Shear strength of Al–Cu alloy with different types of hardening precipitates: molecular dynamics and continuum modeling
- Authors: Bezborodova P.A.1, Krasnikov V.S.1, Gazizov M.R.2, Mayer A.E.1, Pogorelko V.V.1
-
Affiliations:
- Chelyabinsk State University
- Belgorod State National Research University
- Issue: Vol 87, No 11 (2023)
- Pages: 1562-1568
- Section: Articles
- URL: https://ogarev-online.ru/0367-6765/article/view/232479
- DOI: https://doi.org/10.31857/S036767652370271X
- EDN: https://elibrary.ru/FOQZPF
- ID: 232479
Cite item
Full Text
Abstract
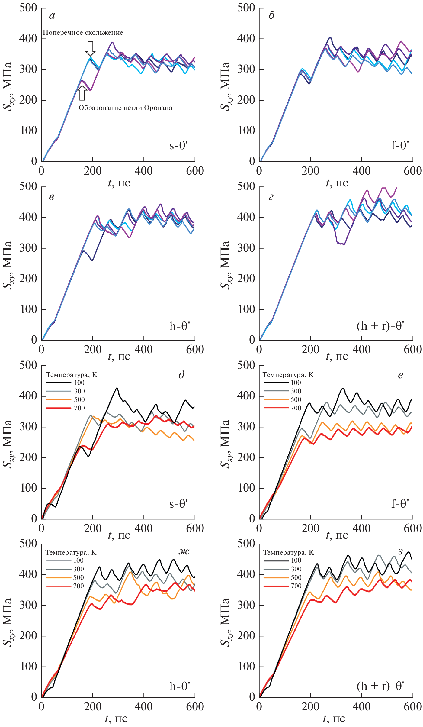
A molecular dynamics study of the motion of dislocations in aluminum containing hardening copper precipitates is carried out. The paper considers the interaction of dislocation with four types of precipitates, the structure of which was determined in experimental work. The energy of dislocation segments attached to hardening phases is determined and used as a parameter of the continuum model of the dislocation-precipitate interaction. An increase in energy is observed for hybrid precipitates compared to non-hybrid ones.
About the authors
P. A. Bezborodova
Chelyabinsk State University
Author for correspondence.
Email: ibragimova-polin@mail.ru
Russia, 454001, Chelyabinsk
V. S. Krasnikov
Chelyabinsk State University
Email: ibragimova-polin@mail.ru
Russia, 454001, Chelyabinsk
M. R. Gazizov
Belgorod State National Research University
Email: ibragimova-polin@mail.ru
Russia, 308015, Belgorod
A. E. Mayer
Chelyabinsk State University
Email: ibragimova-polin@mail.ru
Russia, 454001, Chelyabinsk
V. V. Pogorelko
Chelyabinsk State University
Email: ibragimova-polin@mail.ru
Russia, 454001, Chelyabinsk
References
- Polmear I.J. Light metals: from traditional alloys to nanocrystals. 4rd ed. Oxford: Elsevier/Butterworth-Heinemann, 2006.
- McDowell D.L. // Int. J. Plast. 2010. V. 26. P. 1280.
- Ковалевская Т.А., Данейко О.И. // Изв. РАН. Сер. физ. 2021. Т. 85. № 7. С. 1002; Kovalevskaya T.A., Daneyko O.I. // Bull. Russ. Acad. Sci. Phys. 2021. V. 85. No. 7. P. 776.
- Варюхин В.Н., Малашенко В.В. // Изв. РАН. Сер. физ. 2018. Т. 82. № 9. С. 1213; Varyukhin V.N., Malashenko V.V. // Bull. Russ. Acad. Sci. Phys. 2018. V. 82. No. 9. P. 1101.
- Porter D.A., Easterling K.E., Sherif M.Y. Phase transformations in metals and alloys. N.Y.: CRC Press, 2014.
- Konno T.J., Hiraga K., Kawasaki M. // Scripta. Mater. 2001. V. 44. No. 8–9. P. 2303.
- Gao L., Li K., Ni S. et al. // J. Mater. Sci. Technol. 2021. V. 61. P. 25.
- da Costa Teixeira J., Cram D.G., Bourgeois L. et al. // Acta Mater. 2008. V. 56. No. 20. P. 6109.
- Chen Y., Zhang Z., Chen Z. et al. // Acta Mater. 2017. V. 125. P. 340.
- Ma Z., Zhan L., Liu C. et al. // Int. J. Plast. 2018. V. 110. P. 183.
- Liu H., Papadimitriou I., Lin F.X., Lorca J.L. et al. // Acta Mater. 2019. V. 167. P. 121.
- Zhou L., Wu C.L., Xie P. et al. // J. Mater. Sci. Technol. 2021. V. 75. P. 126.
- Bourgeois L., Medhekar N.V., Smith A.E. et al. // Phys. Rev. Lett. 2013. V. 111. Art. No. 069901.
- Liu C., Ma Z., Ma P. et al. // Mater. Sci. Eng. A. 2018. V. 733. P. 28.
- Krasnikov V.S., Mayer A.E., Pogorelko V.V. et al. // Int. J. Plast. 2020. V. 125. P. 169.
- Krasnikov V.S., Mayer A.E., Pogorelko V.V. // Int. J. Plast. 2020. V. 128. Art. No. 102672.
- Fomin E.V., Mayer A.E., Krasnikov V.S. // Int. J. Plast. 2021. V. 146. Art. No. 103095.
- Mahata A., Zaeem M.A. // J. Cryst. Growth. 2019. V. 527. Art. No. 125255.
- Haapalehto M., Pinomaa T., Wang L., Laukkanen A. // Comput. Mater. Sci. 2022. V. 209. Art. No. 111356.
- Hirel P. // Comput. Phys. Comm. 2015. V. 197. P. 212.
- Daw M.S., Foiles S.M., Baskes M.I. // Mater. Sci. Rep. 1993. V. 9. 251.
- Berendsen H.J.C., Postma J.P.M., van Gunsteren W.F. // J. Chem. Phys. 1984. V. 81. Art. No. 8.
- Plimpton S. // J. Comp. Phys. 1995. V. 117. P. 1.
- Apostol F., Mishin Y. // Phys. Rev. B. 2011. V. 83. Art. No. 054116.
- Stukowski A. // Mater. Sci. Eng. 2010. V. 18. Art. No. 015012.
- Krasnikov V.S., Mayer A.E. // Int. J. Plast. 2019. V. 119. P. 21.
Supplementary files






