Процессы стеклообразования в фуллереновых смесях
- Авторы: Хайруллина Р.Р.1, Хуснутдинов Р.М.1,2
-
Учреждения:
- Федеральное государственное автономное образовательное учреждение высшего образования “Казанский (Приволжский) федеральный университет”
- Федеральное государственное бюджетное учреждение науки “Удмуртский федеральный исследовательский центр Уральского отделения Российской академии наук”
- Выпуск: Том 87, № 11 (2023)
- Страницы: 1607-1612
- Раздел: Статьи
- URL: https://ogarev-online.ru/0367-6765/article/view/232490
- DOI: https://doi.org/10.31857/S0367676523702782
- EDN: https://elibrary.ru/GFLTWW
- ID: 232490
Цитировать
Полный текст
Аннотация
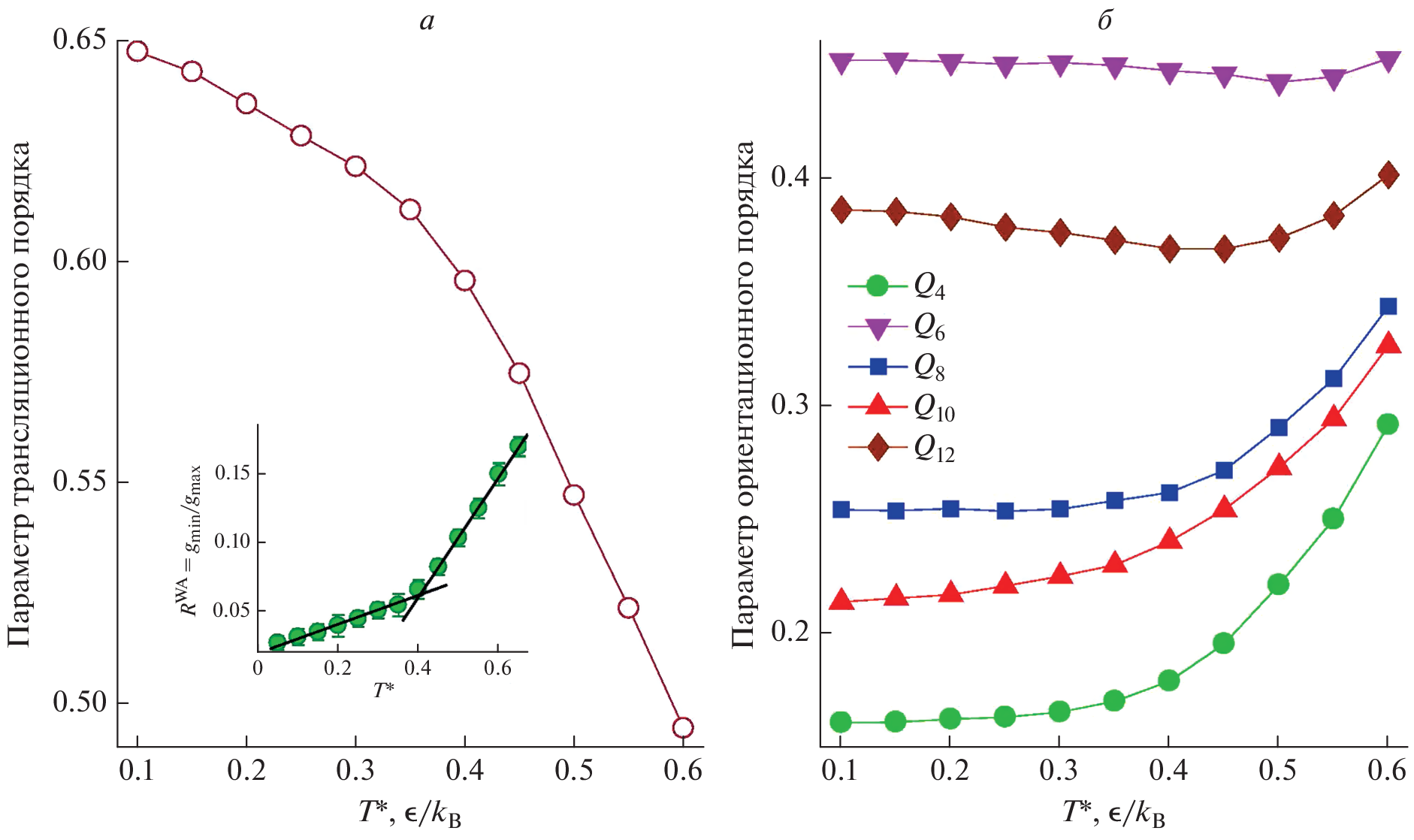
Изучены локальные структурные особенности фуллереновой смеси A20B80 (где A = C60 и B = C70) для широкой области температур, с целью выяснения механизма формирования икосаэдрического ближнего порядка в бинарных молекулярных жидкостях. Выявлено наличие икосаэдрических кластеров в фазе переохлажденного расплава и определена критическая температура стеклования.
Об авторах
Р. Р. Хайруллина
Федеральное государственное автономное образовательное учреждение высшего образования“Казанский (Приволжский) федеральный университет”
Автор, ответственный за переписку.
Email: raniya-art@mail.ru
Россия, Казань
Р. М. Хуснутдинов
Федеральное государственное автономное образовательное учреждение высшего образования“Казанский (Приволжский) федеральный университет”; Федеральное государственное бюджетное учреждение науки
“Удмуртский федеральный исследовательский центр Уральского отделения Российской академии наук”
Email: raniya-art@mail.ru
Россия, Казань; Россия, Ижевск
Список литературы
- Коваленко В.И., Хаматгалимов А.Р. // Усп. хим. 2006. Т. 75. № 11. С. 1094; Kovalenko V.I., Khamatgalimov A.R. // Russ. Chem. Pev. 2006. V. 75. No. 11. P. 981.
- Хаматгалимов А.Р., Коваленко В.И. // Рос. хим. журн. 2004. Т. 48. № 5. С. 28.
- Krätschmer W., Lamb L.D., Fostiropoulos K., Huffman D.R. // Nature. 1990. V. 347. P. 354.
- Kroto H.W., Heath J.R., O’Brien S.C. et al. // Nature. 1985. V. 318. P. 162.
- Бражкин В.В., Ляпин А.Г., Ляпин С.Г. и др. // УФН. 1997. Т. 167. С. 1019; Brazhkin V.V., Lyapin A.G., Lyapin S.G. // Phys. Usp. 1997. V. 40. No. 6. P. 969.
- Елецкий А.В., Смирнов Б.М. // УФН. 1995. Т. 165. С. 977; Eletskii A.V., Smirnov B.M. // Phys. Usp. 1995. V. 38. P. 965.
- Бражкин В.В., Ляпин А.Г. // УФН. 1996. Т. 166. С. 893; Brazhkin V.V., Lyapin A.G. // Phys. Usp. 1996. V. 39. No. 6. P. 837.
- Агафонов С.С., Глазков В.П., Кокин И.Ф., Соменков В.А. // ФТТ. 2010. Т. 52. № 6. С. 1245; Agafonov S.S., Glazkov V.P., Kokin I.F., Somenkov V.A. // Phys. Solid State. 2010. V. 52. No. 6. P. 1329.
- Borisova P.A., Blanter M.S., Brazhkin V.V., Somenkov V.A., Filonenko V. P. // J. Phys. Chem. Solids. 2015. V. 83. P. 104.
- Хуснутдинов Р.М., Мокшин А.В., Тахавиев И.Д. // ФТТ. 2015. Т. 57. № 2. С. 393; Khusnutdinoff R.M., Mokshin A.V., Takhaviev I.D. // Phys. Solid State. 2015. V. 57. No. 2. P. 412.
- Хуснутдинов Р.М., Хайруллина Р.Р. // ФТТ. 2023. Т. 65. № 1. С. 164.
- Girifalco L.A. // J. Chem. Phys. 1991. V. 95. P. 5370.
- Kniaź K., Fischer J.E., Girifalco L.A. et al. // Solid State Commun. 1995. V. 96. P. 739.
- Zubov V.I., Zubov I.V. // J. Phys. Chem. B. 2005. V. 109. P. 14627.
- Хуснутдинов Р.М., Мокшин А.В. // Изв. РАН. Сер. физ. 2010. Т. 74. № 5. С. 677; Khusnutdinoff R.M., Mokshin A.V. // Bull. Russ. Acad. Sci. Phys. 2010. V. 74. No. 5. P. 640.
- Jakse N., Le Bacq O., Pasturel A. // Phys. Rev. B. 2004. V. 70. Art. No. 174203.
- Yan Z., Buldyrev S.V., Kumar P. et al. // Phys. Rev. E. 2007. V. 76. Art. No. 051201.
- Steinhardt P.J., Nelson D.R., Ronchetti M. // Phys. Rev. B. 1983. V. 28. P. 784.
- Lechner W., Dellago C. // J. Chem. Phys. 2008. V. 129. Art. No. 114707.
- Хуснутдинов Р.М., Хайруллина Р.Р., Юнусов М.Б. // ФТТ. 2023. Т. 65. № 2. С. 339.
- Wang C.C., Dong K.J., Yu A.B. // AIP Conf. Proc. 2013. V. 1542. P. 353.
- Pan S.-P., Feng S.-D., Qiao J.-W. et al. // Sci. Reports. 2015. V. 5. P. 16956.
- Блантер М.С., Бражкин В.В., Филоненко В.П., Борисова П.А.// Изв. РАН. Сер. физ. 2018. Т. 82. № 9. С. 1207; Blanter M.S., Brazhkin V.V., Filonenko V.P., Borisova P.A. // Bull. Russ. Acad. Sci. Phys. 2018. V. 82. No. 9. P. 1096.
- Борисова П.А., Блантер М.С., Бражкин В.В. и др. // Изв. РАН. Сер. физ. 2021. Т. 85. № 9. С. 990; Borisova P.A., Blanter M.S., Brazhkin V.V. et al. // Bull. Russ. Acad. Sci. Phys. 2021. V. 85. P. 765.
Дополнительные файлы





