Свойства титановых фольг после облучения электронным пучком с дозами до 1 ГГр
- Авторы: Сергеев П.Б.1, Ковалец Н.П.1,2, Кожина Е.П.1, Бедин С.А.1,2
-
Учреждения:
- Федеральное государственное бюджетное учреждение науки Физический институт имени П.Н. Лебедева Российской академии наук, Троицкое обособленное подразделение
- Федеральное государственное бюджетное образовательное учреждение высшего образования Московский педагогический государственный университет
- Выпуск: Том 87, № 12 (2023)
- Страницы: 1819-1822
- Раздел: Статьи
- URL: https://ogarev-online.ru/0367-6765/article/view/232557
- DOI: https://doi.org/10.31857/S0367676523703131
- EDN: https://elibrary.ru/QIXXOK
- ID: 232557
Цитировать
Полный текст
Аннотация
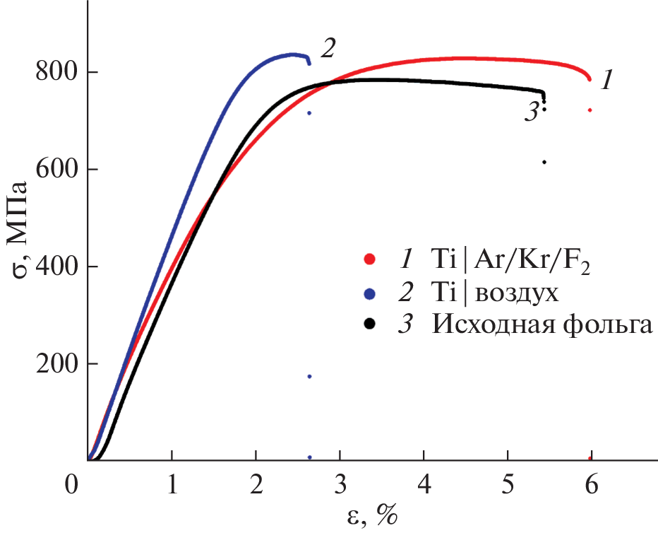
Изучены свойства титановых фольг, которые длительное время проработали в электронных пушках электронно-пучковых эксимерных лазеров. Прочность на разрыв у этих фольг не изменялась при облучении импульсами электронного пучка (300 кэВ) с дозами до 1 ГГр. На поверхности Ti фольг, контактировавших с фтором, содержащимся в газовой смеси при облучении электронным пучком, методом комбинационного рассеяния света были обнаружены пики, соответствующие TiO2, TiN и TiF.
Об авторах
П. Б. Сергеев
Федеральное государственное бюджетное учреждение наукиФизический институт имени П.Н. Лебедева Российской академии наук,
Троицкое обособленное подразделение
Автор, ответственный за переписку.
Email: sergeevpb@lebedev.ru
Россия, Москва
Н. П. Ковалец
Федеральное государственное бюджетное учреждение наукиФизический институт имени П.Н. Лебедева Российской академии наук,
Троицкое обособленное подразделение; Федеральное государственное бюджетное образовательное учреждение высшего образования
Московский педагогический государственный университет
Email: sergeevpb@lebedev.ru
Россия, Москва; Россия, Москва
Е. П. Кожина
Федеральное государственное бюджетное учреждение наукиФизический институт имени П.Н. Лебедева Российской академии наук,
Троицкое обособленное подразделение
Email: sergeevpb@lebedev.ru
Россия, Москва
С. А. Бедин
Федеральное государственное бюджетное учреждение наукиФизический институт имени П.Н. Лебедева Российской академии наук,
Троицкое обособленное подразделение; Федеральное государственное бюджетное образовательное учреждение высшего образования
Московский педагогический государственный университет
Email: sergeevpb@lebedev.ru
Россия, Москва; Россия, Москва
Список литературы
- Sergeev P.B. // J. Russ. Laser Res. 1993. V. 14. No 4. P. 237.
- Егоров И.С., Кайканов М.И., Ремнев Г.Е. // Изв. Томск. политехн. ун-та. 2013. Т. 322. № 2. С. 91.
- Sergeev P.B., Sergeev A.P. // Изв. вузов. Физика. 2006. № 11. (Приложение). С. 332.
- Сергеев П.Б., Морозов Н.В. // Опт. и спектроск. 2019. Т. 126. № 3. С. 280; Sergeev P.B., Morozov N.V. // Opt. Spectrosс. 2019. V. 126. No. 3. P. 200.
- Комаров Д.В., Коновалов С.В., Жуков Д.В. и др. // Ползуновский вестник. 2021. № 4. С. 129.
- Blanco-Pinzon C., Liu Z., Voisey K. et al. // Corrosion Sci. 2005. V. 47. P. 1251.
- Kiselyova E.S., Sypchenko V.S., Nikitenkov N. et al. // Lett. Materials. 2017. V. 7. No. 2. P. 117.
- Hardcastle F.D. // J. Arkansas Acad. Sci. 2011. V. 65. Art. No. 9.
- Gerasimova Y.V., Krylov A.S., Vtyurin A.N. et al. // Ferroelectrics. 2020. V. 568. P. 185.
- Gerasimova Y.V., Oreshonkov A.S., Laptash N.M. et al. // J. Raman Spectrosc. 2018. V. 49. No. 7. P. 1230.
- Wang Q.Z., Zhou F., Zhou Z.F. et al. // Surf. Coat. Technol. 2012. V. 206. P. 3777.
- Spengler W., Kaiser R., Christensen A.N. et al. // Phys. Rev. B. 1978. V. 17. No. 3. P. 1095.
- Tuschel D. // Spectroscopy. 2019. V. 34. No. 3. P. 10.
- Palliyaguru L., Kulathunga S.U., Jayarathna L.I. et al. // Int. J. Miner. Metall. Mater. 2020. V. 27. No. 6. P. 846.
- Hanaor D.A.H., Sorrell C.C. // J. Mater. Sci. 2011. V. 46. P. 855.
Дополнительные файлы







