Fractal analysis of magneto-optical visualization of the remagnetization of a permanent magnet in a pulsed field
- Authors: Zigert A.D.1, Kuz’min N.B.1, Sdobnyakov N.Y.1, Ivanova A.I.1, Dunaeva G.G.1, Semenova E.M.1
-
Affiliations:
- Tver State University
- Issue: Vol 87, No 10 (2023)
- Pages: 1385-1388
- Section: Articles
- URL: https://ogarev-online.ru/0367-6765/article/view/141831
- DOI: https://doi.org/10.31857/S0367676523702423
- EDN: https://elibrary.ru/GWVHLK
- ID: 141831
Cite item
Full Text
Abstract
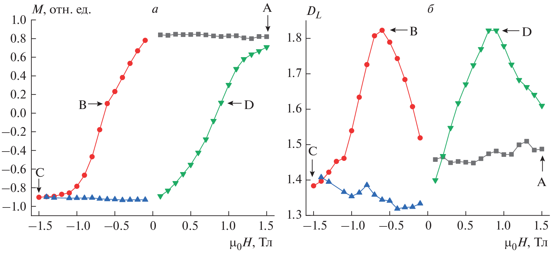
The results of fractal analysis of images of the surface of a permanent magnet KS37, obtained by the method of the polar Kerr effect using an indicator bismuth-containing ferrite-garnet film after magnetization reversal by a pulsed field of 0.1–1.5 T, are presented. The obtained dependences of the residual magnetization on the magnitude of the external pulsed field are compared with the fractal dimension of the magneto-optical images of the magnet surface after exposure to the pulsed field. It is shown that the maximum value of the fractal dimension corresponds to the demagnetized state of the magnet.
About the authors
A. D. Zigert
Tver State University
Email: nsdobnyakov@mail.ru
Russia, 170002, Tver
N. B. Kuz’min
Tver State University
Email: nsdobnyakov@mail.ru
Russia, 170002, Tver
N. Yu. Sdobnyakov
Tver State University
Author for correspondence.
Email: nsdobnyakov@mail.ru
Russia, 170002, Tver
A. I. Ivanova
Tver State University
Email: nsdobnyakov@mail.ru
Russia, 170002, Tver
G. G. Dunaeva
Tver State University
Email: nsdobnyakov@mail.ru
Russia, 170002, Tver
E. M. Semenova
Tver State University
Email: nsdobnyakov@mail.ru
Russia, 170002, Tver
References
- Coey M.H. // Engineering. 2020. V. 6. No. 2. P. 119.
- Gutfleisch O., Willard M.A., Brück E. et al. // Adv. Mater. 2011. V. 23. No. 7. P. 821.
- Wu C., Jin J. Frontiers in magnetic materials: from principles to material design and practical applications. CRC Press, 2022. 290 p.
- Fiorillo F. // Metrologia. 2010. V. 47. No. 2. Art. No. S114.
- Franco V., Dodrill B. Magnetic measurement techniques for materials characterization. Springer, 2021. 820 p.
- Hubert A., Schaefer R. Magnetic domains: analysis of magnetic microstructures. Berlin, Heidelberg: Springer-Verlag, 1998. 686 p.
- Karpenkov A., Skokov K.P., Dunaeva G. et al. // J. Physics D. 2022. V. 55. No. 45. Art. No. 455002.
- Иванов В.Е., Лепаловский В.Н. // Письма в ЖТФ. 2022. Т. 48. № 13. С. 20;
- Лисовский Ф.И., Лукашенко Л.И., Мансветова Е.Г. // Письма в ЖЭТФ. 2004. Т. 79. № 7. С. 432; Lisovskii F.V., Lukashenko L.I., Mansvetova E.G.// JETP Lett. 2004. V. 79. No. 7. P. 352.
- Зигерт А.Д., Дунаева Г.Г., Сдобняков Н.Ю. // Физ.-хим. асп. изуч. класт. наностр. и наномат. 2021. № 13. С. 134.
- Семенова Е.М. Иванов Д.В., Ляхова М.Б. и др. // Изв. РАН. Ceр. физ. 2021. Т. 85. № 9. С. 1245; Semenova E.M., Ivanov D.V., Lyakhova M.B. et al. // Bull. Russ. Acad. Sci. Ser. Phys. 2021. V. 85. No. 9. P. 955.
- Attané J.P., Tissier M., Marty A., Vila L. // Phys. Rev. B. 2010. V. 82. No. 2. Art. No. 024408.
- Semenova E.M., Lyakhova M.B., Kuznetsova Yu.V. et al. // J. Phys. Conf. Ser. 2020. V. 1658. Art. No. 012050.
- Zigert A.D., Dunaeva G.G., Semenova E.M. et al. // J. Supercond. Nov. Magn. 2022. V. 35. No. 8. P. 2187.
- http://gwyddion.net.
Supplementary files





