Генерация постоянного тока в дираковском кристалле в поле волны, поляризованной по фигуре Лиссажу
- Авторы: Крючков С.В.1,2, Кухарь Е.И.2, Тарасов В.В.2
-
Учреждения:
- Федеральное государственное бюджетное образовательное учреждение высшего образования “Волгоградский государственный социально-педагогический университет”
- Федеральное государственное бюджетное образовательное учреждение высшего образования “Волгоградский государственный технический университет”
- Выпуск: Том 87, № 10 (2023)
- Страницы: 1463-1467
- Раздел: Статьи
- URL: https://ogarev-online.ru/0367-6765/article/view/141844
- DOI: https://doi.org/10.31857/S0367676523702551
- EDN: https://elibrary.ru/TMCUJF
- ID: 141844
Цитировать
Полный текст
Аннотация
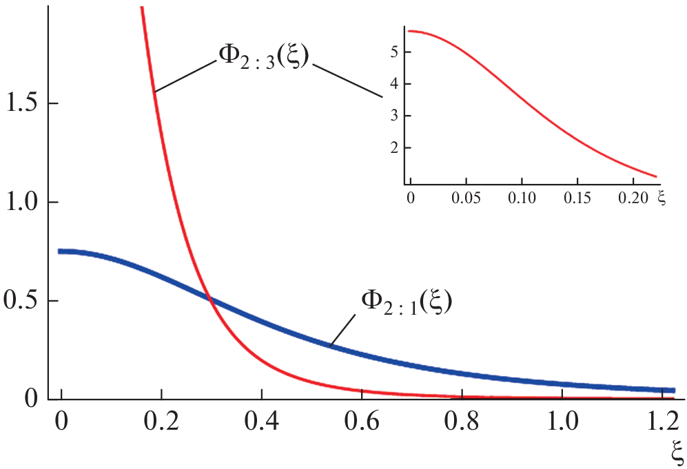
В рамках приближения постоянного времени релаксации вычислена постоянная составляющая плотности тока, возникающая в дираковском кристалле за счет переменного электрического поля волны, поляризованной по фигуре Лиссажу. Проанализированы амплитудные и частотные характеристики постоянного тока для различных соотношений частот. Намечены некоторые пути применения изучаемого эффекта.
Об авторах
С. В. Крючков
Федеральное государственное бюджетное образовательное учреждение высшего образования“Волгоградский государственный социально-педагогический университет”; Федеральное государственное бюджетное образовательное учреждение высшего образования
“Волгоградский государственный технический университет”
Email: eikuhar@yandex.ru
Россия, Волгоград; Россия, Волгоград
Е. И. Кухарь
Федеральное государственное бюджетное образовательное учреждение высшего образования“Волгоградский государственный технический университет”
Автор, ответственный за переписку.
Email: eikuhar@yandex.ru
Россия, Волгоград
В. В. Тарасов
Федеральное государственное бюджетное образовательное учреждение высшего образования“Волгоградский государственный технический университет”
Email: eikuhar@yandex.ru
Россия, Волгоград
Список литературы
- Bykov A.Y., Murzina T.V., Rybin M.G. et al. // Phys. Rev. B. 2012. V. 85. Art. No. 121413(R).
- Hong S.-Y., Dadap J.I., Petrone N. et al. // Phys. Rev. X. 2013. V. 3. Art. No. 021014.
- An Y.Q., Rowe J.E., Dougherty D.B. et al. // Phys. Rev. B. 2014. V. 89. Art. No. 115310.
- Lin K.-H., Weng S.-W., Lyu P.-W. et al. // Appl. Phys. Lett. 2014. V. 105. Art. No. 151605.
- Gu T., Petrone N., McMillan J.F. et al. // Nature Photonics. 2012. V. 6. P. 554.
- Zhang H., Virally S., Bao Q.L. et al. // Opt. Lett. 2012. V. 37. P. 1856.
- Vermeulen N., Castello-Lurbe D., Cheng J.L. et al. // Phys. Rev. Appl. 2016. V. 6. Art. No. 044006.
- Unterrainer K., Keay B.J., Wanke M.C. et al. // Phys. Rev. Lett. 1996. V. 76. P. 2973.
- Mikhailov S.A. // Europhys. Lett. 2007. V. 79. Art. No. 27002.
- Mikhailov S.A., Ziegler K. // J. Phys. Cond. Matter. 2008. V. 20. Art. No. 384204.
- Завьялов Д.В., Конченков В.И., Крючков С.В. // ФТТ. 2009. Т. 51. № 10. С. 2033; Zav’yalov D.V., Konchenkov V.I., Kryuchkov S.V. // Phys. Solid State. 2009. V. 51. P. 2157.
- Peres N.M.R., Bludov Y.V., Santos J.E. et al. // Phys. Rev. B. 2014. V. 90. Art. No. 125425.
- Шорохов А.В., Пятаев М.А., Хвастунов Н.Н. и др. // Письма в ЖЭТФ. 2014. Т. 100. № 12. С. 870; Shorokhov A.V., Pyataev M.A., Khvastunov N.N. et al. // JETP Lett. 2015. V. 100. P. 766.
- Mikhailov S.A. // Phys. Rev. B. 2017. V. 95. Art. No. 085432.
- Бадикова П.В., Глазов С.Ю. // Изв. РАН. Сер. физ. 2015. V. 79. № 12. P. 1650; Badicova P.V., Glazov S.Y. // Bull. Russ. Acad. Sci. Phys. 2015. V. 79. No. 12. P. 1443.
- Бадикова П.В., Глазов С.Ю., Сыродоев Г.А. // Изв. РАН. Сер. физ. 2020. Т. 84. № 1. С. 38; Badikova P.V., Glazov S.Y., Syrodoev G.A. // Bull. Russ. Acad. Sci. Phys. 2020. V. 84. No. 1. P. 30.
- Kryuchkov S.V., Kukhar E.I., Zav’yalov D.V. // Physica E. 2013. V. 53. P. 124.
- Kryuchkov S.V., Kukhar E.I., Zav’yalov D.V. // Phys. Wave Phenom. 2013. V. 21. P. 207.
- Cheng J.L., Vermeulen N., Sipe J.E. // Phys. Rev. B. 2015. V. 91. Art. No. 235320.
- Cheng J.L., Vermeulen N., Sipe J.E. // Sci. Reports. 2017. V. 7. Art. No. 43843.
- Завьялов Д.В., Крючков С.В., Марчук Э.В. // Письма в ЖТФ. 2008. Т. 34. С. 21; Zav’yalov D.V., Kryuchkov S.V., Marchuk E.V. // Tech. Phys. Lett. 2008. V. 34. P. 915.
- Крючков С.В., Кухарь Е.И., Яковенко В.А. // Изв. РАН. Сер. физ. 2010. Т. 74. № 12. С. 1759; Kryuchkov S.V., Kukhar E.I., Yakovenko V.A. // Bull. Russ. Acad. Sci. Phys. 2010. V. 74. No. 12. P. 1679.
- Кухарь Е.И., Крючков С.В., Ионкина Е.С. // Изв. РАН. Сер. физ. 2018. Т. 82. № 1. С. 101; Kukhar E.I., Kryuchkov S.V., Ionkina E.S. // Bull. Russ. Acad. Sci. Phys. 2018. V. 82. No. 1. P. 90.
- Khonina S.N., Ustinov A.V., Porfirev A.P. // Opt. Lett. 2020. V. 45. P. 4112.
- Khonina S.N., Degtyarev S.A., Ustinov A.V. et al. // Opt. Express. 2021. V. 29. Art. No. 18634.
- Zhou S.Y., Gweon G.-H., Fedorov A.V. et al. // Nature Mater. 2007. V. 6. P. 770.
- Mattausch A., Pankratov O. // Phys. Rev. Lett. 2007. V. 99. Art. No. 076802.
- Novikov D.S. // Phys. Rev. B. 2007. V. 76. Art. No. 245435.





