Затухание Zitterbewegung в структурах на основе дираковских кристаллов
- Авторы: Кухарь Е.И.1, Крючков С.В.1,2, Иванов Н.А.1
-
Учреждения:
- Волгоградский государственный технический университет
- Волгоградский государственный социально-педагогический университет
- Выпуск: Том 88, № 2 (2024)
- Страницы: 264-268
- Раздел: Волновые явления: физика и применения
- URL: https://ogarev-online.ru/0367-6765/article/view/266122
- DOI: https://doi.org/10.31857/S0367676524020177
- EDN: https://elibrary.ru/RRBTCO
- ID: 266122
Цитировать
Полный текст
Аннотация
Исследованы возможности управления временем затухания осцилляций Zitterbewegung в графене и графеновой сверхрешетке. Для графена вычислено время существования Zitterbewegung в присутствии высокочастотного излучения. Результат демонстрирует увеличение продолжительности данного эффекта при включении переменного поля. Для графеновой сверхрешетки показано, что время затухания Zitterbewegung регулируется путем изменения соотношения между периодом сверхрешетки и шириной электронного волнового пакета.
Полный текст
ВВЕДЕНИЕ
Графеноподобные кристаллы (графен, германен, силицен и т.д.) являются весьма удобной платформой для изучения эффектов квантовой электродинамики [1, 2]. Уникальность таких материалов, называемых дираковскими кристаллами [3], объясняется наличием в гамильтониане слагаемых, связывающих импульс носителя заряда с его псевдоспиновой степенью свободы. Известно, что одним из следствий такой связи является эффект Zitterbewegung (ZB) – быстрые осцилляции скорости свободного (псевдо)релятивисткого электрона, обязанные интерференции состояний с положительной и отрицательной энергиями. Высокая частота соответствующих осцилляций (~1021 Гц) делает затруднительным наблюдение ZB для свободного электрона в вакууме. Существенно более низкая частота ZB в структурах, описываемых гамильтонианом релятивистского типа [4, 5], значительно облегчает экспериментальное обнаружение указанного эффекта [6].
Возможность ZB для электронов в графене теоретически показана в [7, 8]. На сегодняшний момент это явление учитывается в исследовании, например, проводящих свойств дираковских и полудираковских кристаллов [9]. Отметим, что для анализа основных особенностей спектра ZB, а также для сравнения численных результатов с результатами приближенных аналитических вычислений, в качестве начального вектора состояния в импульсном пространстве вполне можно использовать узкий дельтаобразный волновой пакет [10]. Однако такие пакеты полностью делокализованы в пространстве, что вносит определенную трудность в реализацию соответствующих осцилляций. С целью получения результатов, близких к возможным экспериментальным наблюдениям, следует рассматривать пакеты конечной ширины, которые хорошо локализованы как в импульсном, так и в реальном пространстве. Конечный размер пакета позволяет говорить о среднем положении частицы, а также вычислить групповую скорость. При этом, как показано в [10], факт конечности пакета не меняет основных свойств ZB. Тем не менее, здесь придется столкнуться с другой проблемой. Дело в том, что колебания волнового пакета конечной ширины являются затухающими, причем время затухания находится в прямой зависимости от ширины пакета. Некоторые варианты решения проблемы затухания ZB предложены в [10, 11]. В их основе лежат особенности взаимодействия дираковских кристаллов с внешним высокочастотным (ВЧ) полем [12, 13]. Так, в [11] для восстановления электронных осцилляций использован механизм обращения во времени групповой скорости носителей заряда, изученный в [14]. В [10] увеличение времени жизни ZB в графене оказалось возможным благодаря наличию в спектре электронных осцилляций гибридных частот (частот Раби), зависящих как от внутризонной энергии частицы, так и от параметров электромагнитного (ЭМ) излучения, которому подвергается образец. Отметим, что для полудираковских материалов частота Раби, кроме всего прочего, определяется еще и направлением поляризации ЭМ волны [15].
В данной работе решаются следующие задачи: (1) разработка аналитического метода, позволяющего устанавливать время затухания ZB как функцию амплитуды ВЧ излучения, которому подвержен 2D кристалл с дираковским спектром (например, графен); (2) поиск возможностей увеличения времени затухания ZB. В рамках первой задачи предложено использование гамильтонианов, перенормированных действием ВЧ поля. В рамках второй задачи изучен ZB в графеновых сверхрешетках (ГСР).
ГРАФЕН В ПОЛЕ ВЫСОКОЧАСТОТНОЙ ВОЛНЫ
Влияние ВЧ поля на затухание ZB в графене исследовано численно в [10], где продемонстрирована возможность увеличения времени жизни ZB за счет изменения амплитуды ВЧ излучения, которому подвергается образец. Аналитические выводы относительно спектра ZB, также присутствующие в [10], выполнены в рамках двух известных аппроксимаций: Rotating Wave Approximation (RWA) и High Driving Frequency (HDF). В случае (a) частота излучения w считалась сравнимой с ΩZB – частотой ZB в отсутствие поля. В случае (b) использовано приближение, когда ω >> ΩZB, но амплитуда волны полагалась достаточно малой. Приведем сейчас для ZB в графене некоторые аналитические результаты, справедливые для более широкого круга значений амплитуды волны. Они явно подтвердят возможность управления затуханием ZB за счет изменения амплитуды ЭМ излучения, предсказанное в [10] численно.
Свяжем с графеновым листом плоскость xy и поместим его в поле ВЧ излучения, распространяющегося вдоль оси Oz и поляризованного вдоль Ox. Для векторного потенциала электрической составляющей запишем , где E0 – амплитуда электрического поля, причем для частоты излучения выполнено неравенство ω >> ΩZB. Здесь, поступая стандартно, мы пренебрегаем координатной зависимостью потенциала поля, учитывая, что толщина графена значительно меньше длины волны падающего ЭМ излучения. Спинор ψ подчиняется уравнению
, (1)
где – исходный гамильтониан, – матрицы Паули, . Как уже сказано выше, задача об эволюции состояния дираковского электрона в ВЧ поле аналитически решалась в [10] методом итераций по малому параметру a0 << 1. Однако в рамках флоке-формализма эту же проблему удается свести к задаче на собственные значения перенормированного в ВЧ поле гамильтониана . При этом удобно воспользоваться следующим преобразованием , где , – безразмерная амплитуда переменного электрического поля. Применение унитарного оператора позволит получить для квантовомеханической скорости электрона в условиях ZB результат, справедливый для более широкого круга значений a0 чем в [10]. После усреднения уравнения для φ по периоду ВЧ поля придем к новому уравнению: в котором спинор χ описывает сглаженную по ВЧ возмущениям эволюцию состояния дираковского электрона, а ренормализованный гамильтониан имеет вид [16]:
, (2)
где – перенормированная действием ВЧ поля скорость Ферми, Jn(ξ) – функция Бесселя n-го порядка. Условием применимости выражения для (2) является выполнение следующего неравенства [16]:
, (3)
позволяющего считать высокочастотные поправки к амплитудам вероятности достаточно малыми. Здесь , – амплитуда вероятности поглощения/излучения носителями заряда n квантов ЭМ поля. Заметим, что выражение для υF, полученное в [16], совпало с результатом для постоянной составляющей компоненты скорости многомодового ZB, ортогональной к плоскости поляризации волны и вычисленной в [15] для произвольных амплитуд переменного электрического поля. Для спинора c имеем
. (4)
Таким образом, результаты, основанные на равенстве (3), останутся справедливыми и для интенсивных ВЧ полей, но таких, чтобы параметр 2a0 не был близок к нулям функции J0(2a0). Последнее требование продиктовано условием нерезонансности излучения (3). Сказанное отличает применяемый здесь аналитический подход от примененного в [10] метода итераций. Для времени затухания ZB удается получить аналитическое выражение, если начальный волновой пакет c0 в p-пространстве считать δ-образным для компоненты px (т.е. полностью делокализованному вдоль Ox) и гауссовским для py. В результате вычислений получим для квантовомеханической скорости следующее выражение
, (5)
где b – ширина гауссовского пакета вдоль Oy,
. (6)
Параметр имеет смысл времени затухания. В отсутствие переменного электрического поля (a0 = 0) время затухания ZB равно . Так как |J0(2a0)| < 1 при a0 ≠ 0, время затухания , как это видно из (6), всегда превышает время затухания τ в отсутствие излучения.
Далее будем считать волновой пакет локализованным во всех направлениях плоскости xy, выбирая для состояния, описываемого спинором χ0, гауссовский профиль волнового пакета, с которым, как правило, имеют дело [4, 10, 17]:
. (7)
Последнее может быть сформировано путем воздействия ультракороткого лазерного импульса [18]. Для центра волнового пакета будем полагать . Тогда для квантовомеханической скорости имеем
. (8)
После подстановки (2) и (7) в (8), запишем
, (9)
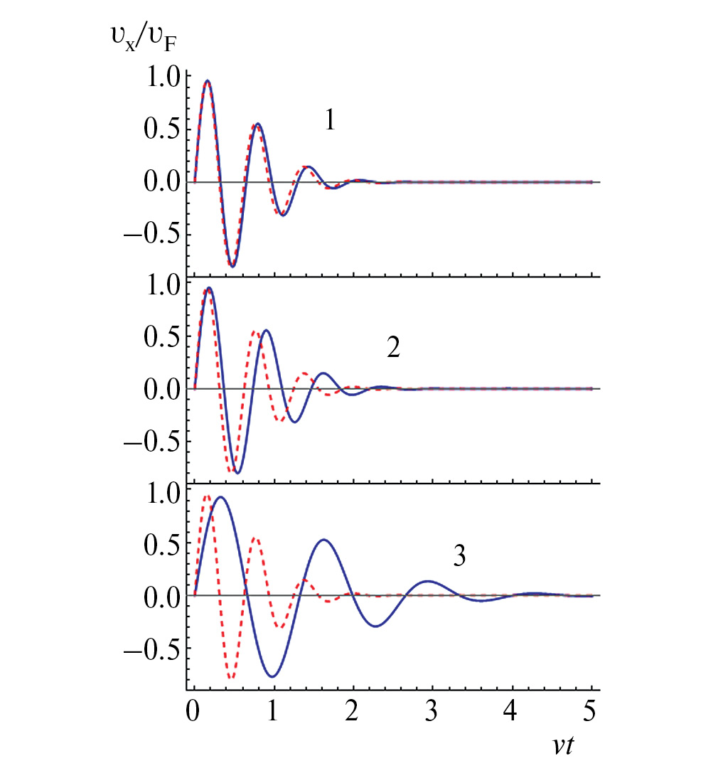
где , ν = τ–1. На рис. 1 представлены осцилляции групповой скорости при различных значениях амплитуды ВЧ поля, построенные по формуле (9). Видно, что с ростом амплитуды время затухания увеличивается. Здесь и далее для численного анализа используются значения параметров p и b из [10]: p = 1.2 мкм–1, b = 4 мкм. На графиках отсутствуют дополнительные гармоники осцилляций, которые предсказывались в [10], т.к. результат получен с использованием усредненного по ним гамильтониана . Однако продолжительность осцилляций и ее увеличение с ростом амплитуды совпадают по порядку величины с результатами [10]. Последнее говорит о правомерности используемого аналитического подхода с целью анализа зависимости продолжительности ZB от интенсивности ВЧ поля.
Рис. 1. Групповая скорость электрона в графене как функция времени в присутствии (сплошная линия) и в отсутствие (пунктирная линия) ВЧ излучения. 1) E0 = 0.5 кВ · м–1; 2) E0 = 1.0 кВ · м–1; 3) E0 = 2.0 кВ · м–1
ГРАФЕНОВАЯ СВЕРХРЕШЕТКА
В последнее время весьма актуальны исследования транспортных свойств различных структур на основе дираковских кристаллов, например – графеновых сверхрешеток (ГСР) [19–21]. Причина такого внимания заключается в возможности перестройки энергетической щели в СР [19], что с точки зрения приложений в наноэлектронике выгодно отличает ГСР от графена, обладающего полуметаллическими свойствами. Численный подход к исследованию ZB осцилляций в ГСР с прямоугольными барьерами предложен в [22]. Ниже рассмотрен аналитический подход, использующий следующий модельный гамильтониан для носителей заряда в СР на основе дираковского кристалла [23]:
, (10)
где d – период СР. Для вычисления скорости электрона произведем в (8) замену и вместо (7) используем следующий начальный спинор [22]:
. (11)
Здесь b1 и b – ширина волнового пакета вдоль направлений x и y, соответственно, причем b1 >> b. После некоторых математических преобразований находим для групповой скорости:
, (12)
где Ω = υFd–1. Для периода СР d = 100 нм [23] значение параметра Ω составит 10 ТГц. Графики зависимости групповой скорости (12) от времени показаны на рис. 2. Их анализ позволяет сказать, что, во-первых, время затухания ZB растет с уменьшением отношения периода СР к ширине волнового пакета d:b. Во-вторых, приближение центра электронного волнового пакета p к потолку минизоны СР также дает возможность существенно увеличить время осцилляций ZB.
Рис. 2. Групповая скорость электрона в ГСР как функция времени для d:b = 1:10 (сплошная линия) и d = b (пунктирная линия). 1) Середина минизоны; 2) потолок минизоны
ЗАКЛЮЧЕНИЕ
Выше исследовано затухание ZB в графене и ГСР. В случае, когда начальный волновой пакет, делокализован вдоль одного направления и локализован в поперечном направлении найдено аналитическое выражение для эффективного времени затухания ZB. Из этого выражения явно следует, что время затухания должно увеличиться при включении ВЧ электрического поля, что согласуется с численными расчетами [10]. Кроме того, показано, что зависимость времени жизни ZB является немонотонной функцией амплитуды ВЧ излучения.
В случае ГСР показано, что, количество колебаний ZB растет с уменьшением величины d:b, что согласуется с численными расчетами [22]. Таким образом, изготовление ГСР с необходимым периодом позволит добиться увеличения наблюдаемого числа колебаний ZB. Кроме того, существенного роста продолжительности ZB можно добиться путем смещения центра волнового пакета p к потолку минизоны ГСР.
Работа поддержана ФГБОУ ВО ВолгГТУ в рамках текущего финансирования и внутривузовского гранта ФГБОУ ВО ВГСПУ. Никаких дополнительных источников финансирования или грантов со стороны других организаций не привлекалось.
Об авторах
Е. И. Кухарь
Волгоградский государственный технический университет
Автор, ответственный за переписку.
Email: eikuhar@yandex.ru
Россия, Волгоград
С. В. Крючков
Волгоградский государственный технический университет; Волгоградский государственный социально-педагогический университет
Email: eikuhar@yandex.ru
Россия, Волгоград; Волгоград
Н. А. Иванов
Волгоградский государственный технический университет
Email: eikuhar@yandex.ru
Россия, Волгоград
Список литературы
- Katsnelson M.I., Novoselov K.S., Geim A.K. // Nature Phys. 2006. V. 2. P. 620.
- Romanovsky I., Yannouleas C., Landman U. // Phys. Rev. B. 2013. V. 87. Art. No. 165431.
- Kim Y., Lee J.D. // Mater. Today Phys. 2021. V. 21. Art. No. 100525.
- Schliemann J., Loss D., Westervelt R.M. // Phys. Rev. Lett. 2005. V. 94. Art. No. 206801.
- Фирсова Н.Е., Ктиторов С.А. // ФТТ. 2021. Т. 63. № 2. С. 277; Firsova N.E., Ktitorov S.A. // Phys. Solid State. 2021. V. 63. No. 2. P. 313.
- Iwasaki Y., Hashimoto Y., Nakamura T. et al. // J. Phys. Conf. Ser. 2017. V. 864. Art. No. 012054.
- Katsnelson M.I. // Europ. Phys. J. B. 2006. V. 51. P. 157.
- Cserti J., Dávid G. // Phys. Rev. B. 2006. V. 74. Art. No. 172305.
- Oriekhov D.O., Gusynin V.P. // Phys. Rev. B. 2022. V. 106. Art. No. 115143.
- Rusin T.M., Zawadzki W. // Phys. Rev. B. 2013. V. 88. Art. No. 235404.
- Reck P., Gorini C., Richter K. // Phys. Rev. B. 2020. V. 101. Art. No. 094306.
- Oka T., Aoki H. // Phys. Rev. B. 2009. V. 79. Art. No. 081406.
- Junk V., Reck P., Gorini C., Richter K. // Phys. Rev. B. 2020. V. 101. Art. No. 134302.
- Reck P., Gorini C., Richter K. // Phys. Rev. B. 2018. V. 98. Art. No. 125421.
- Крючков С.В., Кухарь Е.И. // Опт. и спектроск. 2023. Т. 131. № 2. С. 297.
- Kibis O.V., Morina S., Dini K. et al. // Phys. Rev. B. 2016. V. 93. Art. No. 115420.
- Diago-Cisneros L., Serna E., Vargas I.R. et al. // J. Appl. Phys. 2019. V. 125. Art. No. 203902.
- Garraway B.M., Suominen K.A. // Rep. Prog. Phys. 1995. V. 58. P. 365.
- Huber R., Liu M.–H., Chen S.–C., et al. // Nano Lett. 2020. V. 21. P. 8046.
- Fernandes D.E. // Phys. Rev. B. 2023. V. 107. Art. No. 085119.
- Oubram O., Sadoqi M., Cisneros-Villalobos L. et al. // J. Phys. Cond. Matter. 2023. V. 35. No 26. Art. No. 265301.
- Kamal A., Jellal A. // Physica E. 2021. V. 125. Art. No. 114193.
- Krueckl V., Richter K. // Phys. Rev. B. 2012. V. 85. Art. No. 115433.
Дополнительные файлы




