Способы повышения предельного импульсного магнитного поля, вызывающего разрушение стального индуктора при многократном воздействии
- Авторы: Русских П.А.1, Болтачев Г.Ш.1, Паранин С.Н.1
-
Учреждения:
- Федеральное государственное бюджетное учреждение науки “Институт электрофизики Уральского отделения Российской академии наук”
- Выпуск: Том 87, № 11 (2023)
- Страницы: 1534-1540
- Раздел: Статьи
- URL: https://ogarev-online.ru/0367-6765/article/view/232475
- DOI: https://doi.org/10.31857/S0367676523702678
- EDN: https://elibrary.ru/FCSSRQ
- ID: 232475
Цитировать
Полный текст
Аннотация
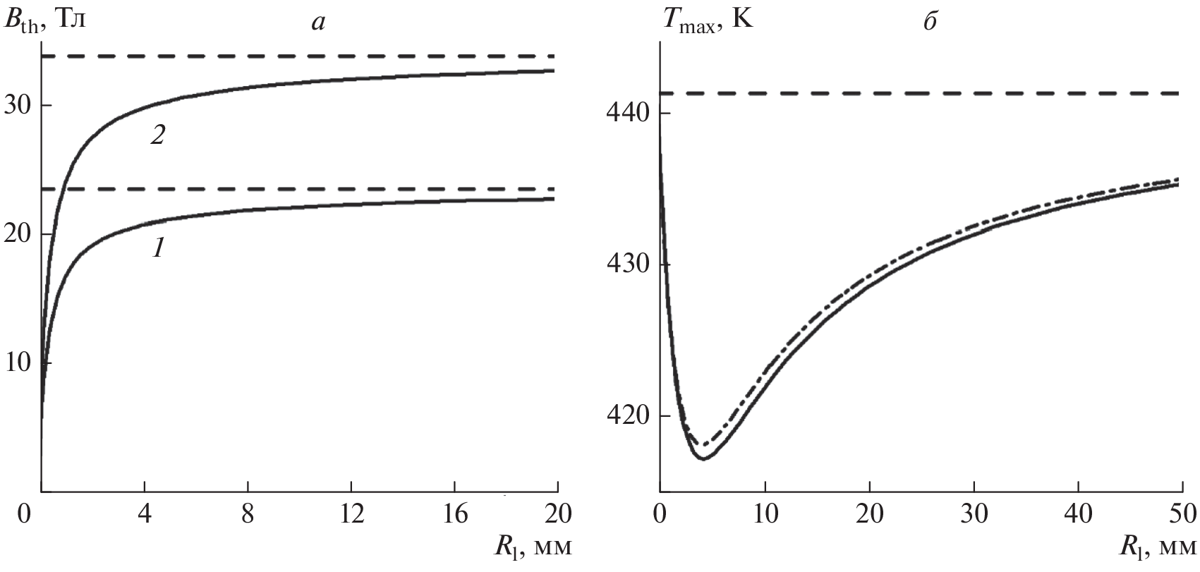
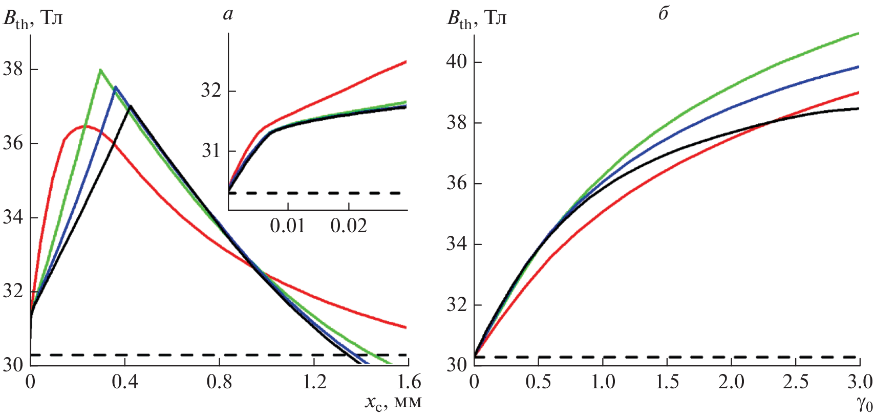
Рассмотрены способы увеличения импульсного магнитного поля амплитудой порядка 40 Тл, которое цилиндрический толстостенный индуктор из стали 30ХГСА может выдержать без разрушения при многократном воздействии. Способы включают изменение параметров материала, характеристик магнитного импульса, внутреннего радиуса, создание профиля удельного сопротивления, спадающего от внутренней поверхности вглубь материала.
Об авторах
П. А. Русских
Федеральное государственное бюджетное учреждение науки“Институт электрофизики Уральского отделения Российской академии наук”
Автор, ответственный за переписку.
Email: russkikh_p@inbox.ru
Россия, Екатеринбург
Г. Ш. Болтачев
Федеральное государственное бюджетное учреждение науки“Институт электрофизики Уральского отделения Российской академии наук”
Email: russkikh_p@inbox.ru
Россия, Екатеринбург
С. Н. Паранин
Федеральное государственное бюджетное учреждение науки“Институт электрофизики Уральского отделения Российской академии наук”
Email: russkikh_p@inbox.ru
Россия, Екатеринбург
Список литературы
- Русских П.А., Болтачев Г.Ш., Паранин С.Н. // ЖТФ. 2023. Т. 93. № 5. С. 654.
- Spirin A.V., Boltachev G.Sh, Krutikov V.I. et al. // AIP Conf. Proc. 2019. V. 2174. No. 1. Art. No. 020163.
- Krivosheev S.I., Adamian Yu.E., Alekseev D.I. et al. // J. Phys. Conf. Ser. 2019. V. 1147. Art. No. 012033.
- Карпова И.М., Титков В.В. // ЖТФ. 1994. Т. 64. № 7. С. 137.
- Карпова И.М., Титков В.В. // ЖТФ. 1995. Т. 65. № 6. С. 54.
- Russkikh P.A., Boltachev G.S., Paranin S.N. et al. // IEEE Trans. Plasma Sci. 2021. V. 49. No. 9. P. 2463.
- Spirin A.V., Russkikh P.A., Krutikov V.I. et al. // Proc. 20th Int. Symp. on High-Current Electronics. (Tomsk, 2018). P. 148.
- Karpova I.M., Semakhin A.N., Titkov V.V. et al. Analysis of methods of lowering heating of and thermal stresses in the coils in high magnetic fields. N.Y.: Nova Science Publ., 1990. P. 209.
- Шнеерсон Г.А. Поля и переходные процессы в аппаратуре сверхсильных токов. М.: Энергоатомиздат, 1992. 413 с.
- Spirin A.V., Zaytsev E.Y., Paranin S.N. // IEEE Trans. Magn. 2022. V. 58. No. 6. Art. No. 8401107.
- Алехина Ю.А., Перов Н.С. // Изв. РАН. Сер. физ. 2022. Т. 86. № 2. С. 170; Alekhina Y.A., Perov N.S. // Bull. Russ. Acad. Sci. Phys. 2022. V. 86. No. 2. P. 120.
- Орешкин В.И., Чайковский С.А., Дацко И.М. // Изв. РАН. Сер. физ. 2018. Т. 82. № 4. С. 457; Oreshkin V.I., Chaikovsky S.A., Datsko I.M. et al. // Bull. Russ. Acad. Sci. Phys. 2018. V. 82. No. 4. P. 399.
- Knoepfel H. Pulsed high magnetic fields. Physical effects and generation methods concerning pulsed fields up to the megaoersted level. Amsterdam-London: North-Holland Publ. Company, 1970. P. 372.
- Spirin A.V., Boltachev G.Sh., Paranin S.N. et al. // Proc. EAPPC / BEAMS. 2018. (Changsha, 2018) P. 172.
- Sedov L.I. Mechanics of continuous media. V. 1 and 2. Singapore: World Scientific, 1997. 1368 p.
- Бабичев А.П., Бабушкина Н.А., Братковский А.М. и др. Таблицы физических величин. М.: Энергоатомиздат, 1991. 1009 с.
Дополнительные файлы






