Взаимосвязь между распределением спиновой волны по толщине ферритовой пластины и направлениями ее групповой и фазовой скоростей
- Авторы: Локк Э.Г.1, Герус С.В.1
-
Учреждения:
- Федеральное государственное бюджетное учреждение науки Институт радиотехники и электроники имени В.А. Котельникова Российской академии наук, Фрязинский филиал
- Выпуск: Том 87, № 10 (2023)
- Страницы: 1494-1498
- Раздел: Статьи
- URL: https://ogarev-online.ru/0367-6765/article/view/141849
- DOI: https://doi.org/10.31857/S0367676523702605
- EDN: https://elibrary.ru/TURCIY
- ID: 141849
Цитировать
Полный текст
Аннотация
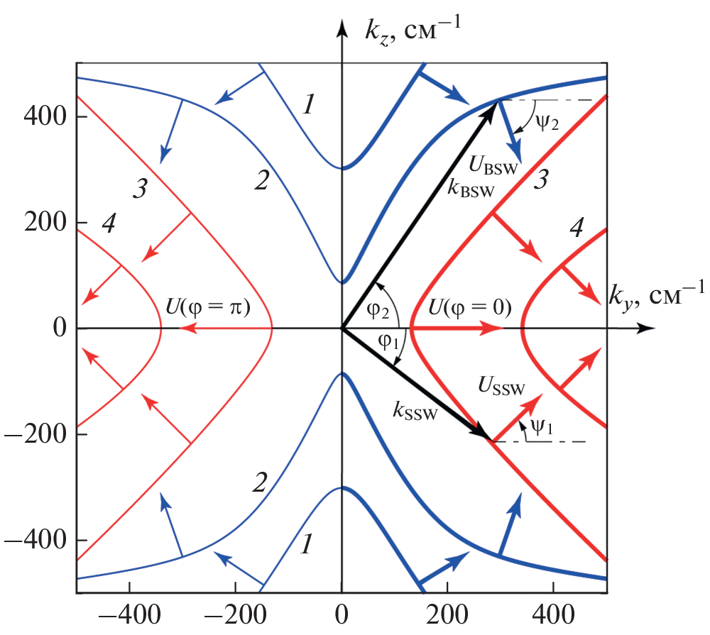
Исследованы общие невзаимные свойства поверхностной и обратной спиновых волн в касательно-намагниченной ферритовой пластине. Установлено правило, которое определяет взаимосвязь между локализацией спиновой волны по толщине ферритовой пластины и направлениями ее групповой и фазовой скоростей.
Об авторах
Э. Г. Локк
Федеральное государственное бюджетное учреждение наукиИнститут радиотехники и электроники имени В.А. Котельникова Российской академии наук, Фрязинский филиал
Автор, ответственный за переписку.
Email: edwin@ms.ire.rssi.ru
Россия, Фрязино
С. В. Герус
Федеральное государственное бюджетное учреждение наукиИнститут радиотехники и электроники имени В.А. Котельникова Российской академии наук, Фрязинский филиал
Email: edwin@ms.ire.rssi.ru
Россия, Фрязино
Список литературы
- Damon R.W., Eshbach J.R. // J. Phys. Chem. Sol. 1961. V. 19. No. 3/4. P. 308.
- Вапнэ Г.М. СВЧ устройства на магнитостатических волнах. Обзоры по электронной технике. Сер. 1. Электроника СВЧ, 1984.
- Вашковский А.В., Стальмахов В.С., Шараевский Ю.П. Магнитостатические волны в электронике сверхвысоких частот. Саратов: Изд-во Сарат. ун-та, 1993.
- Гуревич А.Г., Мелков Г.А. Магнитные колебания и волны. М.: Наука, 1994.
- Demokritov S.O., Slavin A.N. Topics in applied physics. V. 125. Magnonics: from fundamentals to applications Heidelberg: Springer-Verlag, 2013.
- Никитов С.А., Калябин Д.В., Лисенков И.В. и др. // УФН. 2015. Т. 185. № 10. С. 1099; Nikitov S.A., Kalyabin D.V., Lisenkov I.V. et al // Phys. Usp. 2015. V. 58. No. 4. P. 1002.
- Chumak A.V., Vasyuchka V.I., Serga A.A., Hillebrands B. // Nature Physics. 2015. V. 11. P. 453.
- Pirro P., Vasyuchka V.I., Serga A.A., Hillebrands B. // Nature Rev. Mater. 2021. V. 6. P. 1114.
- Вугальтер Г.А., Коровин А.Г. // Письма в ЖТФ. 1989. Т. 15. № 21. С. 73; Vugalter G.A., Korovin A.G. // Tech. Phys. Lett. 1989. V. 15. No. 21. P. 73.
- Анненков А.Ю., Герус С.В. // ЖТФ. 1999. Т. 69. № 1. С. 82; Annenkov A.Yu., Gerus S.V. // Tech. Phys. 1999. V. 44. No. 1. P. 74.
- Вашковский А.В., Локк Э.Г. // УФН. 2006. Т. 176. № 4. С. 403; Vashkovsky A.V., Lock E.H. // Phys. Usp. 2006. V. 49. No. 4. P. 389.
- Локк Э.Г. // УФН. 2008. Т. 178. № 4. С. 397; Lock E.H. // Phys. Usp. 2008. V. 51. No. 4. P. 375.
- Анненков А.Ю., Герус С.В. // Изв. РАН. Сер. физ. 2010. Т. 74. № 10. С. 1416; Annenkov A.Yu., Gerus S.V. // Bull. Russ. Acad. Sci. Phys. 2010. V. 74. No. 10. P. 1355.
- Annenkov A.Yu., Gerus S.V., Lock E.H. // EPJ Web Conf. 2018. V. 185. Art. No. 02006.
- Локк Э.Г. // Изв. РАН. Сер. физ. 2020. Т. 84. № 2. С. 174; Lock E.H. // Bull. Russ. Acad. Sci. Phys. 2020. V. 84. No. 2. P. 134.
- Локк Э.Г. // Радиотехн. и электрон. 2020. Т. 65. № 3. С. 267; Lock E.H. // J. Commun. Technol. Electron. 2020. V. 65. No. 3. P. 265.
- Локк Э.Г. // Радиотехн. и электрон. 2018. Т. 63. № 8. С. 845; Lokk E.G. // J. Commun. Technol. Electron. 2018. V. 63. No. 8. P. 915.
- Локк Э.Г. // УФН. 2011. Т. 181. № 3. С. 293; Lock E.H. // Phys. Usp. 2011. V. 54. No. 3. P. 281.
Дополнительные файлы





