядок меньших кросс-энергии дифференциальных спектров, кривая анизотропии потока нейтрино заметно деформируется вкладом дополнительного источника —нейтрино от распадов очарованных адронов. При отсутствии явных экспериментальных доказательств существования (D, Λс)-компоненты появление максимума анизотропии атмосферных нейтрино в измерениях будет фактом, свидетельствующим об экспериментальном обнаружении атмосферных (D, Λс)-нейтрино. Резко изменяющаяся с ростом энергии анизотропия на фоне ожидавшегося для (π, Κ)-компоненты — фактор, который при достаточной точности экспериментальных измерений спектра и углового распределения атмосферных нейтрино может быть использован для обработки данных нейтринных экспериментов.
Работа выполнена на УНУ “Астрофизический комплекс МГУ—ИГУ”, поддержана Минобрнауки России (соглашение EB-075-15-2021-675, гос. задание FZZE-2022-0001, FZZE-2020-0017, FZZE-2020-0024).
Об авторах
М. Н. Сороковиков
Объединенный институт ядерных исследований
Автор, ответственный за переписку.
Email: sorokovikov@jinr.ru
Россия, Дубна
А. Д. Морозова
Объединенный институт ядерных исследований; Иркутский государственный университет
Email: sorokovikov@jinr.ru
Россия, Дубна; Иркутск
Т. С. Синеговская
Иркутский государственный университет путей сообщения
Email: sorokovikov@jinr.ru
Россия, Иркутск
С. И. Синеговский
Объединенный институт ядерных исследований; Иркутский государственный университет
Email: sorokovikov@jinr.ru
Россия, Дубна; Иркутск
Список литературы
- Аврорин А.В., Аврорин А.Д., Айнутдинов В.М. и др. (Коллаборация Baikal-GVD) // ЖЭТФ. 2022. Т. 161. № 4. С. 476; Avrorin A.V., Avrorin A.D., Aynutdinov V.M. et al. (Baikal-GVD Collaboration) // JETP. 2022. V. 134. No. 4. P. 399.
- Аврорин А.В., Аврорин А.Д., Айнутдинов В.М. и др. (Коллаборация Baikal-GVD) // Изв. РАН. Сер. физ. 2019. Т. 83. № 8. С. 1016; Avrorin A.D., Avrorin A.V., Aynutdinov V.M. et al. (Baikal-GVD Collaboration) // Bull. Russ. Acad. Sci. Phys. 2019. V. 83. No. 8. P. 921.
- Abbasi R., Ackermann M., Adams J. et al. (IceCube Collaboration) // Astrophys. J. 2022. V. 928. No. 1. Art. No. 50.
- Albert A., Alves S., Andre M. et al. (ANTARES Collaboration) // Phys. Lett. B. 2021. V. 816. Art. No. 136228.
- Ageron M., Aiello S., Ameli F. et al. (KM3NeT Collaboration) // Eur. Phys. J. C. 2020. V. 80. No. 2. Art. No. 99.
- Кайдалов А.Б., Пискунова О.И. // Ядерн. физика. 1986. Т. 43. С. 1545.
- Кайдалов А.Б. // Ядерн. физика. 2023. Т. 66. № 11. С. 2044; Kaidalov A.B. // Phys. Atom. Nucl. 2003. V. 66. No. 11. P. 1994.
- Sinegovsky S.I., Sorokovikov M. N. // Eur. Phys. J. C. 2020. V. 80. Art. No. 34.
- Kochanov A.A., Sinegovskaya T.S., Sinegovsky S.I. // Astropart. Phys. 2008. V. 30. P. 219.
- Sinegovskaya T.S., Morozova A.D., Sinegovsky S.I. // Phys. Rev. D. 2015. V. 91. Art. No. 063011.
- Sinegovsky S.I., Kochanov A.A., Sinegovskaya T.S. et al. // Int. J. Mod. Phys. A. 2010. V. 25. P. 3733.
- Кочанов А.А., Синеговская Т.С., Синеговский С.И. // ЖЭТФ. 2013. Т. 143. С. 459; Kochanov A.A., Sinegovskaya T.S., Sinegovsky S.I. // JETP. 2013. V. 116. P. 395.
- Морозова А.Д., Кочанов А.А., Синеговская Т.С. и др. // Изв. РАН. Сер. физ. 2017. Т. 81. № 4. С. 555; Morozova A.D, Kochanov A.A., Sinegovskaya T.S. et al. // Bull. Russ. Acad. Sci. Phys. 2017. V. 81. No. 4. P. 516.
- Кочанов А.А., Морозова А.Д., Синеговская Т.С. и др. // Изв. РАН. Сер. физ. 2019. Т. 83. № 8. С. 1030; Kochanov A.A., Morozova A.D., Sinegovskaya T.S. et al. // Bull. Russ. Acad. Sci. Phys. 2019. V. 83. No. 8. P. 933.
- Kochanov A.A., Morozova A.D., Sinegovskaya T.S. et al. // J. Phys. Conf. Ser. 2019. V. 1181. Art. No. 012054.
- Кочанов А.А., Морозова А.Д., Синеговская Т.С. и др. // Изв. РАН. Cер. физ. 2021. Т. 85. № 4. С. 570; Kochanov A.A., Morozova A.D., Sinegovskaya T.S. et al. // Bull. Russ. Acad. Sci. Phys. 2021. V. 85. No. 4. P. 433.
- Kochanov A.A., Morozova A.D., Sinegovskaya T.S. et al. // arXiv: 2109.13000. 2021.
- Калмыков Н.Н., Остапченко С.С., Павлов А.И. // Изв. РАН. Сер. физ. 1994. Т. 58. № 12. С. 21; Kalmykov N.N., Ostapchenko S.S., Pavlov A.I. // Bull. Russ. Acad. Sci. Phys. 1994. V. 8. P. 1966.
- Kalmykov N.N., Ostapchenko S.S., Pavlov A.I. // Nucl. Phys. B. (Proc. Suppl.) 1997. V. 52. P. 17.
- Ostapchenko S. // Nucl. Phys. B. (Proc. Suppl.). 2008. V. 175—176. P. 73.
- Кимель Л.Р., Мохов Н.В. // Изв. вузов. Физ. 1974. Т. 17. № 10. С. 17.
- Калиновский А.Н., Мохов Н.В., Никитин Ю.П. Прохождение частиц высоких энергий через вещество. М.: Энергоатомиздат, 1985. 248 с.
- Gaisser T.K. // Astropart. Phys. 2012. V. 35. P. 801.
- Aartsen M.G., Ackermann M., Adams J. et al. (IceCube Collaboration) // Eur. Phys. J. C. 2015. V. 75. Art. No. 116.
- Aartsen M.G., Ackermann M., Adams J. et al. (IceCube Collaboration) // Eur. Phys. J. C. 2017. V. 77. Art. No. 692.
- Аракелян Г.Г. // Ядерн. физика. 1998. Т. 61. С. 1682; Arakelyan G. H. // Phys. Atom. Nucl. 1998. V. 61. No. 9. P. 1570.
- Fedynitch A., Riehn F., Engel R. et al. // Phys. Rev. D. 2019. V. 100. Art. No. 103018.
- Bhattacharya A., Enberg R., Jeong Y.S. et al. // JHEP. 2016. V. 2016. No. 11. Art. No. 167.
- Gauld R., Rojo J., Rottoli L. et al. // JHEP. 2016. V. 2016. No. 2. Art. No. 130.
- Zenaiev O., Garzelli M.V., Lipka K. et al. (PROSA Collaboration) // JHEP. 2020. V. 2020. No. 4. Art. No. 118.
- Garzelli M.V., Moch S., Zenaiev O. et al. (PROSA Collaboration) // JHEP. 2017. V. 2017. No. 5. Art. No. 4.
Дополнительные файлы




