Proton formation at absorption of π–-meson in a “live” silicon target
- Authors: Gurov Y.B.1,2, Evseev S.A.1, Leonova T.I.2, Rozov S.V.1, Sandukovsky V.G.1, Chernyshev B.A.2
-
Affiliations:
- Joint Institute for Nuclear Research
- National Research Nuclear University MEPhI (Moscow Engineering Physics Institute)
- Issue: Vol 87, No 8 (2023)
- Pages: 1116-1119
- Section: Articles
- URL: https://ogarev-online.ru/0367-6765/article/view/135458
- DOI: https://doi.org/10.31857/S0367676523702009
- EDN: https://elibrary.ru/ZBQZID
- ID: 135458
Cite item
Full Text
Abstract
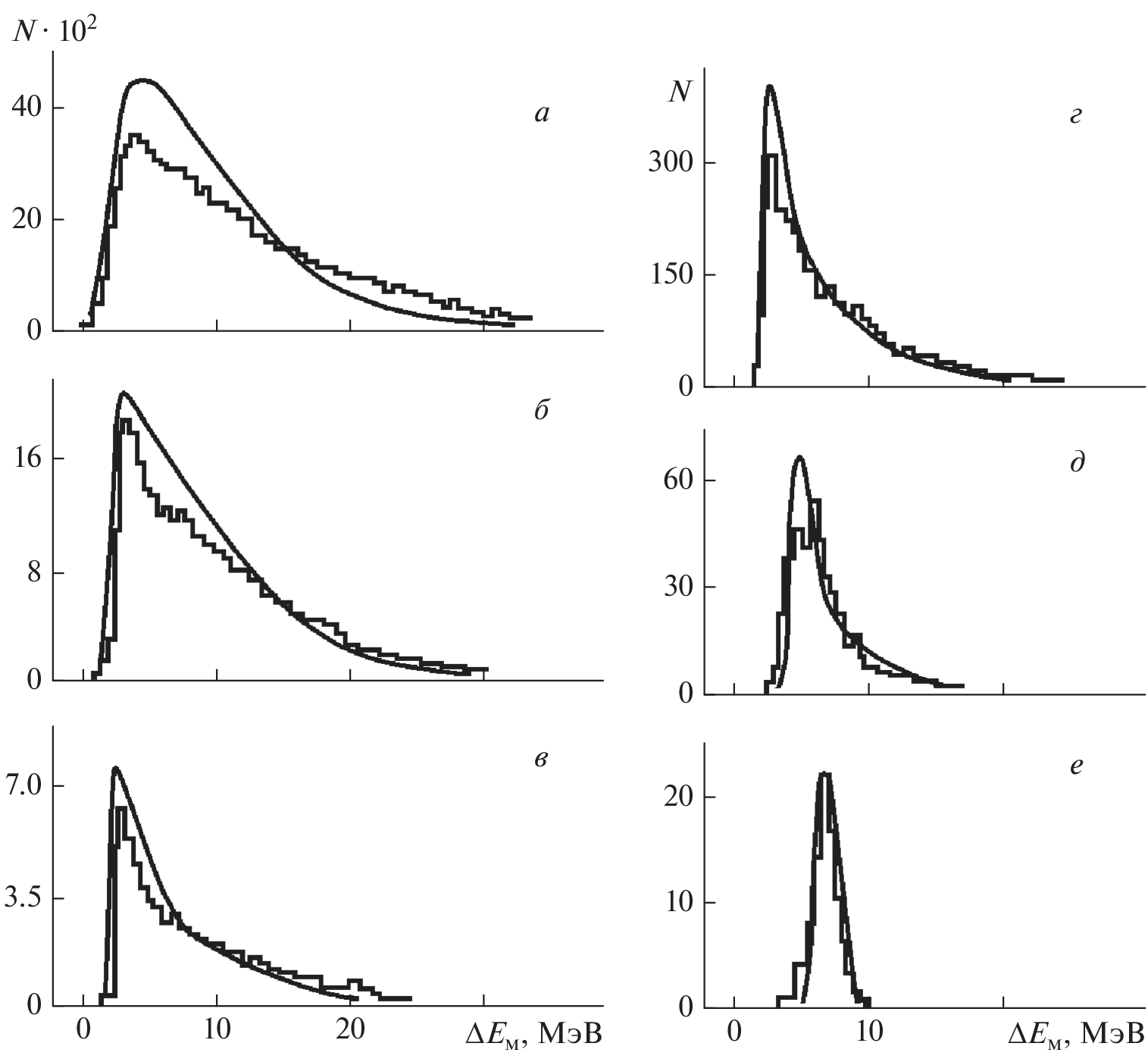
The spectra of protons were measured at the absorption of stopped π–-mesons in “live” target—analog of the 28Si target. Based on the data obtained, it was possible to isolate the process without secondary interactions and obtain the spectrum of primary protons from the act of pion absorption on an intranuclear pp pair.
About the authors
Yu. B. Gurov
Joint Institute for Nuclear Research; National Research Nuclear University MEPhI (Moscow Engineering Physics Institute)
Author for correspondence.
Email: gurov54@mail.ru
Russia, 141980, Dubna; Russia, 115409, Moscow
S. A. Evseev
Joint Institute for Nuclear Research
Email: gurov54@mail.ru
Russia, 141980, Dubna
T. I. Leonova
National Research Nuclear University MEPhI (Moscow Engineering Physics Institute)
Email: gurov54@mail.ru
Russia, 115409, Moscow
S. V. Rozov
Joint Institute for Nuclear Research
Email: gurov54@mail.ru
Russia, 141980, Dubna
V. G. Sandukovsky
Joint Institute for Nuclear Research
Email: gurov54@mail.ru
Russia, 141980, Dubna
B. A. Chernyshev
National Research Nuclear University MEPhI (Moscow Engineering Physics Institute)
Email: gurov54@mail.ru
Russia, 115409, Moscow
References
- Lee T.-S., Redwine R.P. // Annu. Rev. Nucl. Part. Sci. 2002. V. 22. P. 23.
- Weyer H.G. // Phys. Reports. 1990. V. 195. P. 295.
- Короткова Л.Ю., Гуров Ю.Б., Калинин В.М. и др. // Изв. РАН. Сер. физ. 2012. Т. 76. № 4. С. 460; Korotkova L.Yu., Gurov Yu.B., Kalinin V.M. et al. // Bull. Russ. Acad. Sci. Phys. 2012. V. 76. No. 4. P. 404.
- Chernyshev B., Gurov Yu., Lapushkin S., Sandukovsky V. // J. Phys. Conf. Ser. 2020. V. 1690. Art. No. 012031.
- Гуров Ю.Б., Лапушкин С.В., Розов С.В. и др. // ПТЭ. 2021. Т. 64. № 4. С. 18; Gurov Yu.B., Lapushkin S.V., Rozov S.V. et al. // Instrum. Exp. Tech. 2021. V. 64. No. 4. P. 516.
- Гуров Ю.Б., Короткова Л.Ю., Лапушкин С.В. и др. // Изв. РАН. Сер. физ. 2013. Т. 77. № 4. С. 415; Gurov Yu.B., Korotkova L.Yu., Lapushkin S.V. et al. // Bull. Russ. Acad. Sci. Phys. 2013. V. 77. No. 4. P. 370.
- Гуров Ю.Б., Карпухин В.С., Короткова Л.Ю. и др. // Изв. РАН. Сер. физ. 2015. Т. 79. № 4. С. 520; Gurov Yu.B., Karpukhin V.S., Korotkova L.Yu. et al. // Bull. Russ. Acad. Sci. Phys. 2015. V. 79. No. 4. P. 478.
- Гуров Ю.Б., Карпухин В.С., Лапушкин С.В. и др. // ЯФ. 2019. Т. 82. С. 305; Gurov Yu.B., Karpukhin V.S., Lapushkin V.S. et al. // Phys. Atom. Nucl. 2019. V. 82. P. 351.
Supplementary files





