On the parametric few-cycle light bullets
- Authors: Koshkin K.V.1, Sazonov S.V.1,2,3, Kalinovich A.A.1, Komissarova M.V.1
-
Affiliations:
- Lomonosov Moscow State University
- National Research Centre “Kurchatov Institute”
- Moscow Aviation Institute (National Research University)
- Issue: Vol 88, No 1 (2024)
- Pages: 68-73
- Section: Wave Phenomena: Physics and Applications
- URL: https://ogarev-online.ru/0367-6765/article/view/264548
- DOI: https://doi.org/10.31857/S0367676524010121
- EDN: https://elibrary.ru/SALGWS
- ID: 264548
Cite item
Full Text
Abstract
Numerical simulation demonstrates that (2D+1) few-cycle (3–5 oscillations under the envelope) light bullets may form in the medium with quadratic nonlinearity and group velocity anomalous dispersion under conditions of second-harmonic generation. It is shown that as the number of oscillations under the envelope decreases, the parameters of such two-frequency solitons change.
Keywords
Full Text
ВВЕДЕНИЕ
Волновые пакеты, локализованные в пространстве и во времени, принято называть пространственно-временными солитонами (ПВС), или световыми пулями (СП). Такие уединенные импульсы могут оставаться устойчивыми по мере распространения в среде за счет баланса линейных (дисперсия, дифракция) и нелинейных эффектов.
Квазимонохроматические СП подробно исследуются в последние годы в средах с различным порядком нелинейности. Большим преимуществом квадратично-нелинейных сред является отсутствие коллапса, характерного для сред с кубичной нелинейностью и приводящего к неустойчивости солитонного решения [1]. Важным фактором для формирования СП является знак дисперсии групповой скорости (ДГС). Возможность формирования двухчастотных ПВС при генерации второй гармоники в среде с квадратичной нелинейностью была теоретически предсказана [2, 3] и экспериментально подтверждена [4, 5] более двадцати лет назад. В 2017 г. с помощью аналитического метода усредненного Лагранжиана, а также численного моделирования были исследованы плоские “дышащие” двухчастотные СП при аномальной ДГС [6]. Под “дышащим” режимом подразумевается то, что параметры СП осциллируют вокруг некоторого среднего значения, причем осцилляции для первой и второй гармоник синфазны по каждому из параметров. В качестве среды, в которой возможно формирование подобных структур, было предложено использовать мелкодисперсные среды [6, 7]. Такие среды состоят из изотропного вещества со статическим показателем преломления, в котором присутствуют гранулы оптически активного вещества, обладающего сильно выраженными дисперсионными свойствами. ДГС в мелкодисперсных средах будет отрицательной именно за счет пространственной дисперсии [7]. Отметим, что отсутствие ДГС на частоте второй гармоники не является препятствием для формирования двухчастотной параметрической СП в среде с квадратичной нелинейностью [8].
Предельно короткие импульсы (ПКИ) и их исследования относятся к актуальным проблемам современной нелинейной оптики [9, 10]. Интерес к ПКИ носит также и прикладной характер, обусловленный развитием систем детектирования объектов и передачи информации. Некоторые методы анализа ПКИ были предложены в работах [11–16]. В работе [12] к импульсам длительностью в несколько периодов осцилляций электромагнитного поля применялось понятие огибающей сигнала. По сравнению с квазимонохроматическими малопериодные двухчастотные СП исследованы существенно меньше. Среди немногих публикаций по этой теме можно отметить работу [17], в которой были исследованы малопериодные СП в присутствии волновода при нормальной ДГС. В настоящей работе мы изучаем возможность формирования малопериодных СП в однородной анизотропной среде с аномальной ДГС для обеих гармоник.
ОСНОВНЫЕ УРАВНЕНИЯ
В книге [18] для ПКИ длительностью меньше одной пикосекунды вводится обобщенное многомерное нелинейное уравнение Шредингера, учитывающее дисперсию и дифракцию высших порядков. В работе [19] по аналогичному алгоритму выведены уравнения, описывающие процесс генерации второй гармоники ПКИ с учетом дисперсии третьего порядка и дисперсии нелинейности. Обобщая результаты [18, 19], можно записать систему уравнений для огибающих A1 и A2 электрического поля импульса на основной частоте и на второй гармонике:
(1)
(2)
где A1,2 – медленно меняющиеся амплитуды обеих гармоник, — время, z – направление распространения, — групповая расстройка, — коэффициенты ДГС, — коэффициенты дисперсии третьего порядка, k1,2 — волновые числа, , – коэффициенты нелинейности, — коэффициенты дисперсии нелинейности, n1,2 — показатели преломления, – восприимчивости.
Схожим образом эффекты высших порядков учитывались в работе [17]. В работе [6] методом усредненного Лагранжиана при выполнении условий фазового и группового синхронизма был аналитически получен вид квазимонохроматических ПВС. При этом коэффициенты ДГС на частотах основной и второй гармоник были связаны следующим образом:
(3)
БЕЗРАЗМЕРНАЯ СИСТЕМА УРАВНЕНИЙ
Для численного эксперимента система (1)–(2) обезразмерена следующим образом:
(4)
(5)
где N = ωτin, Ain – начальная пиковая амплитуда на основной частоте, Rin — начальная ширина импульса, tin — начальная длительность импульса.
На вход в среду подаются компоненты на обеих частотах, имеющие гауссовскую огибающую:
(6)
МАЛОПЕРИОДНЫЕ СВЕТОВЫЕ ПУЛИ
Мы подбираем параметры, при которых квазимонохроматический сигнал с N = 10 устойчиво распространяется. Для световой пули наблюдается “дышащий” режим с синфазными колебаниями амплитуд обеих гармоник. Отличительным признаком влияния эффектов высших порядков является возрастающее смещение во времени центра сигнала, что соответствует изменению групповых скоростей обеих компонент. Этот эффект обусловлен наличием дисперсии третьего порядка и дисперсии нелинейности, причем если положительный коэффициент дисперсии нелинейности (Db > 0) приводит к положительному сдвигу, то отрицательная дисперсия третьего порядка (Dγ < 0) — к отрицательному сдвигу.
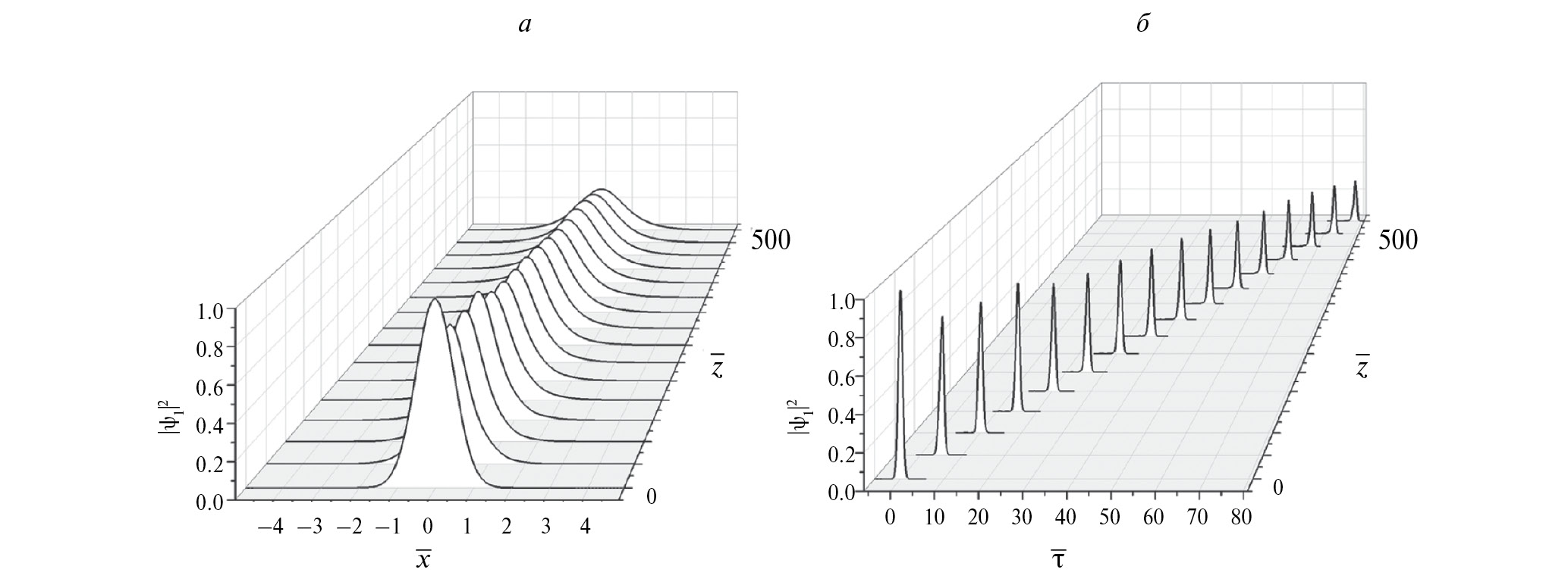
При уменьшении числа осцилляций до N = 5 влияние дисперсии на характер распространения импульса возрастает. Сдвиг в положительном направлении увеличивается, при этом форма сигнала в целом приближенно остается гауссовской, устойчивый режим все еще наблюдается. Если уменьшить число осцилляций до N = 3, можно наблюдать серьезные отличия (рис. 1).
Рис. 1. Пространственный профиль сигнала (N = 3) на основной частоте при различных значениях (а). Временной профиль сигнала (N = 3) на основной частоте при различных значениях (б).
Рис. 1а и 1б иллюстрируют изменения соответственно пространственного и временного распределения интенсивности на основной частоте на расстояниях до 500 нелинейных длин при N = 3. Указанные профили существенно изменяются вдоль продольной координаты: по сравнению с N = 5 сдвиг во времени еще больше возрастает, ширина и длительность пули увеличиваются, а энергия убывает по мере распространения в среде. Похожим образом изменяется профиль сигнала на частоте второй гармоники.
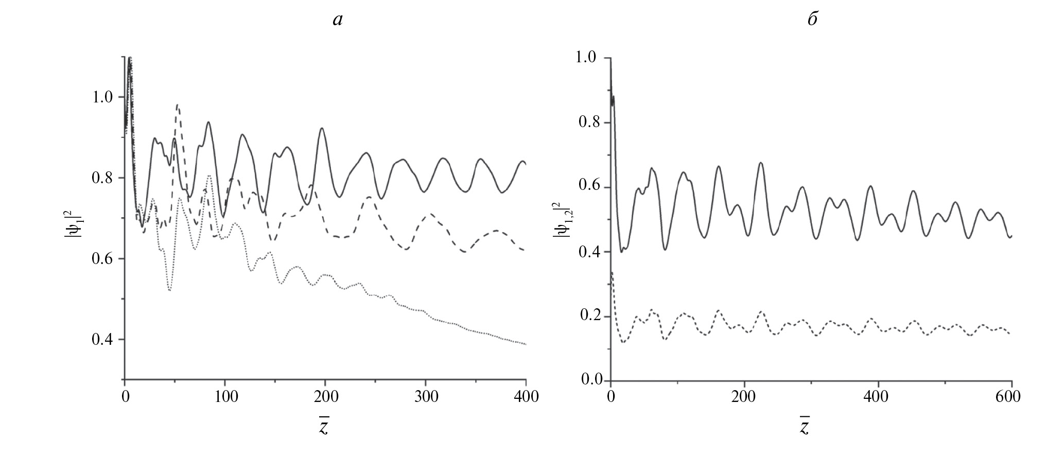
На рис. 2а приведены зависимости пиковых интенсивностей сигналов на основной частоте от продольной координаты при различных значениях N. Видно, что при N = 3 (короткий пунктир) устойчивый режим распространения световой пули нарушается. Увеличивая параметры Dβ1,2 (отвечающие за конкуренцию ДГС и нелинейности), мы возвращаем устойчивый режим (рис. 2б). Длительность сигнала сначала увеличивается, после осциллирует вокруг некоторого среднего значения, что свидетельствует о формировании СП. Отметим, что параметры такого солитона (амплитуда, длительность, ширина) будут отличаться от параметров той пули, которая получалась первоначально, до модификации параметров. Изменение параметров Dβ1,2 при постоянной входной длительности может осуществляться за счет изменения интенсивности импульса на входе в среду. При этом зафиксировать безразмерные коэффициенты дифракции Dβ1,2 можно путем изменения входной ширины импульса.
Рис. 2. Зависимость пиковых интенсивностей сигналов на основной частоте от продольной координаты при разных N. Сплошная линия N = 4, пунктирная N = 3.2, короткий пунктир N = 3 (а). Зависимость пиковых интенсивностей на основной частоте и на второй гармонике (сплошная и пунктирная линии соответственно) от продольной координаты при N = 3 (б).
Также исследовался случай нулевой ДГС на частоте второй гармоники. Для случаев N = 10,5 наблюдался устойчивый режим, что в целом характерно для квазимонохроматических световых пуль. Для более коротких импульсов N = 3 режим остается неустойчивым (рис. 3).
Рис. 3. Зависимость пиковых интенсивностей сигналов на основной частоте и на второй гармонике (сплошные верхняя и нижняя линии соответственно) от продольной координаты при N = 3 Пунктирные верхняя и нижняя линии — пиковые интенсивности в случае нулевой ДГС на частоте второй гармоники
Необходимую для формирования СП отрицательную ДГС для некоторых кристаллов можно найти в инфракрасном диапазоне λ ≈ 1 мкм. Например, для кристаллов KDP и LiNbO3 ДГС в диапазоне прозрачности можно оценить по формуле Зельмейера [20]. Соответствующая иллюстрация приведена на рис. 4. Однако соотношение (3) между отрицательными коэффициентами ДГС возможно лишь в средах с пространственной дисперсией, например, в микродисперсных неоднородных средах [6, 7].
Рис. 4. Зависимость коэффициента ДГС β1,2 от длины волны для LiNbO3. Сплошная и пунктирная линии — ДГС на основной частоте и второй гармонике соответственно.
Рассмотрим изотропную твердотельную матрицу со статическим показателем преломления n ≈ 1, в которой находятся гранулы некоего оптически активного вещества, например, LiNbO3. Размер гранул меньше расстояния между ними и много меньше длины волны. В этом случае, пренебрегая рассеянием на гранулах, можно учесть пространственную дисперсию. По аналогии с работой [7] волновое число приближенно задается выражением:
(7)
где α1,2 могут быть отрицательными или положительными величинами. Для дисперсионного соотношения (6) условие (3) может выполняться при отрицательных ДГС. Полагая частоту сигнала ω ≈ 1015 Гц, резонансную частоту ω0 ≈ 1016 Гц, χ(2) = 10–8 СГСЭ (для LiNbO3), можно оценить дисперсионные длины (табл. 1) [6, 7]. Видно, что при уменьшении длительности импульса роль дисперсии третьего порядка существенно возрастает.
Табл. 1. Значения для дисперсионных длин
Длительность импульса, фс | Дисперсионная длина lд, см | Дисперсионная длина lд3, см |
10 | 1.6 | 48 |
5 | 0.4 | 6 |
3 | 0.14 | 1 |
2 | 0.06 | 0.4 |
ЗАКЛЮЧЕНИЕ
Квазиоптическое описание процесса генерации второй гармоники малопериодными импульсами требует учета эффектов высших порядков, таких как дисперсия второго и третьего порядков, квадратичная дисперсия нелинейности и дисперсия дифракции. В ходе численных экспериментов показано, что двухчастотная световая пуля, распространяющаяся устойчиво в квазимонохроматическом режиме (большое число осцилляций под огибающей N), при переходе в малопериодный режим (уменьшение длительности до трех осцилляций под огибающей) изменяет свои основные параметры, но сохраняет возможность устойчивого распространения. Групповые скорости обеих гармоник при этом также изменяются.
Исследование выполнено при поддержке Междисциплинарной научно-образовательной школы Московского университета “Фотонные и квантовые технологии. Цифровая медицина”.
About the authors
K. V. Koshkin
Lomonosov Moscow State University
Author for correspondence.
Email: koshkin.kv19@physics.msu.ru
Russian Federation, Moscow
S. V. Sazonov
Lomonosov Moscow State University; National Research Centre “Kurchatov Institute”; Moscow Aviation Institute (National Research University)
Email: koshkin.kv19@physics.msu.ru
Russian Federation, Moscow; Moscow; Moscow
A. A. Kalinovich
Lomonosov Moscow State University
Email: koshkin.kv19@physics.msu.ru
Russian Federation, Moscow
M. V. Komissarova
Lomonosov Moscow State University
Email: koshkin.kv19@physics.msu.ru
Russian Federation, Moscow
References
- Kanashov A.A., Rubenchik M. // Physica D. 1981. V. 4. No. 1. P. 122.
- Skryabin D.V., Firth W.J. // Opt. Commun. 1998. V. 148. P. 79.
- Malomed B.A., Drummond P., He H. et al. // Phys. Rev. E. 1997. V. 56. P. 4725.
- Liu X., Beckwitt K., Wise F. // Phys. Rev. E. 2000. V. 62. P. 1328.
- Liu X., Qian L., Wise F. // Phys. Rev. Lett. 1999. V. 82. No. 2. P. 83.
- Sazonov S.V., Mamaikin M.S., Zakharova I.G., Komissarova M.V. // Phys. Wave Phenom. 2017. V. 25. P. 83.
- Сазонов С.В. // Опт. и спектроск. 1995. Т. 79. № 2. С. 282.
- Сазонов С.В., Комиссарова М.В. // Письма в ЖЭТФ. 2020. Т. 111. № 6. С. 355; Sazonov S.V., Komissarova M.V. // JETP Lett. 2020. V. 111. No. 6. P. 355.
- Brabec T., Krausz F. // Rev. Modern Phys. 2000. V. 71. No. 2. P. 545.
- Желтиков А.М. Сверхкороткие импульсы и методы нелинейной оптики. М.: Физматлит, 2006.
- Архипов Р.М., Архипов М.В., Бабушкин И. и др. // Письма в ЖЭТФ. 2021. Т. 114. № 5. С. 298; Arkhipov R.M., Arkhipov M.V., Babushkin I. et al. // JETP Lett. 2021. V. 114. No. 5. P. 298.
- Brabec T., Krausz F. // Phys. Rev. Lett. 1997. V. 78. No. 17. P. 3282.
- Маймистов А.И. // Квант. электрон. 2000. Т. 30. № 4. C. 287; Maimistov A.I. // Quantum. Electron. 2000. V. 30. No. 4. P. 287.
- Козлов С.А., Сазонов С.В. // ЖЭТФ. 1997. Т. 111. № 2. C. 404; Kozlov S.A., Sazonov S.V. // JETP. 1997. V. 111. No. 2. P. 221.
- Маймистов А.И. // Квант. электрон. 2010. Т. 40. № 9. С. 756; Maimistov A.I. // Quant. Electron. 2010. V. 40. No. 9. P. 756.
- Розанов Н.Н. // Опт. и спектроск. 2009.Т. 107. № 5. С. 761; Rosanov N.N. // Opt. Spectrosc. 2009. V. 107. No. 5. P. 721.
- Komissarova M.V., Sazonov S.V., Kalinovich A.A., Zakharova I.G. // Proc. SPIE. 2019. V. 11026. Art. No. 110260L.
- Кившарь Ю.С., Агравал Г.П. Оптические солитоны: от волоконных световодов к фотонным кристаллам. М.: Физматлит, 2005; Kivshar Yu.S., Agrawal G.P. Optical solitons: from fibers to photonic crystals. N. Y.: Academic Press, 2005.
- Trofimov V.A., Stepanenko S., Razgulin A. // PLoS ONE. 2019. V. 14. No. 12. Art. No. e0226119.
- Nikogosyan D.N. Nonlinear optical crystals: a complete survey. Springer Science+Business Media Inc., 2005.
Supplementary files






