Скачок Мигдала в режиме квантового эффекта Холла
- Авторы: Ваньков А.Б.1
-
Учреждения:
- Институт физики твердого тела имени Ю.А. Осипьяна Российской академии наук
- Выпуск: Том 88, № 2 (2024)
- Страницы: 190-195
- Раздел: Новые материалы и технологии для систем безопасности
- URL: https://ogarev-online.ru/0367-6765/article/view/266103
- DOI: https://doi.org/10.31857/S0367676524020048
- EDN: https://elibrary.ru/RTQORV
- ID: 266103
Цитировать
Полный текст
Аннотация
В двумерных электронных системах при больших значениях параметра Вигнера–Зейтса rs и в режиме квантового эффекта Холла посчитана функция распределения частиц по уровням Ландау. Оказалось, что при малых факторах заполнения характер размытия функции распределения и величина скачка Мигдала качественно отличаются от случая ферми-жидкости в нулевом магнитном поле. Из-за наличия циклотронной энергетической щели ферми-жидкостное искажение функции распределения оказывается существенно подавленным.
Полный текст
Из теории ферми-жидкости известно, что частицы и перенормированные квазичастицы имеют одинаковый фермиевский импульс, но их функции распределения различны. Взаимодействие частиц приводит к появлению хвостов в функции распределения по импульсу f(p), а также к уменьшенному значению ее скачка 0<Z<1 на уровне Ферми [1]. Высота скачка Мигдала служит одним из индикаторов степени перенормировки квазичастиц и указывает относительный вес частицы в квазичастичном состоянии на уровне Ферми. Соответственно, величина (1–Z) служит мерой участия частицы в виртуальных переходах и флуктуациях функции распределения.
Двумерные ферми-жидкости могут быть реализованы в сильновзаимодействующих двумерных электронных системах. Аналитическое решение двумерной задачи для кулоновского взаимодействия сопряжено с появлением логарифмических расходимостей частичных сумм [2], даже после устранения которых результат ненадежен. Оценки величины весового фактора Z для двумерного случая, проведенные в рамках приближения случайных фаз в качестве поправки первого порядка по rs, приводят к ответу [3] (1–Z) = rs (1/2 + 1/π)/, который четырехкратно переоценивает степень квазичастичной перенормировки относительно численных расчетов методом Монте-Карло [4] и недавних экспериментов на GaAs ДЭС [5], для которых при rs < 2 неплохо применима линейная аппроксимация (1–Z) = 0.13 rs.
В квантующем магнитном поле меняется характер энергетического спектра ферми-жидкости: он становится дискретным. Анализ функции распределения двумерных электронов по уровням Ландау (УЛ) при конечном rs был проделан в работе [6] методом функций Грина. Сделан качественный вывод о важности подмешивания к состояниям электронов дополнительных комплексов (резонансных состояний), состоящих из электрона и нейтральных многоэкситонных комбинаций, однако оказалось невозможным дойти до количественного ответа ввиду огромного количества таких слагаемых. Для преодоления этой сложности уместны методы точной диагонализации (ТД) для конечного числа электронов на УЛ, однако для решения задач о функции распределения электронов в режиме КЭХ требуется увеличение количества учитываемых УЛ, и тогда общеизвестные численные схемы даже при небольшом числе электронов захлебываются от комбинаторного множества конфигураций.
В данной работе реализован численный алгоритм расчета состояний КЭХ, основанный на методе ТД, но с урезанным на несколько порядков базисом многочастичных конфигураций. При конечности смешивающего параметра (где lb – магнитная длина, ωc – циклотронная частота), многоэлектронные конфигурации с размещением на разных УЛ существенно неэквивалентны, и вероятность флуктуаций с “выпрыгиванием″ некоторого числа электронов на верхние уровни экспоненциально падает в зависимости от числа добавленных квантов циклотронной энергии. Изучено поведение функции распределения электронов по уровням Ландау в зависимости от фактора заполнения и параметра Вигнера–Зейтса rs. Показано, что при фиксированной электронной концентрации квантование Ландау существенно подавляет размытие функции распределения электронов относительно случая с нулевым магнитным полем [7]. Так, при rs<1 и малых факторах заполнения квазичастичный вклад в величину скачка Мигдала (1–Z) зависит окололинейно от ν и квадратично от rs, одновременно при уменьшении ν хвосты функции распределения удлиняются. Оказалось, что характер зависимости функции распределения от rs в режиме КЭХ существенно отличается от случая ферми-жидкости без магнитного поля, а управляющим параметром выступает . Механизм перестройки функции распределения в режиме КЭХ описан в терминах рождения магнитоплазменных флуктуаций в структуре основного состояния системы.
На рис. 1a показано несколько возможных многоэлектронных конфигураций на лестнице УЛ для состояния КЭХ с ν = 1 с вовлечением верхних уровней Ландау. Эти конфигурации не являются равновероятными и имеют определенную иерархию. В зависимости от величины параметра смешивания УЛ rc, из них может быть выделено сокращенное подмножество актуальных конфигураций (базисных векторов), которые достаточно учитывать в расчетах методом ТД. Без учета смешивания в основном состоянии ДЭС участвует только конфигурация с расположением всех электронов на нижайшем УЛ (диаграмма |0> на рис. 1a). По мере увеличения параметра rc растет вовлеченность возбужденных многоэлектронных конфигураций () в структуру основного состояния. Естественно, возбуждения эти носят электронейтральный и бесспиновый характер, а ввиду трансляционной инвариантности системы, они соответствуют не одноэлектронным переходам, а коллективным магнитоплазменным (МП) процессам с суммарным нулевым. Для сортировки многоэлектронных конфигураций по вероятности реализации вводится дискретный параметр «лишних» квантов циклотронной энергии ΔCR, необходимых для рождения соответствующей магнитоплазменной флуктуации.
Рис. 1. Примеры многоэлектронных конфигураций, дающих вклад в основное состояние системы КЭХ при ν = 1 (a). Пример расчетной функции распределения электронов по УЛ при n = 1, rc = 5, выполненный методом ТД. Дискретные параметры указаны. На вставке f(n) в логарифмической шкале (б). Числа заполнения нулевого и первого УЛ как функция параметра rs, рассчитанные при разных значениях параметра Δmax и фиксированных NS и NLL (в)
Формирование «урезанного» базиса гильбертова пространства конфигураций и само вычисление гамильтоновой матрицы производятся при ограничении ΔCR ≤ , а по целочисленному параметру оценивается сходимость схемы. Главным выигрышем от указанного вычислительного подхода [7] является возможность расчета характеристик многоэлектронных состояний при сильном смешивании УЛ rc ~ 5) и беспрецедентно большой суммарной емкости NSNLL~60–70 (NS – количество квантов магнитного потока, NLL – кол-во УЛ). В частности, ниже приведены результаты расчета распределения электронов по УЛ при rs > 1 для состояний КЭХ с ν = 1/3, 2/3, 1, 2 и 3.
Извлеченные из процедуры ТД комплексные амплитуды всех многочастичных конфигураций в структуре основного состояния были использованы для подсчета чисел заполнения УЛ f(n), n = 0,1,2,… На рис. 1б показан расчет функции распределения электронов по УЛ при ν = 1, rs = 7.1 и параметрах дискретного счета NS = 9, NLL = 6, = 14 и NS=10, NLL = 6, = 12 (численность урезанного базиса, достаточного для сходимости расчета, составляет около 2 млн векторов при размерности полного базиса ~750 млн). При анализе в логарифмической шкале (вставка на рис. 1б) получено, что характер угасания f(n) при n ≥ 1 близок к экспоненциальному. На рис. 1в приведена расчетная зависимость заселенности УЛ с индексами n = 0 и n = 1 при росте параметра rs. Разность между значениями f(n = 0) и f(n = 1), в сущности, является аналогом скачка Мигдала для функции распределения электронов в квантующем магнитном поле. В квантующем магнитном поле величина скачка отклоняется от единицы квадратично по rs, что качественно отличается от случая ферми-жидкости в нулевом магнитном поле.
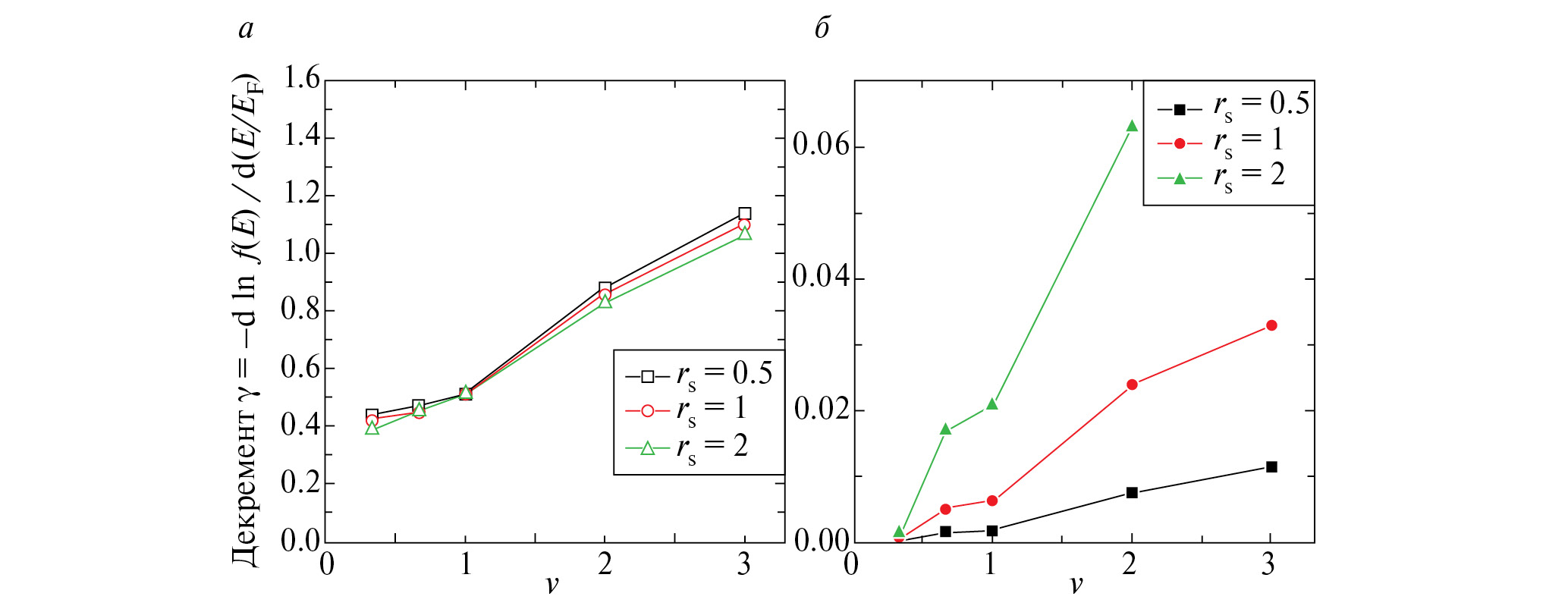
Аналогичные функции распределения электронов для разных ν имеют существенные отличия: при фиксированном rs декремент затухания функции распределения при E > EF существенно возрастает от ν (рис. 2a), а величина скачка Мигдала Z для малых факторов заполнения значительно меньше отличается от единицы, чем для нулевого магнитного поля при тех же rs, для которого применима аппроксимация 1–Z ≈ 0.13rs [5]. Второй неожиданный результат заключается в том, что при малых ν зависимость (1–Z) от фактора заполнения близка к линейной (рис. 2б). Для ν ≥ 4 и rs ~ 1 применяемая численная схема не обеспечивает сходимости, и потому не может быть проверена асимптотика скачка Мигдала.
Рис. 2. Зависимость декремента затухания функции распределения f(E) от фактора заполнения при различных rs (a). Зависимость ферми-жидкостного вклада в величину скачка Мигдала (1–Z) от ν при различных rs (б)
Обнаруженное поведение функции распределения в различных состояниях КЭХ может быть объяснено механизмом влияния смешивающего параметра rc на поляризационные процессы. Зарождение магнитоплазменных флуктуаций в основном состоянии было проанализировано из расчета собственного вектора основного состояния системы [7]. Его структура модифицирована подмешиванием мульти-MП вкладов через одну или несколько циклотронных щелей и с полным импульсом q = 0. Были посчитаны полные веса MП вкладов различной структуры, и соответствующая гистограмма показана на рис. 3a для простейшего случая ν = 1 при rc = 2.6. Свойства распределения следующие:
Рис. 3. Расчетная гистограмма удельного веса мультиплазмонных компонент, входящих в структуру основного состояния при ν = 1 (a). То же для основного состояния ν = 1/3. Доминирует вклад от комбинаций магнитоплазмонов с волнами зарядовой плотности MП() × CDW() (б)
- экспоненциальный характер спадания суммарного веса MП комбинаций в зависимости от ΔCR;
- в основном состоянии ν = 1 полностью отсутствуют одномагнитоплазмонные флуктуации с q = 0;
- при фиксированном количестве «лишних» квантов лидируют ħωc структуры, состоящие из двух MП флуктуаций, с некоторыми переигрываниями веса по типу разбиения ΔCR на два слагаемых;
- вклад мульти-MП флуктуаций подавлен на порядки относительно двухмагнитоплазмонных.
В состояниях дробного КЭХ имеется дополнительная степень свободы для внутриуровневых волн зарядовой плотности (CDW), которые могут спариваться с MП в структуре зарядовых флуктуаций. Это показано на примере основного состояния ν = 1/3, для которого в расчетной гистограмме лидирующий вклад дают флуктуации с ΔCR = 1, очевидно, состоящих из спаренных MП()×CDW() (соответствующая гистограмма показана на рис. 3б).
Получив представление о структуре зарядовых флуктуаций основного состояния системы, возможно на качественном уровне объяснить полученную зависимость функции распределения электронов от параметров rs и ν. Для этого можно воспользоваться соображениями теории возмущений, когда кулоновское взаимодействие порождает MП флуктуации с некоторым суммарным количеством квантов ΔCR и определенной внутренней конфигурацией. Поправки первого порядка малости позволяют оценить комплексные амплитуды αi подмешанных MП флуктуации в структуре основного состояния:
, (1)
где Ai – константа, отвечающая за величину кулоновского вклада в энергию i-й многоплазменной комбинации при q = 0, а константа Bi связана с матричным элементом кулоновской части гамильтониана [8]. Эти числа зависят от типа основного состояния, фактора заполнения и от индексов УЛ, но при этом сама форма (1) универсальна для любых состояний КЭХ. Из формулы видно, что веса подмешанных мультиплазмонных состояний |αi|2, а значит и степень размытия f(n), при малом смешивании растут вначале линейно по ν и квадратично по rs, что совпадает с результатами расчетов ТД, а затем обе зависимости должны выходить на насыщение. Независимость декремента затухания от rs при фиксированном ν доказывает взаимосвязь размытия f(n) с параметрами магнитоплазменных возбуждений в конкретном состоянии КЭХ, а от rs зависит лишь амплитуда флуктуаций. На качественном уровне усложнение картины MП флуктуаций при увеличении ν связано с увеличением количества каналов распада и дробления «высоких» MП на мелкие куски. В пределе нулевого магнитного поля это приводит к более выраженному ферми-жидкостному искажению величины (1–Z).
В разобранном механизме искажения функции распределения электронов в режиме КЭХ магнитоплазменные комплексы играют роль аналогичную нулевому звуку в классической ферми-жидкости.
Таким образом, выполнен расчет распределения электронов по уровням Ландау в режиме квантового эффекта Холла при сильном кулоновском взаимодействии. Для этого разработана модифицированная схема точной диагонализации с сокращенной на порядки численностью базиса многочастичных конфигураций и позволяющая адекватный учет смешивания нескольких уровней Ландау. Изучено поведение функции распределения электронов по уровням Ландау в зависимости от фактора заполнения ν и параметра Вигнера–Зейтса rs. Выявлено, что при малых ν квантование Ландау существенно подавляет ферми-жидкостной вклад в величину скачка Мигдала (1–Z), который уменьшается окололинейно по ν и квадратично по rs, одновременно хвосты функции распределения электронов удлиняются. Механизм перестройки функции распределения описан в терминах рождения магнитоплазменных флуктуаций в структуре основного состояния системы. Показано, что при целых факторах заполнения главный вклад привносят двухмагнитоплазмонные флуктуации с суммарным нулевым импульсом, а в несжимаемых состояниях с дробными ν доминируют комбинации магнитоплазмона с внутриуровневой волной зарядовой плотности. При малых ν и rs появление магнитоплазменной “поляризации” в основном состоянии подавлено, а при ν → ∞ (в малых магнитных полях) поляризационное облако магнитоплазмонов приходит к насыщению, задающему финальную перенормировку квазичастиц и максимально возможное значение для (1–Z). Данные результаты созвучны с ранее наблюдавшимися нераспадностью ферми-жидкостных квазичастиц и одномодовым характером коллективных возбуждений в режиме квантового эффекта Холла [9].
Работа выполнена в рамках темы государственного задания ИФТТ РАН.
Об авторах
А. Б. Ваньков
Институт физики твердого тела имени Ю.А. Осипьяна Российской академии наук
Автор, ответственный за переписку.
Email: vankov@issp.ac.ru
Россия, Черноголовка
Список литературы
- Мигдал А.Б. // ЖЭТФ. 1957. Т. 32. № 2. С. 399; Migdal A.B. // Sov. JETP. 1957. V. 5. No. 2. P. 333.
- Galitski V.M., Das Sarma S. // Phys. Rev. B. 2004. V. 70. Art. No. 035111.
- Burkard G., Loss D., Sukhorukov E.V. // Phys. Rev. B. 2000. V. 61. No. 24. P. 16303.
- Drummond N.D., Needs R.J. // Phys. Rev. B. 2009. V. 79. Art. No. 085414.
- Кукушкин И.В. // ЖЭТФ. 2022. Т. 162. P. 480.
- Бычков Ю.А., Колесников А.В. // ЖЭТФ. 1995. Т. 107. С. 1933; Bychkov Yu.A., Kolesnikov A.V. // JETP. 1995. V. 80. No. 6. P. 1069.
- Ваньков А.Б. // Письма в ЖЭТФ. 2023. Т. 117. № 5. С. 356.
- Kallin C., Halperin B.I. // Phys. Rev. B. 1984. V. 30. No. 10. P. 5655.
- Ваньков А.Б., Кукушкин И.В. // Письма в ЖЭТФ. 2021. Т. 113. № 2. P. 112.
Дополнительные файлы





