Некоторые особенности электростатики незаряженных тонкостенных проводников цилиндрической и конической формы
- Авторы: Савин В.П.1, Кокшаров Ю.А.1,2
-
Учреждения:
- Федеральное государственное бюджетное образовательное учреждение “Московский государственный университет имени М.В. Ломоносова”, физический факультет
- Федеральное государственное бюджетное учреждение науки “Институт радиотехники и электроники имени В.А. Котельникова Российский академии наук”
- Выпуск: Том 87, № 11 (2023)
- Страницы: 1667-1673
- Раздел: Статьи
- URL: https://ogarev-online.ru/0367-6765/article/view/232522
- DOI: https://doi.org/10.31857/S0367676523702885
- EDN: https://elibrary.ru/FKMZWW
- ID: 232522
Цитировать
Полный текст
Аннотация
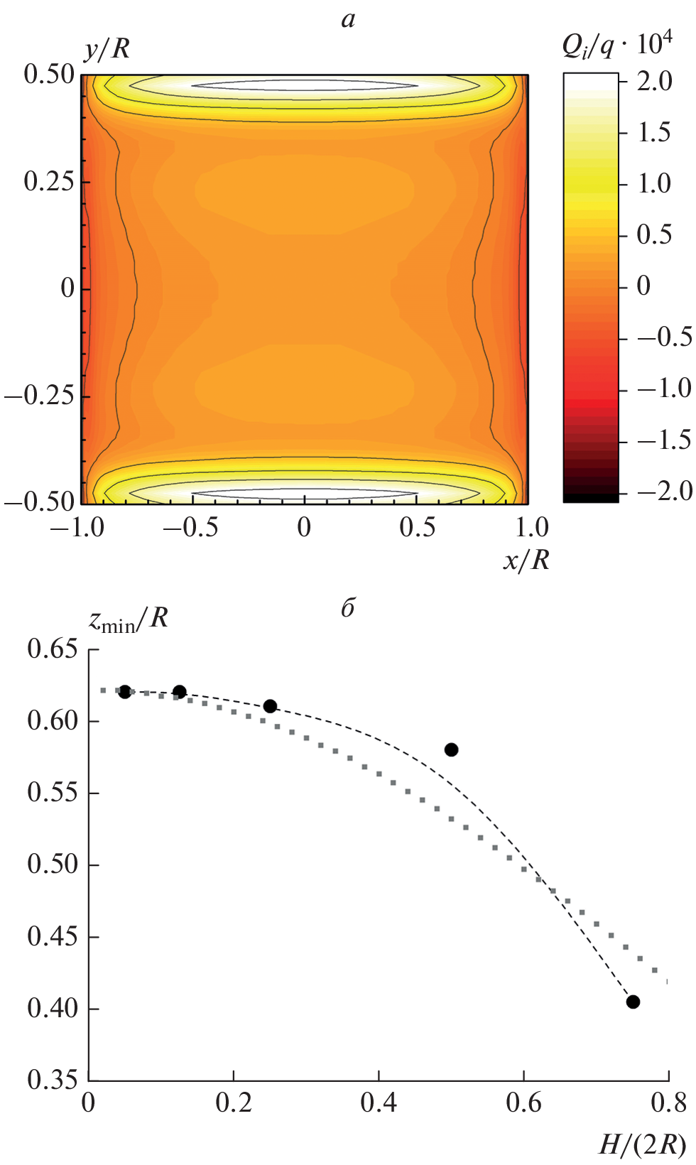
Показано, что для тонкостенных незаряженных проводников цилиндрической и конической формы в поле точечного заряда, существует электростатический “эффект отталкивания”, ранее предсказанный для проводников с несквозной полостью. Аксиальная симметрия полости не обязательна для проявления эффекта. Это доказывает возможность существования “эффекта отталкивания” для проводников с различными типами полости.
Об авторах
В. П. Савин
Федеральное государственное бюджетное образовательное учреждение“Московский государственный университет имени М.В. Ломоносова”, физический факультет
Автор, ответственный за переписку.
Email: svladimir1999@yandex.ru
Россия, Москва
Ю. А. Кокшаров
Федеральное государственное бюджетное образовательное учреждение“Московский государственный университет имени М.В. Ломоносова”, физический факультет; Федеральное государственное бюджетное учреждение науки
“Институт радиотехники и электроники имени В.А. Котельникова Российский академии наук”
Email: svladimir1999@yandex.ru
Россия, Москва; Россия, Москва
Список литературы
- Jadhaoa V., Thomasa C.K., de la Cruz M.O. // Proc. Nat. Acad. Sci. 2014. V. 111. No. 35. P. 12673.
- Honig B., Nicholls A. // Science. 1995. V. 268. No. 5214. P. 1144.
- Majic M. // Amer. J. Phys. 2022. V. 90. No. 9. P. 682.
- Ciftja O., Beharie K., Beharie T. // Eur. J. Phys. 2019. V. 40. No. 1. Art. No. 015501.
- Levin M., Johnson S.G. // Amer. J. Phys. 2011. V. 79. No. 8. P. 843.
- Savin V.P., Koksharov Yu.A. // J. Electrostat. 2022. V. 120. Art. No. 103 769.
- Lekner J. // J. Electrostat. 2022. V. 118. Art. No. 103 721.
- Khair A.S. // J. Appl. Phys. 2013. V. 114. Art. No. 134 906.
- Rylander T., Bondeson A., Ingelström P. Computational electromagnetics. N.Y.: Springer, 2013. 302 p.
- Chew W.C., Jin J.-M., Michielssen E., Song J. Fast and efficient algorithms in computational electromagnetics. London: Artech House, 2001. 949 p.
- Gibson W.C. The method of moments in electromagnetics. London: CRC Press, 2022. 510 p.
- Graglia R.D., Peterson A.F. Higher-order techniques in computational electromagnetics. Edison: Scitech Publishing, 2015. 409 p.
Дополнительные файлы






