Сходство и различия процессов фоторасщепления ядер 58, 60Ni
- Авторы: Варламов В.В.1, Давыдов А.И.2, Орлин В.Н.1
-
Учреждения:
- Федеральное государственное бюджетное образовательное учреждение высшего образования “Московский государственный университет имени М.В. Ломоносова”, Научно-исследовательский институт ядерной физики имени Д.В. Скобельцына
- Федеральное государственное бюджетное образовательное учреждение высшего образования “Московский государственный университет имени М.В. Ломоносова”, Физический факультет
- Выпуск: Том 87, № 8 (2023)
- Страницы: 1166-1175
- Раздел: Статьи
- URL: https://ogarev-online.ru/0367-6765/article/view/135468
- DOI: https://doi.org/10.31857/S0367676523702101
- EDN: https://elibrary.ru/ZCRHPE
- ID: 135468
Цитировать
Полный текст
Аннотация
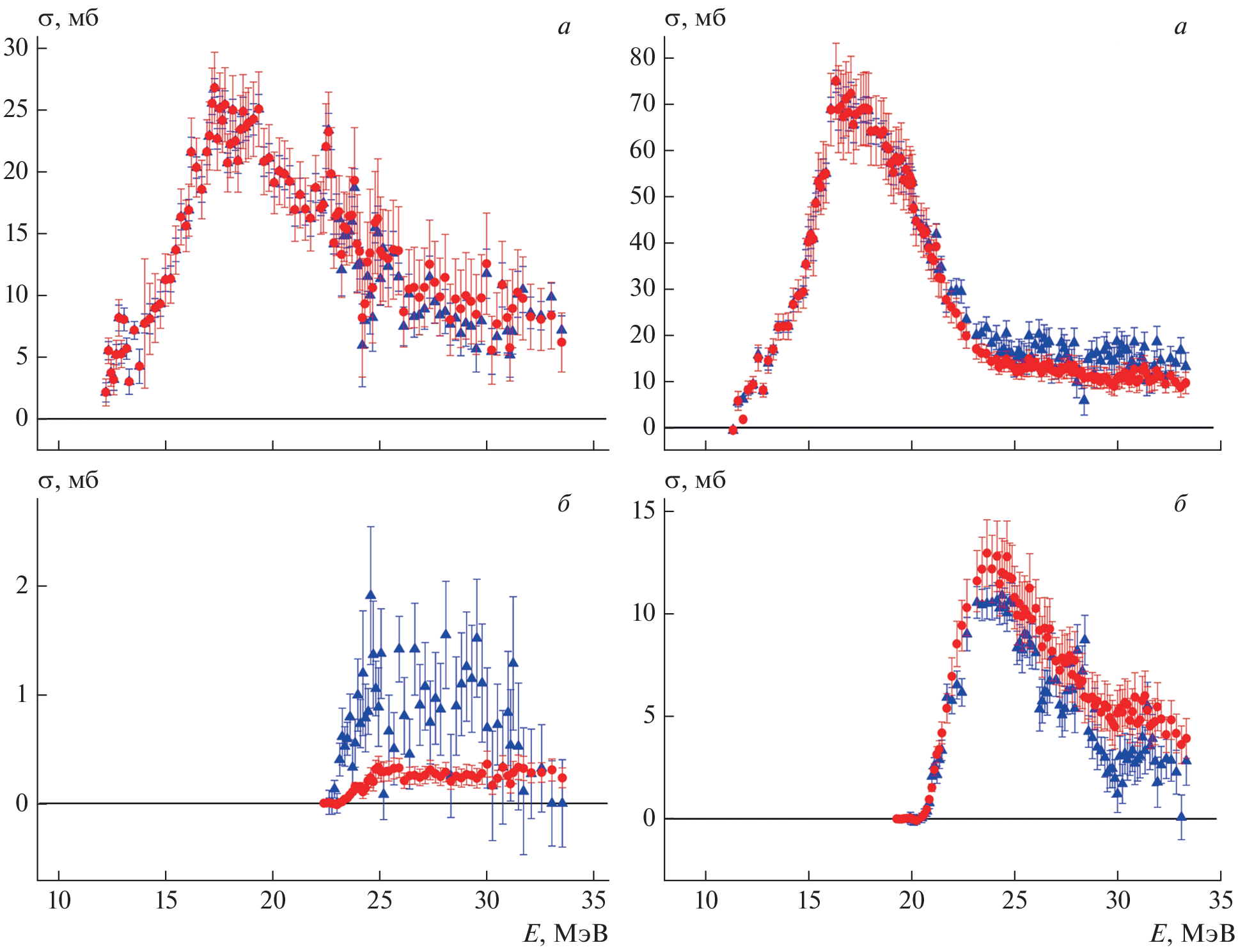
Достоверность сечений парциальных фотонейтронных реакций (γ, 1n) и (γ, 2n) на ядрах 58, 60Ni, полученных в экспериментах на пучках тормозного γ-излучения и квазимоноэнергетических аннигиляционных фотонов, исследована с помощью объективных физических критериев. Установлено, что данные первого типа, физическим критериям не удовлетворяют и определенно не являются достоверными, тогда как к достоверности данных второго типа имеются серьезные претензии. Новые сечения парциальных реакций на ядрах 58, 60Ni, удовлетворяющие физическим критериям достоверности, использованы для анализа особенностей процессов фоторасщепления обоих изотопов. Установлено, что между оцененными и экспериментальными сечениями разных реакций на соседних (отличающихся на 2 нейтрона) ядрах никеля имеются существенные расхождения, обусловленные систематическими погрешностями разного типа, которые для изотопов 58Ni и 60Ni имеют существенно разный характер. Показано, что это обусловлено не только различиями энергетических порогов и абсолютных величин сечений реакций (γ, 1n1p) и (γ, 2n), но и существенными различиями характеристик оболочечной структуры соседних изотопов.
Об авторах
В. В. Варламов
Федеральное государственное бюджетное образовательное учреждение высшего образования“Московский государственный университет имени М.В. Ломоносова”,
Научно-исследовательский институт ядерной физики имени Д.В. Скобельцына
Автор, ответственный за переписку.
Email: Varlamov@depni.sinp.msu.ru
Россия, Москва
А. И. Давыдов
Федеральное государственное бюджетное образовательное учреждение высшего образования“Московский государственный университет имени М.В. Ломоносова”, Физический факультет
Email: Varlamov@depni.sinp.msu.ru
Россия, Москва
В. Н. Орлин
Федеральное государственное бюджетное образовательное учреждение высшего образования“Московский государственный университет имени М.В. Ломоносова”,
Научно-исследовательский институт ядерной физики имени Д.В. Скобельцына
Email: Varlamov@depni.sinp.msu.ru
Россия, Москва
Список литературы
- Min K., White T.A. // Phys. Rev. Lett. 1968. V. 21. P. 1200.
- Owen D.G., Muirhead E.G., Spicer B.M. // Nucl. Phys. 1970. V. A 140. P. 523.
- Горячев Б.И., Ишханов Б.С., Капитонов И.М. и др. // Письма в ЖЭТФ. 1968. Т. 8. С. 76.
- Горячев Б.И., Ишханов Б.С., Капитонов И.М. и др. // ЯФ. 1970. Т. 11. С. 252; Goryachev B.I., Ishkhanov B.S., Kapitonov I.M. et al. // Sov. J. Nucl. Phys. 1970. V. 11. P. 141.
- Ишханов Б.С., Капитонов И.М., Пискарев И.М. и др. // ЯФ. 1970. Т. 11. С. 485; Ishkhanov B.S., Kapitonov I.M., Piskarev I.M. et al. // Sov. J. Nucl. Phys. 1970. V. 11. P. 272.
- Fultz S.C., Alvarez R.A., Berman B.L., Meyer P. // Phys. Rev. 1974. V. 10. P. 608.
- Ишханов Б.С., Орлин В.Н. // ЯФ. 2008. Т. 71. С. 517; Ishkhanov B.S., Orlin V.N. // Phys. Atom. Nucl. 2008. V. 71. P. 493.
- Blatt J.M., Weisskopf V.F. Theoretical nuclear physics. N.Y.: John Wiley & Sons Inc., 1952.
- Варламов В.В., Давыдов А.И., Орлин В.Н. // ЯФ. 2022. Т. 85. № 4. С. 237; Varlamov V.V., Davydov A.I., Orlin V.N. // Phys. Atom. Nucl. 2022. V. 85. No. 4. P. 316.
- Варламов В.В., Давыдов А.И., Орлин В.Н. // ЯФ. 2022. Т. 85. № 5. С. 316; Varlamov V.V., Davydov A.I., Orlin V.N. // Phys. Atom. Nucl. 2022. V. 85. No. 5. P. 411.
- Варламов В.В., Ишханов Б.С., Орлин В.Н., Четверткова В.А. // Изв. РАН. Сер. физ. 2010. Т. 74. С. 875; Varlamov V.V., Ishkhanov B.S., Orlin V.N., Chetvertkova V.A. // Bull. Russ. Acad. Sci. Phys. 2010. V. 74. P. 833.
- Варламов В.В., Ишханов Б.С., Орлин В.Н., Трощиев С.Ю. // Изв. РАН. Сер. физ. 2010. Т. 74. С. 884; Varlamov V.V., Ishkhanov B.S., Orlin V.N., Troshchiev S.Yu. // Bull. Russ. Acad. Sci. Phys. 2010. V. 74. P. 842.
- Tzara C. // Compt. Rend. Acad. Sci. 1957. V. 245. P. 56.
- Miller J., Schuhl C., Tzara C. // Nucl. Phys. 1962. V. 32. P. 236.
- Варламов В.В., Давыдов А.И. // ЯФ. 2021. Т. 84. С. 370; Varlamov V.V., Davydov A.I. // Phys. Atom. Nucl. 2021. V. 84. P. 603.
- Варламов В.В., Давыдов А.И., Ишханов Б.С. // ЯФ. 2019. Т. 82. С. 16; Varlamov V.V., Davydov A.I., Ishkhanov B.S. // Phys. Atom. Nucl. 2019. V. 82. P. 13.
- Varlamov V.V., Davydov A.I., Ishkhanov B.S., Orlin V.N. // Eur. Phys. J. A. 2018. V. 54. P. 74.
- Varlamov V.V., Davydov A.I., Ishkhanov B.S. // Eur. Phys. J. A. 2017. V. 53. P. 180.
- Варламов В.В., Ишханов Б.С., Орлин В.Н. // ЯФ. 2017. Т. 80. № 6. С. 632; Varlamov V.V., Ishkhanov B.S., Orlin V.N. // Phys. Atom. Nucl. 2017. V. 80. No. 6. P. 1106.
- Варламов В.В., Орлин В.Н., Песков Н.Н. // Изв. РАН. Сер. физ. 2017. Т. 81. № 6. С. 744; Varlamov V.V., Orlin V.N., Peskov N.N. // Bull. Russ. Acad. Sci. Phys. 2017. V. 81. No. 6. P. 670.
- Варламов В.В., Давыдов А.И., Орлин В.Н. // ЯФ. 2021. Т. 84. № 4. С. 278; Varlamov V.V., Davydov A.I., Orlin V.N. // Phys. Atom. Nucl. 2021. V. 84. No. 4. P. 389.
- Koning A.J., Delaroche J.P. // Nucl. Phys. A. 2003. V. 713. P. 231.
- Weizsacker C.F. // Zeitsch. Phys. 1935. V. 96. P. 431.
Дополнительные файлы





