Наблюдения солнечных космических лучей с помощью наноспутников формата кубсат
- Авторы: Богомолов А.В.1, Богомолов В.В.1, Июдин А.Ф.1, Еремеев В.Е.1, Зайко Ю.К.1, Калегаев В.В.1, Мягкова И.Н.1, Оседло В.И.1, Перетятько О.Ю.1, Свертилов С.И.1, Яшин И.В.1, Папков А.П.2, Краснопеев С.В.2
-
Учреждения:
- Московский государственный университет имени М.В. Ломоносова
- Научно-исследовательская лаборатория аэрокосмической техники ДОСААФ
- Выпуск: Том 88, № 2 (2024)
- Страницы: 314-318
- Раздел: Физика космических лучей
- URL: https://ogarev-online.ru/0367-6765/article/view/266137
- DOI: https://doi.org/10.31857/S0367676524020266
- EDN: https://elibrary.ru/RPXFHW
- ID: 266137
Цитировать
Полный текст
Аннотация
Показаны возможности использования наноспутников формата кубсат для изучения солнечных космических лучей. Регистрировались потоки электронов солнечных космических лучей в полярных шапках на высоте ~550 км. Измерения проводились сцинтилляционными детекторами ДеКоР, установленными на нескольких кубсатах МГУ, во время события солнечных космических лучей 6–21 сентября 2022 г.
Полный текст
ВВЕДЕНИЕ
Изучение солнечных космических лучей (СКЛ) – ускоренных во вспышках на Солнце и доускоренных в межпланетном космическом пространстве на ударных волнах КВМ протонов, электронов и ядер – важно как для фундаментальных, так и прикладных исследований в области солнечно-земных связей. Данные о СКЛ необходимы для создания адекватных теоретических моделей ускорения заряженных частиц на Солнце и в межпланетном пространстве. На сегодняшний день существует необходимость в улучшении физического понимания процессов ускорения и переноса потоков СКЛ от солнечного источника к точке измерения, например, [1–3]. С другой стороны, потоки СКЛ могут нести радиационную опасность для электронных устройств и космонавтов [4, 5], и даже для экипажей и пассажиров трансполярных авиарейсов. Потоки СКЛ могут регистрироваться в экспериментах на космических аппаратах (КА), имеющих разные орбиты. Мониторинговые данные с высоким временным разрешением (1 мин) поступают с КА, находятся на геостационарной орбите (GOES, Электро). На КА с круговыми полярными орбитами потоки СКЛ измеряются в области открытых силовых линий, то есть мы получаем усредненные потоки дважды за виток – в северной и южной полярных шапках [6, 7]. Но несмотря на потери во временном разрешении в случае измерений на малых высотах в полярных шапках, мы получаем два преимущества: мы можем измерять реальные потоки частиц СКЛ на высотах, где расположены орбитальные станции, и, кроме того, можем экспериментально регистрировать границы проникновения СКЛ [8], что особенно важно с точки зрения исследований в области радиационной безопасности приполярных и трансполярных авиаперелетов, поскольку если возрастание потока СКЛ приходится на главную фазу бури, область проникновения СКЛ значительно смещается к экватору, соответственно, площадь поражения СКЛ становится существенно больше.
ЭКСПЕРИМЕНТ
Измерения космической радиации на малых КА проводятся в МГУ с января 2005 г., когда микроспутник «Университетский-Татьяна» [9, 10] массой ~32 кг был выведен на круговую орбиту высотой ~1000 км и наклонением 83°. На спутнике были установлены полупроводниковые и сцинтилляционные детекторы электронов и протонов. Данный эксперимент показал, что на малых КА с круговой полярной орбитой возможно успешное изучение СКЛ по измерениям вариаций потоков частиц в полярных шапках [9].
В настоящее время в МГУ реализуется проект «Универсат-СОКРАТ» по созданию мультиспутниковой группировки для оперативного мониторинга космической радиации [11–13]. В рамках этого проекта был запущен ряд наноспутников формата кубсат. На сегодняшний день работают 4 таких спутника. Это выведенные на орбиту 5.07.2019 кубсаты формата 3U Амурсат и ВДНХ-80, а также запущенные 28.09.2020 кубсаты 6U ДЕКАРТ и Норби (совместно с НГУ). Все эти спутники работают на полярных солнечно-синхронных орбитах высотой ~550 км и наклонением ~98°
Специально для установки на кубсаты в НИИЯФ МГУ был разработан сцинтилляционный спектрометр ДеКоР [12], размещенный на каждом из перечисленных выше спутников. Его детектор представляет собой сборку из пластического сцинтиллятора толщиной 3 мм и расположенного за ним CsI(Tl) толщиной 17 мм. Анализ формы импульса дает возможность определить как энергию, так и сцинтиллятор, в котором произошло взаимодействие. Это позволяет раздельно измерять потоки заряженных частиц и гамма-квантов, поскольку электроны регистрируются в основном в пластическом сцинтилляторе, а гамма-кванты преимущественно в CsI(Tl). Эффективная площадь детектора ~18 см2, геометрический фактор ~50 см2ср, диапазон энерговыделений 0.1–2.0 МэВ. Временное разрешение определяется возможностями платформы кубсата, прежде всего, ограничениями на объем передаваемой информации. Для оптимизации этого предусмотрено два типа данных: мониторинг (скорости счета за ~1 c, время можно регулировать командами с Земли) и пособытийный режим (запись данных о каждом взаимодействии в детекторе с временным разрешением порядка десятков микросекунд), запрашиваемый по команде с Земли для отдельных участков траектории. В настоящей работе были использованы данные двух каналов мониторинга: скоростей счета всех событий в CsI(Tl) (преимущественно гамма-квантов с энергиями >100 кэВ) и скоростей счета всех событий в пластическом сцинтилляторе (в основном электронов с энергиями >300 кэВ). На спутнике ДЕКАРТ временное разрешение составляло 0.5 с, на спутнике ВДНХ-80–5с.
Информация со спутников доступна на сайте космической погоды НИИЯФ МГУ по адресу https://swx.sinp.msu.ru.
РЕЗУЛЬТАТЫ И ИХ ОБСУЖДЕНИЕ
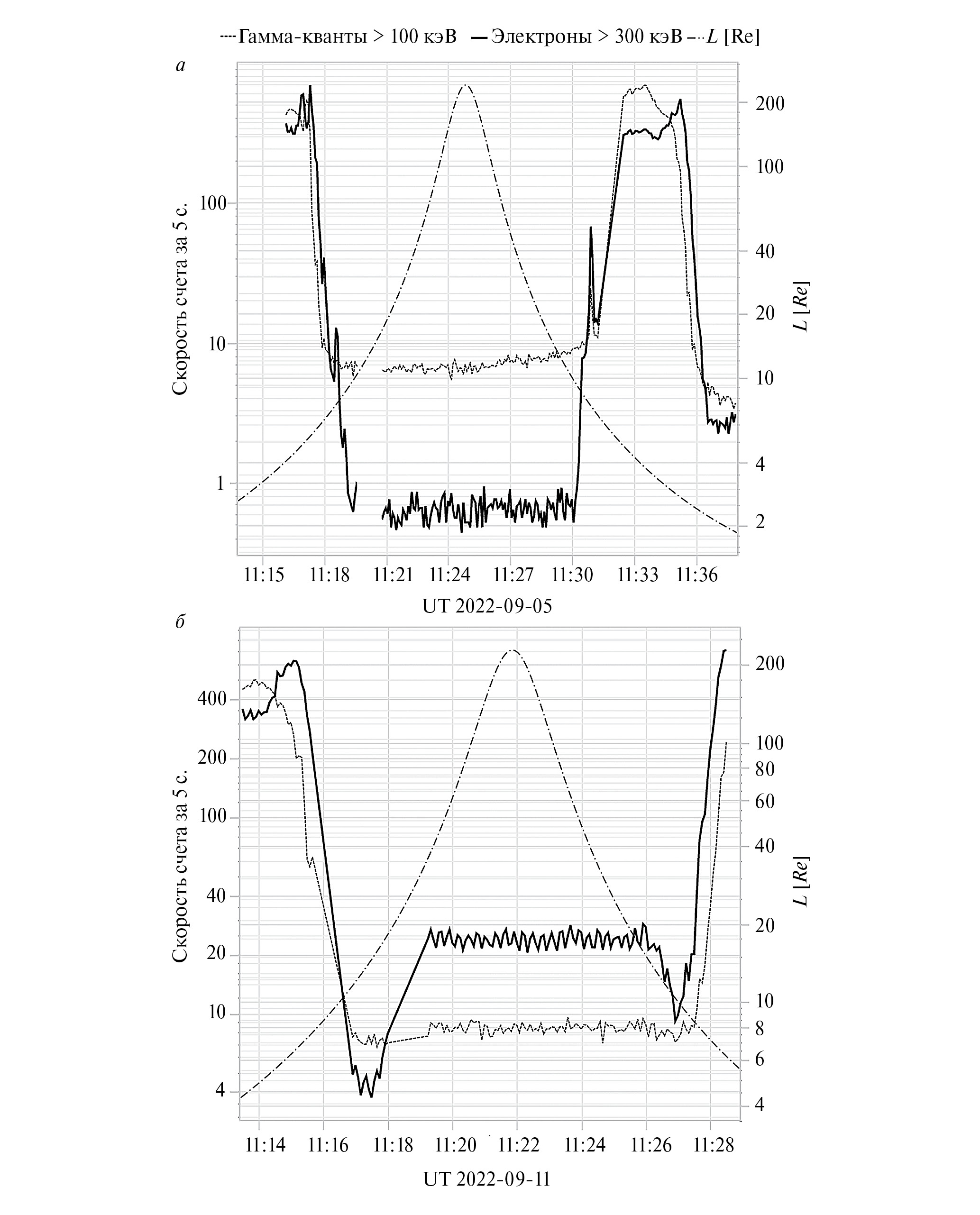
На рис. 1 представлен временной ход потоков гамма-квантов с энергией >100 кэВ (серые точки) и электронов с энергией >300 кэВ (черная сплошная линия), зарегистрированных прибором ДеКоР на кубсате ВДНХ-80 5 сентября (а) и 11 сентября (б), то есть до и после прихода СКЛ в сентябре 2022 г. Штрих-пунктирная линия на всех панелях показывает зависимость параметра Мак-Илвайна L от времени. Из рисунка видно, что после вспышки поток электронов СКЛ вырос примерно в 30–40 раз, тогда как поток гамма-квантов остался неизменным. На рис. 2 показан результат сопоставления временного профиля потоков электронов с энергией 175–315 кэВ по данным ИСЗ АСЕ (черные точки), находящегося в точке либрации (L1) и интегральных потоков электронов с энергией >300 кэВ, измеренных прибором ДеКоР на кубсате ДЕКАРТ в северной (черные кресты) и южной (серые ромбы) полярных шапках. Из рисунка видно, что данные АСЕ и ДЕКАРТ хорошо согласуются.
Рис. 1. Зависимости от времени интенсивности гамма-квантов (серые точки) и электронов (черная сплошная линия), по данным прибора ДеКоР, установленного на кубсате ВДНХ-80 до (верхняя панель) и после (нижняя панель) прихода СКЛ в сентябре 2022 г. Штрих-пунктирная линия на всех панелях показывает зависимость параметра Мак-Илвайна L от времени
Рис. 2. Профиль события, наблюдавшегося в солнечных космических лучах в сентябре 2022 г. на спутнике ACE (черные точки (1), электроны с энергией 175‒315 кэВ), и на кубсате ДЕКАРТ (измерения проводились в северной (кресты) и южной (ромбы) полярных шапках, электроны с энергиями > 300 кэВ)
Возрастание потоков электронов СКЛ, наблюдавшееся в околоземном космическом пространстве с 6 сентября 2022, и зарегистрированное прибором «ДеКоР» на кубсатах «ДЕКАРТ» и ВДНХ-80 в полярных шапках, по всей видимости, было вызвано залимбовой вспышкой, произошедшей в конце суток 5 сентября 2022. Космическим аппаратом STEREO-А около 17:00 мирового времени (UT) был зарегистрирован корональный выброс массы типа «гало». Поскольку вспышка была залимбовой, до орбиты Земли дошла только малая часть ускоренного в ней потока СКЛ. Практически сразу после этого на КА Solar Orbiter, находившемся в этот момент у Венеры, был зарегистрирован рост на порядок величины потоков протонов и электронов СКЛ с энергиями от 20 кэВ до 50 МэВ (протоны) и от 10 кэВ до 7 МэВ (электроны) [14].
Далее АО13098 и AО13103, появившись на видимой стороне диска Солнца, продуцировали по несколько вспышек С-класса ежедневно, причем согласно solarmonitor.org часть из этих вспышек не имело точной привязки. 16 сентября 2022 в АО13098 в 09:44 (максимум 09:49 UT) произошла импульсная вспышка класса M7.9. Данная вспышка могла вызвать дополнительное возрастание потока электронов СКЛ. Как видно из рис. 2, данное возрастание было невелико на орбите АСЕ для энергий 175–300 кэВ, но в полярных шапках поток электронов с энергией выше 300 кэВ по данным ДЕКАРТ (ДеКоР) возрос в несколько раз. В этот же день в АО13098 произошла еще одна вспышка класса M (начало 15:49, максимум 15:59, координаты N18W81). Она также могла внести дополнительный вклад в поток СКЛ, но по информации с ДЕКАРТ невозможно сказать, какая именно из вспышек (первая или вторая, или обе вместе) дала основной вклад в дополнительное возрастание потока электронов СКЛ, наблюдавшееся в полярных шапках после 16:00 16 сентября 2022. На следующий день, 17 сентября в АО13098 произошло еще две вспышки класса М, но как видно из рис. 2, возрастания потоков электронов на КА АСЕ не наблюдалось. Отсутствие возрастаний СКЛ, скорее всего, связано с тем, что АО АО13098 17.09 уже находилась практически за западным лимбом.
ЗАКЛЮЧЕНИЕ
Результаты летных испытаний прибора ДеКоР на борту кубсатов МГУ показывают, что подобные спутники могут эффективно использоваться для регистрации потоков СКЛ.
Об авторах
А. В. Богомолов
Московский государственный университет имени М.В. Ломоносова
Автор, ответственный за переписку.
Email: aabboogg@srd.sinp.msu.ru
Россия, Москва
В. В. Богомолов
Московский государственный университет имени М.В. Ломоносова
Email: aabboogg@srd.sinp.msu.ru
Россия, Москва
А. Ф. Июдин
Московский государственный университет имени М.В. Ломоносова
Email: aabboogg@srd.sinp.msu.ru
Россия, Москва
В. Е. Еремеев
Московский государственный университет имени М.В. Ломоносова
Email: aabboogg@srd.sinp.msu.ru
Россия, Москва
Ю. К. Зайко
Московский государственный университет имени М.В. Ломоносова
Email: aabboogg@srd.sinp.msu.ru
Россия, Москва
В. В. Калегаев
Московский государственный университет имени М.В. Ломоносова
Email: aabboogg@srd.sinp.msu.ru
Россия, Москва
И. Н. Мягкова
Московский государственный университет имени М.В. Ломоносова
Email: aabboogg@srd.sinp.msu.ru
Россия, Москва
В. И. Оседло
Московский государственный университет имени М.В. Ломоносова
Email: aabboogg@srd.sinp.msu.ru
Россия, Москва
О. Ю. Перетятько
Московский государственный университет имени М.В. Ломоносова
Email: aabboogg@srd.sinp.msu.ru
Россия, Москва
С. И. Свертилов
Московский государственный университет имени М.В. Ломоносова
Email: aabboogg@srd.sinp.msu.ru
Россия, Москва
И. В. Яшин
Московский государственный университет имени М.В. Ломоносова
Email: aabboogg@srd.sinp.msu.ru
Россия, Москва
А. П. Папков
Научно-исследовательская лаборатория аэрокосмической техники ДОСААФ
Email: aabboogg@srd.sinp.msu.ru
Россия, Калуга
С. В. Краснопеев
Научно-исследовательская лаборатория аэрокосмической техники ДОСААФ
Email: aabboogg@srd.sinp.msu.ru
Россия, Калуга
Список литературы
- Базилевская Г.А., Дайбог Е.И., Логачев Ю.И. и др. // Изв. РАН. Сер. физ. 2021. Т. 85. № 8. С. 1185; Bazilevskaya G.A., Daibog E.I., Logachev Y.I. et al. // Bull. Russ. Acad. Sci. Phys. 2021. V. 85. No. 8. P. 911.
- Базилевская Г.А., Логачев Ю.И., Вашенюк Э.В. и др. // Изв. РАН. Сер. физ. 2015. Т. 79. № 5. С. 629; Bazilevskaya G.A., Logachev Y.I., Vashenyuk E.V. et al. // Bull. Russ. Acad. Sci. Phys. 2015. V. 79. No. 5. P. 573.
- Klecker B., Kunov H., Cane H.V. et al. // Space Sci. Rev. 2006. V. 123. P. 217.
- Стожков Ю.И., Базилевская Г.А., Махмутов В.С. и др. // Изв. РАН. Сер. физ. 2017. Т. 81. № 2. С. 289; Stozhkov Y.I., Bazilevskaya G.A., Makhmutov V.S. et al. // Bull. Russ. Acad. Sci. Phys. 2017. V. 81. No. 2. P. 252.
- Dorman L.I., Iucci N., Belov A.V. et al. // Ann. Geophys. 2005. V. 23. No. 9. P. 3009.
- Кузнецов С.Н., Богомолов А.В., Гордеев Ю.П. и др. // Изв. РАН. Сер. физ. 1995. Т. 59. № 4. С. 2.
- Кузнецов С.Н., Денисов Ю.И., Кудела К. и др. // Изв. РАН. Сер. физ. 2003. Т. 67. № 4. С. 478.
- Мягкова И.Н., Богомолов А.В., Юшков Б.Ю., Кудела К. // Изв. РАН. Сер. физ. 2009. Т. 73. № 3. С. 339; Myagkova I.N., Bogomolov A.V., Yushkov B.Y., Kudela K. // Bull. Russ. Acad. Sci. Phys. 2009. V. 73. P. 322.
- Myagkova I.N., Panasyuk M.I., Lazutin L.L. et al. // Adv. Space Res. 2009. V. 43. No. 4. P. 489.
- Садовничий В.А., Панасюк М.И., Бобровников С.Ю. и др. // Косм. иссл. 2007. Т. 45. № 4. С. 291; Sadovnichy V.A., Panasyuk M.I., Bobrovnikov S.Y. et al. // Cosmic Res. 2007. V. 45. P. 273.
- Богомолов В.В., Богомолов А.В., Дементьев Ю.Н. и др. // Вестн. Моск. ун-та. Сер. 3. Физ. Астрон. 2020. № 6. С. 135.; Bogomolov V.V., Bogomolov A.V., Dement’ev Y.N. et al. // Moscow Univ. Phys. Bull. 2020. V. 75. P. 676.
- Bogomolov V.V., Dementiev Yu.N., Iyudin A.F. et al. // Adv. Astronaut. Sci. 2020. V. 173. P. 537.
- Bogomolov A.V., Bogomolov V.V., Iyudin A.F. et al. // Universe. 2022. V. 8. P. 282.
- https://spaceweather.com/archive.php?view=1&day=06&month=09&year=2022.
Дополнительные файлы




