Heavy-ion physics with Compact Muon Solenoid detector
- Authors: Petrushanko S.V.1
-
Affiliations:
- Lomonosov Moscow State University, Skobeltsyn Institute of Nuclear Physics
- Issue: Vol 87, No 8 (2023)
- Pages: 1104-1108
- Section: Articles
- URL: https://ogarev-online.ru/0367-6765/article/view/135456
- DOI: https://doi.org/10.31857/S0367676523701983
- EDN: https://elibrary.ru/ZBPILL
- ID: 135456
Cite item
Full Text
Abstract
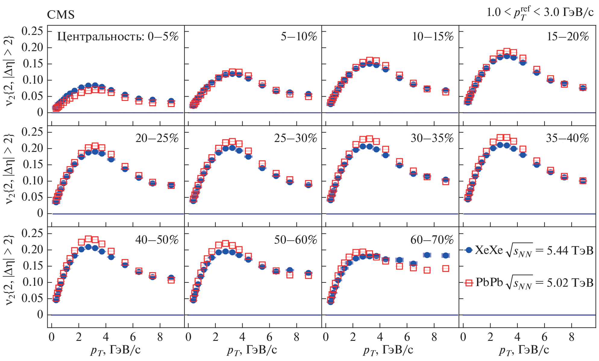
Recent results on heavy-ion physics at the LHC (CERN) by the Compact Muon Solenoid (CMS) collaboration are analyzed. The tests of quark-gluon plasma carried out with the CMS detector provide valuable information about the behavior of matter in the extreme regime of very high energy nucleus-nucleus collisions.
About the authors
S. V. Petrushanko
Lomonosov Moscow State University, Skobeltsyn Institute of Nuclear Physics
Author for correspondence.
Email: Serguei.Petrouchanko@cern.ch
Russia, 119991, Moscow
References
- Chatrchyan S. et al. (CMS Collaboration) // J. Instrum. 2008. No. 3. Art. No. S08004.
- http://cms-results.web.cern.ch/cms-results/public-results/publications/HIN.
- https://cms-results.web.cern.ch/cms-results/public-results/preliminary-results/HIN.
- Sirunyan A.M., Tumasyan A., Adam W. et al. (CMS Collaboration) // J. High Energy Phys. 2018. No. 1. Art. No. 045.
- Sirunyan A.M. et al. (CMS Collaboration) // Phys. Rev. C. 2019. V. 100. No. 2. Art. No. 024902.
- Khachatryan V. et al. (CMS Collaboration) // J. High Energy Phys. 2010. No. 09. Art. No. 091.
- Chatrchyan S. et al. (CMS Collaboration) // Phys. Lett. B. 2013. V. 718. No. 3. P. 795.
- Chatrchyan S. et al. (CMS Collaboration) // J. High Energy Phys. 2011. No. 07. Art. No. 076.
- CMS Collaboration // arXiv: 2204.13486. 2022.
- CMS Collaboration // CERN CMS-PAS-HIN-21-010. 2022.
- Sirunyan A.M. et al. (CMS Collaboration) // Phys. Rev. C. 2019. V. 100. Art. No. 044902.
- Sirunyan A.M. et al. (CMS Collaboration) // Eur. Phys. J. C. 2018. V. 78. Art. No. 509.
- CMS Collaboration // arXiv: 2303.17026. 2023.
- CMS Collaboration // Phys. Lett. B. 2022. Art. No. 137397.
- CMS Collaboration // CERN CMS-PAS-HIN-21-008. 2022.
- Sirunyan A.M. et al. (CMS Collaboration) // Phys. Lett. B. 2021. V. 819. Art. No. 136385.
- CMS Collaboration // CERN CMS-PAS-HIN-21-001. 2022.
- Sirunyan A.M. et al. (CMS Collaboration) // Phys. Lett. B. 2021. V. 816. Art. No. 136253.
- CMS Collaboration // arXiv: 2212.01636. 2022.
- Tumasyan A. et al. (CMS Collaboration) // Phys. Lett. B. 2022. V. 829. Art. No. 137062.
- Sirunyan A.M. et al. (CMS Collaboration) // Phys. Rev. Lett. 2022. V. 128. Art. No. 032001.
- Sirunyan A.M. et al. (CMS Collaboration) // Phys. Rev. Lett. 2020. V. 125. Art. No. 222001.
- Chatrchyan S. et al. (CMS Collaboration) // Phys. Rev. C. 2011. V. 84. Art. No. 024906.
- Chatrchyan S. et al. (CMS Collaboration) // Phys. Lett. B. 2012. V. 712. No. 3. P. 176.
- Sirunyan A.M. et al. (CMS Collaboration) // J. High Energy Phys. 2021. No. 05. Art. No. 284.
- CMS Collaboration // arXiv: 2210.08325. 2022.
Supplementary files





