Investigation of semiconductor materials by the thermo-optical method in a magnetic field
- Authors: Kotov A.N.1, Starostin A.A.1, Shangin V.V.1, Bobin S.B.2, Lonchakov A.T.2
-
Affiliations:
- Institute of Thermal Physics of the Ural Branch of the Russian Academy of Sciences
- Mikheev Institute of Metal Physics of the Ural Branch of the Russian Academy of Sciences
- Issue: Vol 87, No 11 (2023)
- Pages: 1547-1553
- Section: Articles
- URL: https://ogarev-online.ru/0367-6765/article/view/232477
- DOI: https://doi.org/10.31857/S0367676523702691
- EDN: https://elibrary.ru/FXXHRC
- ID: 232477
Cite item
Full Text
Abstract
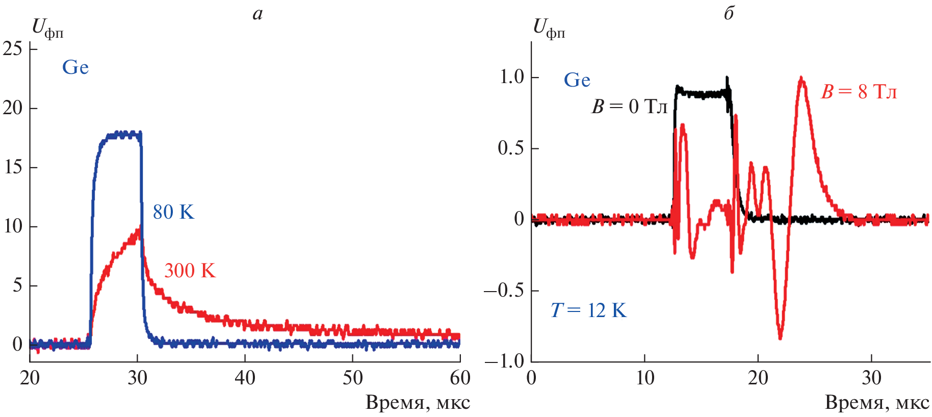
The results of studying the effect of temperature and magnetic field on the relaxation of the thermo-optical signal in semiconductor samples with different electronic spectra n-Ge, n-InSb, ZnSe:Ni are presented. The results were obtained using a two-beam fiber-optic “pump–probe” method with a Fabry–Perot interferometer in the temperature range from 4.2 to 300 K with the application of a magnetic field up to 8 T. The significant change of behavior of reflected probing beam with wavelength of 1530 nm was found after the action of a pump pulse for the sample of n-Ge at temperatures below 30 K and a field induction of more than 2 T. This phenomenon is caused by transformation of electronic structure.
About the authors
A. N. Kotov
Institute of Thermal Physics of the Ural Branch of the Russian Academy of Sciences
Author for correspondence.
Email: artem625@mail.ru
Russia, 620016, Yekaterinburg
A. A. Starostin
Institute of Thermal Physics of the Ural Branch of the Russian Academy of Sciences
Email: artem625@mail.ru
Russia, 620016, Yekaterinburg
V. V. Shangin
Institute of Thermal Physics of the Ural Branch of the Russian Academy of Sciences
Email: artem625@mail.ru
Russia, 620016, Yekaterinburg
S. B. Bobin
Mikheev Institute of Metal Physics of the Ural Branch of the Russian Academy of Sciences
Email: artem625@mail.ru
Russia, 620108, Yekaterinburg
A. T. Lonchakov
Mikheev Institute of Metal Physics of the Ural Branch of the Russian Academy of Sciences
Email: artem625@mail.ru
Russia, 620108, Yekaterinburg
References
- Алферов Ж.И., Вавилов В.С. Оптические процессы в полупроводниках. М.: Мир, 1973. 456 с.
- Ю П., Кардона М. Основы физики полупроводников. М.: ФИЗМАТЛИТ, 2002. 560 с.
- Уханов Ю.И. Оптические свойства полупроводников М.: Наука, 1977. 366 с.
- Сухоруков Ю.П., Телегин А.В., Бессонов В.Д. и др. // Изв. РАН. Сер. физ. 2013. Т. 77. № 10. С. 1482; Sukhorukov Yu.P., Telegin A.V., Bessonov V.L. et al. // Bull. Russ. Acad. Sci. Phys. 2013. V. 77. No. 10. P. 1275.
- Ганьшина Е.А., Припеченков И.М., Перова Н.Н. и др. // Изв. РАН. Сер. физ. 2023. Т. 87. № 3. С. 328; Ganshina A.A., Pripechenkov I.M., Perova N.N. et al. // Bull. Russ. Acad. Sci. Phys. 2023. V. 87. No. 3. P. 282.
- Starostin A.A., Shangin V.V., Lonchakov A.T. et al. // Annalen der Physik. 2020. V. 532. No. 8. Art. No. 1900586.
- Romanova E., Kuzyutkina Y., Shiryaev V. et al. // J. Non-Cryst. Solids. 2018. V. 480. P. 13.
- Ваксман Ю.Ф., Ницук Ю.А., Яцун В.В. и др. // ФТП. 2010. Т. 44. № 2. С. 149; Vaksman Y.F., Nisuk Y.A., Yatsun V.V. et al. // Semiconductors. 2010. V. 44. No. 2. P. 141.
- Прохоров А.М. Исследования неравновесных носителей в германии при низких температурах. М.: Наука, 1985. 166 с.
- Сейсян Р.П. Спектроскопия диамагнитных экситонов. М.: Наука, 1984. 284 с.
- Сейсян Р.П. // ФТТ. 2016. Т. 58. № 5. С. 833; Seisyan R.P. // Phys. Solid State. 2016. V. 58. No. 5. С. 859.
- Сейсян Р.П., Савченко Г.М., Аверкиев Н.С. // ФТП. 2012. Т. 46. № 7. С. 896; Seisyan R.P., Savchenko G.M., Averkiev N.S. // Semiconductors. 2012. V. 46. No. 7. P. 873.
- Ландсберг Г.С. Оптика. М.: Физматлит, 2010. 848 с.
- Удд Э. Волоконно-оптические датчики. М.: Техносфера, 2008. 520 с.
- Бутусов М.М., Галкин С.Л., Оробинский С.П., Пал Б.П. Волоконная оптика и приборостроение. Л.: Машиностроение, 1987. 328 с.
- Окоси Т., Окамото К., Оцу М. и др. Волоконно-оптические датчики. Л.: Энергоатомиздат, 1990. 256 с.
- Лозовский В.Н., Лунин Л.С., Благин А.В. Градиентная жидкофазная кристаллизация многокомпонентных полупроводниковых материалов. Ростов-на-Дону: Изд.: СКНЦ ВШ, 2003. 376 с.
- Скворцов Л.А. Основы фототермической радиометрии и лазерной термографии. М.: Техносфера, 2017. 218 с.
- Тауц Я. Фото- и термоэлектрические явления в полупроводниках. М.: Изд-во иностр. лит., 1962. 253 с.
- Новицкий Л.А., Кожевников И.Г. Теплофизические свойства материалов при низких температурах. Справочник. М.: Машиностроение, 1975. 216 с.
Supplementary files






