Partial photoneutron reaction cross sections in experiments with bremsstrahlung
- Authors: Varlamov V.V.1, Davydov A.I.2, Orlin V.N.1
-
Affiliations:
- Lomonosov Moscow State University, Skobeltsyn Institute of Nuclear Physics
- Lomonosov Moscow State University, Physics Faculty
- Issue: Vol 87, No 8 (2023)
- Pages: 1176-1185
- Section: Articles
- URL: https://ogarev-online.ru/0367-6765/article/view/135469
- DOI: https://doi.org/10.31857/S0367676523702113
- EDN: https://elibrary.ru/ZCSDPJ
- ID: 135469
Cite item
Full Text
Abstract
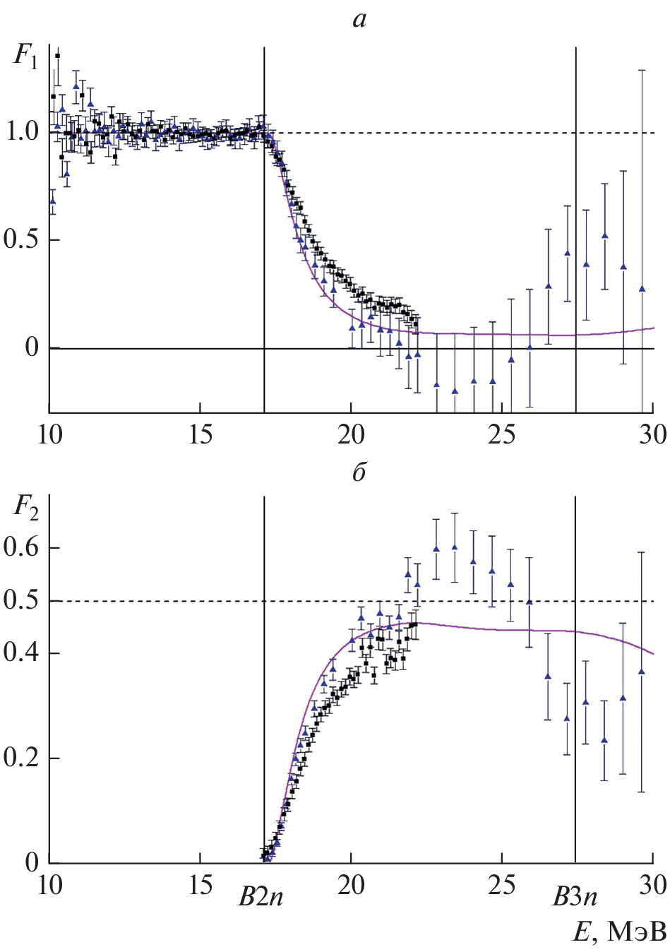
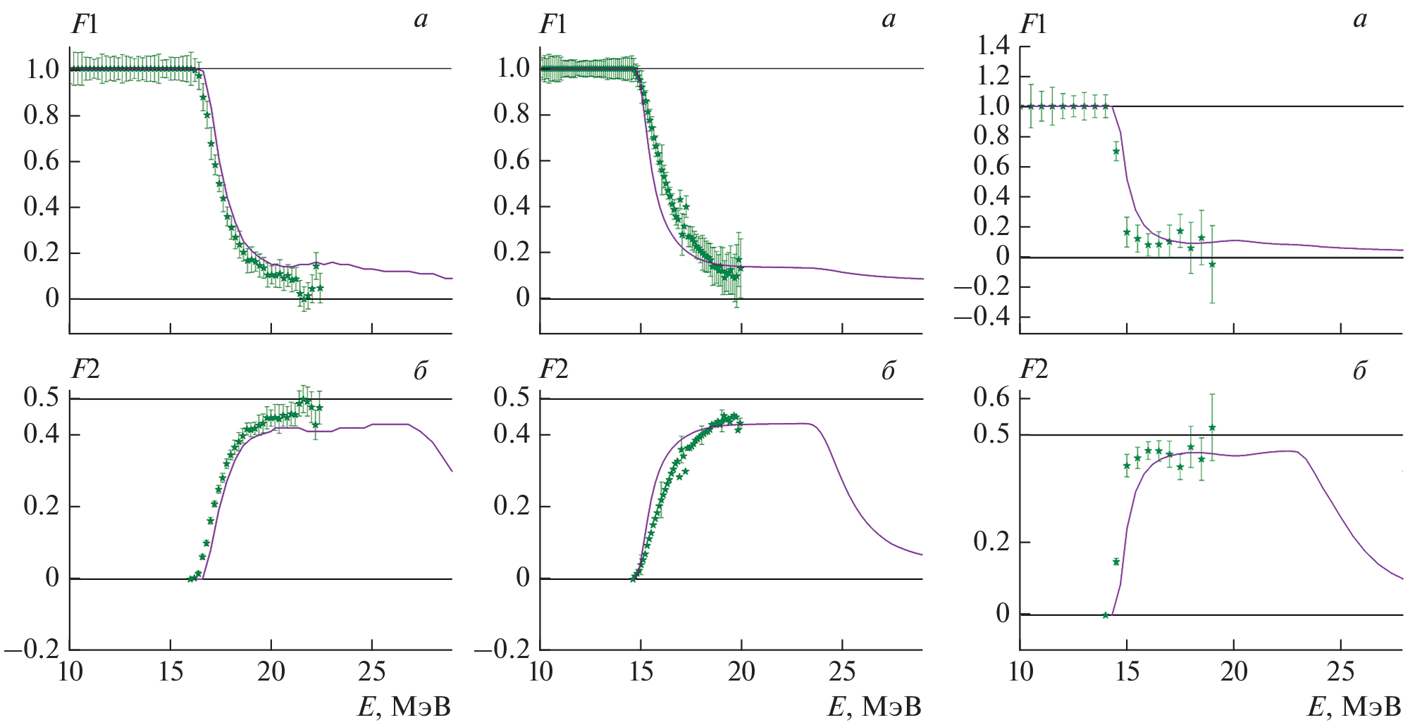
The analysis of reliability of experimental partial photoneutron reaction cross sections of the reactions (γ, 1n) and (γ, 2n) obtained in experiments on the beams of bremsstrahlung was carried our using the objective physical criteria. In this type of experiments partial reaction cross sections were obtained using the procedure of neutron yield cross section σ(γ, xn) corrections calculated on the base of statistical theory. It was found out that in the cases of 59Co, 58,60Ni, 112, 114, 119Sn reaction cross sections obtained using that procedure do not satisfy the physical criteria of data reliability and therefore are not reliable. At the same time in the cases of 127I, 165Ho и 181Ta one has not any doubts in the data obtained reliability.
About the authors
V. V. Varlamov
Lomonosov Moscow State University, Skobeltsyn Institute of Nuclear Physics
Author for correspondence.
Email: Varlamov@depni.sinp.msu.ru
Russia, 119991, Moscow
A. I. Davydov
Lomonosov Moscow State University, Physics Faculty
Email: Varlamov@depni.sinp.msu.ru
Russia, 119991, Moscow
V. N. Orlin
Lomonosov Moscow State University, Skobeltsyn Institute of Nuclear Physics
Email: Varlamov@depni.sinp.msu.ru
Russia, 119991, Moscow
References
- Dietrich S.S., Berman B.L. // Atom. Data Nucl. Data Tables. 1988. V. 38. P. 199.
- Varlamov A.V., Varlamov V.V., Rudenko D.S., Stepanov M.E. INDC(NDS)-394. Vienna: IAEA NDS, 1999.
- http://cdfe.sinp.msu.ru/index.ru.html.
- Blatt J.M., Weisskopf V.F. Theoretical nuclear physics. N.Y.: John Wiley & Sons Inc., 1952.
- Варламов В.В., Давыдов А.И., Орлин В.Н. // ЯФ. 2022. Т. 85. С. 237; Varlamov V.V., Davydov A.I., Orlin V.N. // Phys. Atom. Nucl. 2022. V. 85. P. 316.
- Варламов В.В., Давыдов А.И., Орлин В.Н. // ЯФ. 2022. Т. 85. № 5. С. 316; Varlamov V.V., Davydov A.I., Orlin V.N. // 2022. V. 85. No. 5. P. 411.
- Варламов В.В., Ишханов Б.С., Орлин В.Н., Четверткова В.А. // Изв. РАН. 2010. Сер. физ. Т. 74. С. 875; Varlamov V.V., Ishkhanov B.S., Orlin V.N., Chetvertkova V.A. // Bull. Russ. Acad. Sci. Phys. 2010. V. 74. P. 833.
- Варламов В.В., Ишханов Б.С., Орлин В.Н., Трощиев С.Ю. // Изв. РАН. Сер. физ. 2010. Т. 74. С. 884; Varlamov V.V., Ishkhanov B.S., Orlin V.N., Troshchiev S.Yu. // Bull. Russ. Acad. Sci. Phys. 2010. V. 74. P. 842.
- Tzara C. // Compt. Rend. Acad. Sci. 1957. V. 245. P. 56.
- Miller J., Schuhl C., Tzara C. // Nucl. Phys. 1962. V. 32. P. 236.
- Варламов В.В., Давыдов А.И. // ЯФ. 2021. Т. 84. С. 370; Varlamov V.V., Davydov A.I. // Phys. Atom. Nucl. 2021. V. 84. P. 603.
- Варламов В.В., Давыдов А.И., Ишханов Б.С. // ЯФ. 2019. Т. 82. С. 16; Varlamov V.V., Davydov A.I., Ishkhanov B.S. // Phys. Atom. Nucl. 2019. V. 82. P. 13.
- Varlamov V.V., Davydov A.I., Ishkhanov B.S., Orlin V.N. // Eur. Phys. J. A. 2018. V. 54. P. 74.
- Varlamov V.V., Davydov A.I., Ishkhanov B.S. // Eur. Phys. J. A. 2017. V. 53. P. 180.
- Варламов В.В., Ишханов Б.С., Орлин В.Н. // ЯФ. 2017. Т. 80. С. 632; Varlamov V.V., Ishkhanov B.S., Orlin V.N. // Phys. Atom. Nucl. 2017. V. 80. P. 1106.
- Варламов В.В., Орлин В.Н., Песков Н.Н. // Изв. РАН. Сер. физ. 2017. Т. 81. С. 744; Varlamov V.V., Orlin V.N., Peskov N.N. // Bull. Russ. Acad. Sci. Phys. 2017. V. 81. P. 670.
- Варламов В.В., Давыдов А.И., Орлин В.Н. // ЯФ. 2021. Т. 84. С. 278; Varlamov V.V., Davydov A.I., Orlin V.N. // Phys. Atom. Nucl. 2021. V. 84. P. 389.
- Tzara C. // Compt. Rend. Acad. Sci. 1957. V. 245. P. 56.
- Miller J., Schuhl C., Tzara C. // Nucl. Phys. 1962. V. 32. P. 236.
- Fultz S.C., Berman B.L., Caldwell J.T. et al. // Phys. Rev. 1969. V. 186. P. 1255.
- Lepretre A., Beil H., Bergere R. et al. // Nucl. Phys. A. 1974. V. 219. P. 39.
- Ишханов Б.С., Орлин В.Н. // ЯФ. 2008. Т. 71. С. 517; Ishkhanov B.S., Orlin V.N. // Phys. Atom. Nucl. 2008. V. 71. P. 493.
- Сорокин Ю.И., Хрущев В.А., Юрьев Б.А. // Изв. РАН. Сер. физ. 1972. Т. 36. С. 180; Sorokin Yu.I., Khrushchev V.A., Yuryev B.A. // Bull. Acad. Sci. USSR. Phys. 1972. V. 36. P. 170.
- Сорокин Ю.И., Юрьев Б.А. // Изв. АН СССР. Сер. физ. 1975. Т. 39. С. 114; Sorokin Yu.I., Yuryev B.A. // Bull. Acad. Sci. USSR. Phys. 1975. V. 39. P. 98.
- Baciu G., Bonazzola G.C., Minetti B., Molino C. // Nucl. Phys. 1965. V. 67. P. 178.
- Varlamov V.V., Davydov A.I., Ishkhanov B.S. // Phys. J. A. 2017. V. 53. P. 180.
- Alvarez R.A., Berman B.L., Faul D.D., Lewis F.H., Meyer P. // Phys. Rev. C. 1979. V. 20. P. 128.
- Варламов В.В., Давыдов А.И., Орлин В.Н. // ЯФ. 2022. Т. 85. С. 237; Varlamov V.V., Davydov A.I., Orlin V.N. // Phys. Atom. Nucl. 2022. V. 85. P. 316.
- Варламов В.В., Давыдов А.И., Орлин В.Н. // ЯФ. 2022. Т. 85. № 5. С. 316; Varlamov V.V., Davydov A.I., Orlin V.N. // 2022. V. 85. P. 411.
- Fultz S.C., Alvarez R.A., Berman B.L., Meyer P. // Phys. Rev. 1974. V. 10. P. 608.
- Горячев Б.И., Ишханов Б.С., Капитонов И.М. и др. // ЯФ. 1970. Т. 11. С. 252; Goryachev B.I., Ishkhanov B.S., Kapitonov I.M. et al. // Sov. J. Nucl. Phys. 1970. V. 11. P. 141.
- Rassool R.P., Thompson M.N. // Phys. Rev. C. 1989. V. 39. P. 1631.
- Горячев Б.И., Кузнецов Ю.В., Орлин В.Н. и др. // ЯФ. 1976. Т. 23. С. 1145; Goryachev B.I., V.Kuznetsov Yu., Orlin V.N. et al. // Sov. Nucl. Phys. 1977. V. 23. P. 609.
- Антропов Г.П., Митрофанов И.Е., Русских Б.С. // Изв. АН СССР. Сер. физ. 1967. Т. 31. С. 336; Antropov G.P., Mitrofanov, I.E., Russkikh B.S. // Bull. Acad. Sci. USSR. Phys. 1967. V. 31. P. 320.
- Varlamov V., Davydov A., Kaidarova V., Orlin V. // Phys. Rev. C. 2019. V. 99. Art. No. 024608.
Supplementary files







