Характеризация вертикально ориентированных углеродных нанотрубок методом силовой микроскопии пьезоотклика
- Авторы: Ильина М.В.1, Соболева О.И.2, Полывянова М.Р.2, Селиванова Д.И.2, Хубежов С.А.2,3, Ильин О.И.2
-
Учреждения:
- Федеральное государственное автономное образовательное учреждение высшего образования “Южный федеральный университет”, Институт нанотехнологий, электроники и приборостроения
- Федеральное государственное автономное образовательное учреждение высшего образования “Южный федеральный университет”, Лаборатория технологии функциональных наноматериалов
- Федеральное государственное бюджетное образовательное учреждение высшего образования “Северо-Осетинский государственный университет имени Коста Левановича Хетагурова”
- Выпуск: Том 87, № 10 (2023)
- Страницы: 1397-1403
- Раздел: Статьи
- URL: https://ogarev-online.ru/0367-6765/article/view/141833
- DOI: https://doi.org/10.31857/S0367676523702447
- EDN: https://elibrary.ru/GXAYJJ
- ID: 141833
Цитировать
Полный текст
Аннотация
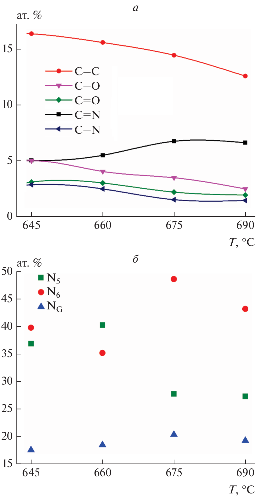
С использованием метода силовой микроскопии пьезоотклика охарактеризованы пьезоэлектрические свойства вертикально ориентированных углеродных нанотрубок и установлена их зависимость от концентрации легирующей примеси азота. Показано, что углеродные нанотрубки обладают преимущественно продольной поляризацией, что обусловлено направлением дипольного момента в бамбукообразных “перемычках” нанотрубок. Установлено, что уменьшение температуры роста от 690 до 645°С приводит к увеличению пьезоэлектрического модуля углеродных нанотрубок от 4.5 до 21.2 пм ⋅ В–1. Полученные результаты могут быть использованы при разработке энергоэффективных устройств нанопьезотроники.
Об авторах
М. В. Ильина
Федеральное государственное автономное образовательное учреждение высшего образования“Южный федеральный университет”, Институт нанотехнологий, электроники и приборостроения
Автор, ответственный за переписку.
Email: mailina@sfedu.ru
Россия, Таганрог
О. И. Соболева
Федеральное государственное автономное образовательное учреждение высшего образования“Южный федеральный университет”, Лаборатория технологии функциональных наноматериалов
Email: mailina@sfedu.ru
Россия, Таганрог
М. Р. Полывянова
Федеральное государственное автономное образовательное учреждение высшего образования“Южный федеральный университет”, Лаборатория технологии функциональных наноматериалов
Email: mailina@sfedu.ru
Россия, Таганрог
Д. И. Селиванова
Федеральное государственное автономное образовательное учреждение высшего образования“Южный федеральный университет”, Лаборатория технологии функциональных наноматериалов
Email: mailina@sfedu.ru
Россия, Таганрог
С. А. Хубежов
Федеральное государственное автономное образовательное учреждение высшего образования“Южный федеральный университет”, Лаборатория технологии функциональных наноматериалов; Федеральное государственное бюджетное образовательное учреждение высшего образования
“Северо-Осетинский государственный университет имени Коста Левановича Хетагурова”
Email: mailina@sfedu.ru
Россия, Таганрог; Россия, Владикавказ
О. И. Ильин
Федеральное государственное автономное образовательное учреждение высшего образования“Южный федеральный университет”, Лаборатория технологии функциональных наноматериалов
Email: mailina@sfedu.ru
Россия, Таганрог
Список литературы
- Wang Z.L. // Adv. Mater. 2012. V. 24. No. 34. P. 4632.
- Wang Z.L. // Adv. Mater. 2007. V. 19. No. 6. P. 889.
- Gao Y., Wang Z.L. // Nano Lett. 2007. V. 7. No. 8. P. 2499.
- Hu Y., Wang Z.L. // Nano Energy. 2014. V. 14. P. 3.
- Wang Z.L. // Nano Today. 2010. V. 5. No. 6. P. 540.
- He J. H., Hsin C. L., Liu J. et al. // Adv. Mater. 2007. V. 19. No. 6. P. 781.
- Mahapatra S. Das, Mohapatra P.C., Aria A.I. et al. // Adv. Sci. 2021. V. 8. No. 17. Art. No. 2100864.
- Choi I., Lee S.-J., Kim J.C. et al. // Appl. Surf. Sci. 2020. V. 511. Art. No. 145614.
- Wang X., Tian H., Xie W. et al. // NPG Asia Mater. 2015. V. 7. No. 1. Art. No. e154.
- da Cunha Rodrigues G., Zelenovskiy P., Romanyuk K. et al. // Nature Commun. 2015. V. 6. Art. No. 7572.
- Bistoni O., Barone P., Cappelluti E. et al. // 2D Mater. 2019. V. 6. No. 4. Art. No. 045015.
- Duggen L., Willatzen M., Wang Z.L. // J. Phys. Chem. C. 2018. V. 122. No. 36. P. 20581.
- Chandratre S., Sharma P. // Appl. Phys. Lett. 2012. V. 100. No. 2. Art. No. 023114.
- Ong M.T., Reed E.J. // ACS Nano 2012. V. 6. No. 2. P. 1387.
- Il’ina M.V., Il’in O.I., Guryanov A.V. et al. // J. Mater. Chem. C. 2021. V. 9. No. 18. P. 6014.
- Il’ina M., Il’in O., Osotova O. et al. // Carbon. 2022. V. 190. P. 348.
- Il’ina M.V., Osotova O.I., Rudyk N.N. et al. // Diam. Relat. Mater. 2022. V. 126. Art. No. 109069.
- Il’ina M.V., Soboleva O.I., Rudyk N.N. et al. // J. Adv. Dielectr. 2022. Art. No. 2241001.
- Il’ina M.V., Il’in O.I., Smirnov V.A. et al. Atomic-force microscopy and its applications. IntechOpen, 2019. P. 49.
- Агеев О.А., Ильин О.И., Коломийцев А.С. и др. // Нано-микросист. техн. 2012. № 3. С. 9.
- Il’ina M. V., Il’in O.I., Rudyk N.N. et al. // Nanomaterials. 2021. V. 11. No. 11. Art. No. 2912.
- Il’in O.I., Il’ina M.V., Rudyk N.N. et al. // Nanosyst. Phys. Chem. Math. 2018. V. 9. No. 1. P. 92.
- Neumayer S.M., Saremi S., Martin L.W. et al. // J. Appl. Phys. 2020. V. 128. No. 17. Art. No. 171105.
- Il’in O.I., Rudyk N.N., Fedotov A.A. et al. // Nanomaterials. 2020. V. 10. No. 3. Art. No. 554.
- Louchev O.A. // Phys. Stat. Sol. Appl. Res. 2002. V. 193. No. 3. P. 585.
- Lee W.J., Maiti U.N., Lee J.M. et al. // Chem. Commun. 2014. V. 50. No. 52. P. 6818.
- Yamada Y., Kim J., Matsuo S., Sato S. // Carbon. 2014. V. 70. P. 59.
- Inagaki M., Toyoda M., Soneda Y., Morishita T. // Carbon. 2018. V. 132. P. 104.
- Arenal R., Henrard L., Roiban L. et al. // Nano Lett. 2014. V. 14. No. 10. P. 5509.
- Kundalwal S.I., Meguid S.A., Weng G.J. // Carbon. 2017. V. 117. P. 462.
- Ильина М. В., Ильин О. И., Осотова О. И. и др. // Росс. нанотехнол. 2021. Т. 16. № 6. С. 857. Il’ina M.V., Il’in O.I., Osotova O.I. et al. // Nanobiotechnol. Rep. 2021. V. 16. No. 6. P. 821.
- Il’ina M.V., Il’in O.I., Osotova O.I. et al. // Diam. Relat. Mater. 2022. V. 123. Art. No. 108858.
Дополнительные файлы






