Фазовращатель W-диапазона на основе метаповерхности со встроенными pin-диодами
- Авторы: Казаков А.С.1,2, Гусихин П.А.3, Андреев И.В.3, Муравьев В.М.3, Кукушкин И.В.3
-
Учреждения:
- Московский физико-технический институт (национальный исследовательский университет)
- Московский государственный университет имени М.В. Ломоносова
- Институт физики твердого тела имени Ю.А. Осипьяна Российской академии наук
- Выпуск: Том 88, № 2 (2024)
- Страницы: 174-179
- Раздел: Новые материалы и технологии для систем безопасности
- URL: https://ogarev-online.ru/0367-6765/article/view/266100
- DOI: https://doi.org/10.31857/S0367676524020012
- EDN: https://elibrary.ru/RTZNYS
- ID: 266100
Цитировать
Полный текст
Аннотация
Предложена конструкция и выполнено численное моделирование фазовращательного элемента W-диапазона (75–110 ГГц). Структура фазовращателя представляет собой периодический массив прямоугольных патч-антенн на диэлектрической подложке со встроенными pin-диодами. Численно продемонстрирована возможность достижения фазового сдвига прошедшей волны до 87° на частоте 96 ГГц при потерях пропускания не более ‒7 дБ.
Полный текст
ВВЕДЕНИЕ
Возможность локального управления параметрами электромагнитной волны субтерагерцового спектрального диапазона открывает широкие перспективы для развития беспроводных сетей передачи данных нового поколения [1, 2]. В частности, контролируемое изменение фазы излучения с пространственным разрешением позволяет управлять диаграммой направленности, а контроль амплитуды и поляризации позволяет повысить плотность кодируемой информации [3–5]. В этой связи перспективным направлением является разработка искусственных метаматериалов, обладающих широкими по сравнению с «естественными» материалами возможностями управления параметрами электромагнитной волны, вплоть до реализации экзотических оптических сред с µ < 0 и ε < 0 [6–10]. Особый интерес представляют двумерные метаматериалы – метаповерхности, представляющие собой планарные массивы рассеивателей (метаатомов) субволнового размера [11, 12]. В отличие от объемных метаматериалов, метаповерхности проще в изготовлении, обладают малой толщиной и позволяют существенно снизить уровень потерь [12–14].
Наличие на границе двух оптических сред поверхности, состоящей из метаатомов, способных независимо друг от друга изменять фазу излучения контролируемым образом, позволяет управлять направлением и формой волнового фронта электромагнитного излучения в соответствии с принципом Гюйгенса и обобщенными законами отражения и преломления [15–18]. Изначально метаатомы представляли из себя, как правило, пассивные элементы – антенны, наложение электрического и магнитного резонансов, в которых позволялось достичь контролируемого сдвига фазы в пределах от 0 до 2π [16–21]. Также, например, известны работы, в которых поворот фазы метаатома основывается на изменении фазы Панчаратнама–Берри, не зависящей от длины волны излучения [22]. Ключевой недостаток метаповерхностей на основе пассивных элементов состоит в невозможности управления их состоянием после изготовления, что существенно снижает их практическую ценность.
Возможность управления фронтом отраженной или прошедшей через метаповерхность волны достигается путем внедрения в структуру метаатома активного элемента [23–39]. Существует множество различных способов реализации перестраиваемых метаатомов – с использованием варакторов [26, 27], HEMT [28, 29], pin-диодов [30–36], МЭМС [37] и, наконец, жидких кристаллов [38, 39]. Состояние активного элемента и вносимый им сдвиг фазы может изменяться как непрерывным, так и дискретным образом.
Благодаря компактности и простоте схемы смещения, одним из наиболее перспективных активных элементов является pin-диод. Он имеет широкую слабо легированную область, в которой приложением смещения можно создавать высокую концентрацию инжектированных носителей. Смещенный в прямом направлении pin-диод имеет практически нулевое сопротивление ~1–3 Ом, накоротко замыкая участок цепи, а смещенный в обратном направлении выступает в качестве конденсатора с существенной емкостью. Pin-диоды, обладающие близкой к линейной ВАХ в СВЧ диапазоне, широко применяются в качестве переключателей в фазовращательных и модуляторных элементах субтерагерцового спектрального диапазона [40–43].
На данный момент pin-диоды в метаатомах, как правило, выполняют роль коммутаторов, осуществляющих изменение фазы дискретным образом между двумя состояниями, соответствующими прямому и обратному смещению на pin-диоде [30–35]. Достижимый при этом сдвиг фазы на характерных частотах W-диапазона составляет до 300° [36] в теории и 87° [32] в эксперименте. Однако практически отсутствуют структуры на основе pin-диодов, позволяющие менять фазу непрерывным образом.
В настоящей работе предлагается конструкция планарного фазовращательного элемента в виде периодического массива прямоугольных патч-антенн со встроенными pin-диодами на диэлектрической подложке. Показано, что такой элемент может непрерывно изменять сдвиг фазы проходящей электромагнитной волны в пределах от 0 до 87° при потерях пропускания –7 дБ на рабочей частоте 96 ГГц. Выбор 96 ГГц в качестве рабочей частоты элемента связан с наличием в этой области окна прозрачности атмосферного пропускания.
МОДЕЛЬ ФАЗОВРАЩАТЕЛЬНОГО ЭЛЕМЕНТА
Модель фазовращательного элемента приведена на рис. 1. Выбор конкретной топологии фазовращателя обусловлен сдвигом собственной частоты при варьировании импеданса структуры между крайними резонансами, соответствующими проводящему и изолирующему состояниям pin-диодов. Это позволяет получить существенный сдвиг фазы прошедшей волны на лежащей между двумя резонансами промежуточной частоте. Периодическая металлическая структура толщиной 17 мкм изготовлена на диэлектрической подложке из фторопласта (ε = 2) толщиной 127 мкм и представляет собой массив из 20 патч-антенн, соединенных посредством pin-диодов. Геометрические параметры структуры, а именно, размер патчей и расстояние между ними, были подобраны исходя из оптимизации эффективности работы фазовращательного элемента вблизи 96 ГГц. Период структуры вдоль оси y (см. рис. 1) составлял a = 1.6 мм, тогда как период вдоль оси x – b = 2.5 мм. Ширина патчей составляет c = 0.98 мм, ширина щели между соседними патчами, соединенными pin-диодами, – g = 30 мкм.
Рис. 1. Схематичное изображение общей структуры фазовращательного элемента, представляющего собой решетчатый массив из 20 металлических патч-антенн, разделенных щелями с характерным размером g = 30 мкм (а); cхема включения pin-диодов в структуру в области щели между соседними металлическими патчами (б)
Принцип работы метаповерхности на основе предлагаемых фазовых элементов наиболее просто и наглядно описывается на основе модели линии передачи [26]. В рамках данной модели комплексная амплитуда пропускания фазового элемента рассчитывается, как если бы он шунтировал линию передачи с волновым сопротивлением, равным сопротивлению вакуума . Таким образом, сдвиг фазы прошедшей электромагнитной волны определяется поверхностным импедансом фазового элемента (метаатома) и может быть выражен следующим общим соотношением [26, 44]:
,
где ZS – поверхностный импеданс фазового элемента.
Управлять сдвигом фазы можно, прикладывая напряжение смещения между крайними металлическими элементами. Это приводит к изменению дифференциального сопротивления pin-диодов и поверхностного импеданса всей структуры.
ИМПЕДАНС ФАЗОВРАЩАТЕЛЬНОГО ЭЛЕМЕНТА
Для выбранной модельной структуры был произведен численный расчет частотных зависимостей импеданса, сдвига фазы и коэффициента пропускания при различных значениях сопротивления pin-диодов. Так как такая структура чувствительна к поляризации падающей волны, расчеты проводились для случая нормального падения, линейно поляризованного вдоль оси y электромагнитного излучения. Вычисления были выполнены методом конечных элементов в специализированном программном пакете. Для упрощения и ускорения вычислений в качестве модельного объекта выступала бесконечная периодическая структура.
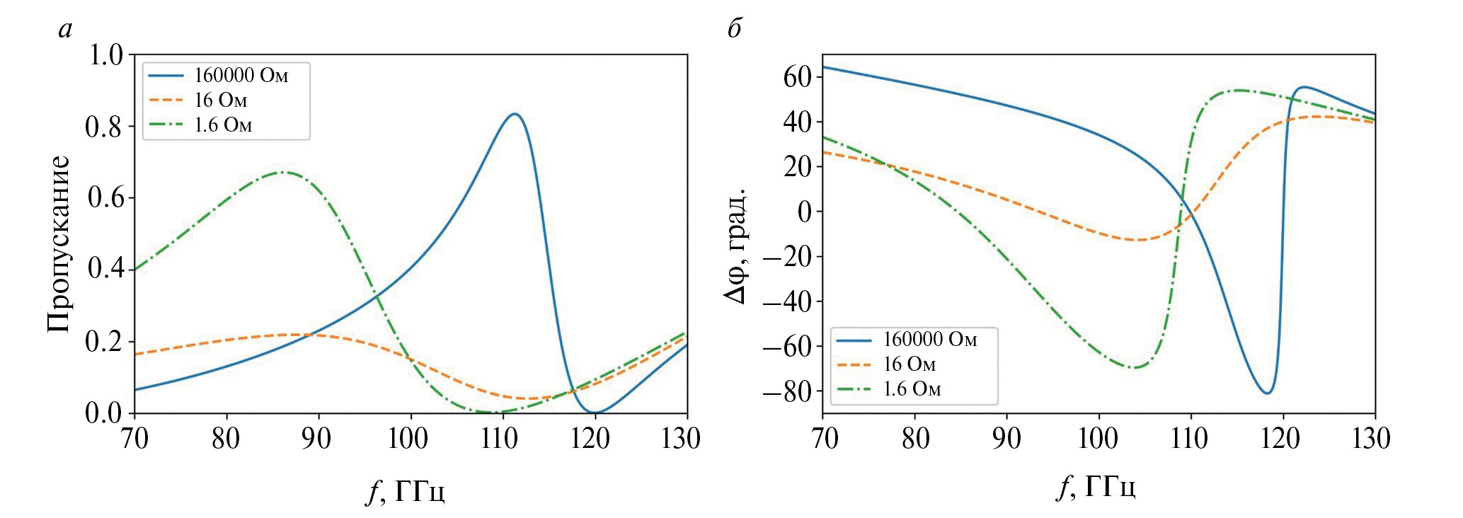
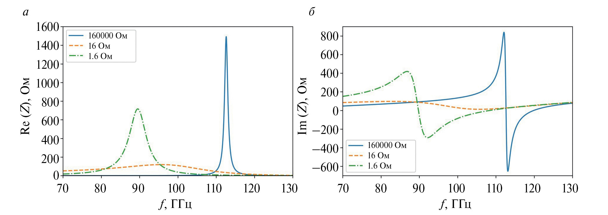
На рис. 2 приведены частотные зависимости действительной и мнимой частей эффективного импеданса структуры, соответствующие трем различным значениям дифференциального сопротивления pin-диодов: 1.6 Ом, 16 Ом и 160 кОм. Данные значения сопротивления были выбраны исходя из вольт-амперных характеристик коммерчески доступных кремниевых pin-диодов. На кривых, соответствующих крайним значениям сопротивления pin-диода на рис. 2а – 1.6 Ом (зеленый) и 160 кОм (синий), можно заметить выраженные резонансные пики на частотах 89 и 112 ГГц, соответственно. Обращение в ноль мнимой части импеданса системы в этих точках (рис. 2б) свидетельствует о выполнении условий резонанса, положение которого существенно сдвигается при изменении сопротивления pin-диода.
Рис. 2. Зависимости действительной (а) и мнимой (б) частей эффективного импеданса фазовращательного элемента от частоты для различных дифференциальных сопротивлений pin-диода
Частотные зависимости коэффициента пропускания и фазового сдвига в W-диапазоне, рассчитанные для различных сопротивлений pin-диодов, представлены на рис. 3. Вблизи резонансов, соответствующих крайним значениям сопротивления pin-диодов, наблюдаются максимумы коэффициента пропускания (рис. 3а) и отсутствие фазового сдвига (рис. 3б). Варьируя напряжение смещения на pin-диодах при фиксированной частоте, наибольшего фазового сдвига порядка Δφ ~ 90° удается достичь в диапазонах 95 – 105 ГГц и 115 – 118 ГГц. В соответствии с постановкой задачи оптимальное соотношение пропускания и сдвига фазы наблюдается вблизи рабочей частоты фазового элемента f = 96 ГГц.
Рис. 3. Зависимости коэффициента пропускания фазового элемента (а) и фазового сдвига прошедшей электромагнитной волны (б) от частоты при различных сопротивлениях pin-диодов
Важно отметить, что поворотом фазы в исследуемом фазовращателе можно управлять непрерывным образом, перестраивая дифференциальное сопротивление pin-диодов при помощи напряжения смещения. Зависимость сдвига фазы прошедшей волны для фиксированной частоты f = 96 ГГц от дифференциального сопротивления pin-диодов приведена на рис. 4.
Рис. 4. Зависимость фазового сдвига прошедшей электромагнитной волны на частоте 96 ГГц от дифференциального сопротивления pin-диодов
Продемонстрированная выше возможность непрерывного изменения фазового сдвига в диапазоне от 0 до 87° является важным преимуществом предлагаемой модели фазового элемента. Метаповерхность на основе массива таких активных элементов позволит значительно более тонко управлять диаграммой направленности проходящей волны по сравнению с метаповерхностями с дискретным набором состояний фазовращателей. В этой связи важным параметром является постоянство коэффициента пропускания поверхности при изменении дифференциальных сопротивлений pin-диодов. Отметим, что наименьший разброс значений коэффициента пропускания фазового элемента наблюдаются как раз на рабочей частоте f = 96 ГГц (рис. 3а).
Оптимизация модели может быть осуществлена за счет варьирования геометрических параметров структуры, исходя из оптимального для конкретной задачи соотношения между сдвигом фазы и коэффициентом пропускания.
ЗАКЛЮЧЕНИЕ
Таким образом, предложена модель перестраиваемого фазовращательного элемента W-диапазона на основе планарного метаматериала со встроенными pin-диодами. Численный расчет модели продемонстрировал возможность непрерывного и контролируемого управления сдвигом фазы в диапазоне от 0 до 87° в указанной структуре на частоте 96 ГГц с потерями не более –7 дБ. На основе предложенного фазового элемента может быть сконструирована фазированная антенная решетка для широкого класса применений в субтерагерцовом спектральном диапазоне.
Работа выполнена при поддержке Российского научного фонда (проект № 19-72-30003).
Об авторах
А. С. Казаков
Московский физико-технический институт (национальный исследовательский университет); Московский государственный университет имени М.В. Ломоносова
Автор, ответственный за переписку.
Email: askazakov@physics.msu.ru
Россия, Долгопрудный; Москва
П. А. Гусихин
Институт физики твердого тела имени Ю.А. Осипьяна Российской академии наук
Email: askazakov@physics.msu.ru
Россия, Черноголовка
И. В. Андреев
Институт физики твердого тела имени Ю.А. Осипьяна Российской академии наук
Email: askazakov@physics.msu.ru
Россия, Черноголовка
В. М. Муравьев
Институт физики твердого тела имени Ю.А. Осипьяна Российской академии наук
Email: askazakov@physics.msu.ru
Россия, Черноголовка
И. В. Кукушкин
Институт физики твердого тела имени Ю.А. Осипьяна Российской академии наук
Email: askazakov@physics.msu.ru
Россия, Черноголовка
Список литературы
- Dang S., Amin O., Shihada B. et al. // Nature Electron. 2020. V. 3. No. 1. P. 20.
- Rasilainen K., Phan T.D., Berg M. et al. // IEEE J. Sel. Areas Commun. 2020. V. 41. No. 8. P. 2530.
- Fu X., Yang F., Liu C. et al. // Adv. Opt. Mater. 2019. V. 8. No. 3. Art. No. 1900628.
- Guo Y., Guo Y., Li C. et al. // Appl. Sciences. 2021. V. 11. No. 9. P. 4017.
- Rice M. Digital communications: a discrete-time approach. Pearson Prentice Hall, 2009. 796 с.
- Веселаго В.Г. // УФН. 1967. Т. 92. № 7. С. 517.
- Smith D.R., Pendry J.B., Wiltshire M.C.K. // Science. 2004. V. 305. No. 5685. P. 788.
- Shalaev V.M. // Nature Photon. 2007. V. 1. No. 1. P. 41.
- Кильдишев А.В., Шалаев В.М. // УФН. 2011. T. 181. № 1. С. 59; Kildishev A.V., Shalaev V.M. // Phys. UsP. 2011. V. 54. No. 1. P. 53.
- Holloway C.L., Kuester E.F., Gordon J.A. et al. // IEEE Antennas Propag. Mag. 2012. V. 54. No. 2. P. 10.
- Yu N., Capasso F. // Nature Mater. 2014. V. 13. No. 2. P. 139.
- Yu Y.F., Zhu A.Y., Paniagua‐Domínguez R. et al. // Laser Photon. Rev. 2015. V. 9. No. 4. P. 412.
- Chen H.T., Taylor A.J., Yu N. // Rep. Prog. Phys. 2016. V. 79. No. 7. Art. No. 076401.
- Ремнев М.А., Климов В.В. // УФН. 2018. Т. 188. № 2. С. 169; Remnev M.A., Klimov V.V. // Phys. Usp. 2018. V. 61. No. 2. P. 157.
- Yu N., Genevet P., Kats M.A. et al. // Science. 2011. V. 334. No. 6054. P. 333.
- Pfeiffer C., Grbic A. // Phys. Rev. Lett. 2013. V. 110. No. 19. Art. No. 197401.
- Decker M., Staude I., Falkner M. et al. // Adv. Opt. Mater. 2015. V. 3. No. 6. P. 813.
- Chen M., Kim M., Wong A.M. et al. // Nanophotonics. 2018. V. 7. No. 6. P. 1207.
- Yu N., Aieta F., Genevet P. et al. // Nano Lett. 2012. V. 12. No. 12. P. 6328.
- Sun S., Yang K.Y., Wang C.M. et al. // Nano Lett. 2012. V. 12. No. 12. P. 6223.
- Pors A., Albrektsen O., Radko I.P. et al. // Sci. Reports. 2013. V. 3. No. 1. P. 2155.
- Huang L., Chen X., Muhlenbernd H. // Nano Lett. 2012. V. 12. No. 11. P. 5750.
- Sun S., He Q., Hao J. et al. // Adv. Opt. Photon. 2019. V. 11. No. 2. P. 380.
- Yang F., Pitchappa P., Wang N. // Micromachines. 2022. V. 13. No. 2. P. 285.
- Zeng H., Gong S., Wang L. // Nanophotonics. 2021. V. 11. No. 3. P. 415.
- Sievenpiper D.F., Schaffner J.H., Song H.J. et al. // IEEE Antennas Propag. Mag. 2003. V. 51. No. 10. P. 2713.
- Parlak M., Buckwalter J.F. // IEEE Microw. Wirel. Compon. Lett. 2010. V. 20. No. 11. P. 631.
- Zhang Y., Zhao Y., Liang S. et al. // Nanophotonics. 2018. V. 8. No. 1. P. 153.
- Zhang Y., Qiao S., Liang S. et al. // Nano Lett. 2015. V. 15. No. 5. P. 3501.
- Cui T.J., Qi M.Q., Wan X. et al. // Light Sci. Appl. 2014. V. 3. No. 10. P. 218.
- Pan X., Yang F., Xu S., Li M. // Proc. IEEE Ap-S/URSI (San Diego, 2017). P. 2055.
- Pan X., Wang S., Li G. et al. // Proc. IEEE MTT-S IWS (Chengdu, 2018). P. 1.
- Chieh J.C.S., Rowland J., Sharma S. // Electron. Lett. 2018. V. 54. No. 17. P. 1040.
- Chaimool S., Hongnara T., Rakluea C. et al. // Int. J. Antennas Propag. 2019. V. 2019. Art. No. 7216324.
- Zhang Z., Lan F., Mazumder P. et al. // Proc. IEEE PIERS-Fall (Rome, 2019). P. 3232.
- Al-Tag A.A., Al-mahdi R.M., Al-hedari et al. // Proc. eSmarTA2022 (Ibb, 2022). P. 1.
- Montori S., Chiuppesi E., Farinelli P. et al. // Int. J. Microw. Wirel. Technol. 2011. V. 3. No. 5. P. 521.
- Perez-Palomino G., Barba M., Encinar J.A. et al. // IEEE Antennas Propag. Mag. 2015. V. 63. No. 8. P. 3722.
- Gaebler A., Moessinger A., Goelden F. et al. // Int. J. Antennas Propag. 2009. V. 2009. Art. No. 876989.
- Levin B.J., Weidner G.G. // Proc. IEEE G-MTT Int. Microw. Symp. (Boulder, 1973). P. 65.
- Nguyen C., Yen P. // Proc. IEEE16th EuMC1986. (Dublin, 1986). P. 133.
- Stephan K.D., Goldsmith P.F. // Proc. IEEE MTT-S Microw. Symp. Digest (Albuquerque, 1992). P. 591.
- Lowe K., Lynch D.D., Panaretos S. et al. Diode patch phase shifter insertable into a waveguide. US Patent No. 5170140. 1992.
- Dzhikirba K.R., Shuvaev A., Khudaiberdiev D. et al. // Appl. Phys. Lett. 2023. V. 123. No. 5. Art. No. 052104.
Дополнительные файлы






