Magnetospheric current system parameters during the geomagnetic disturbances in May 1998
- Authors: Lukovnikova A.A.1, Sdobnov V.E.1
-
Affiliations:
- Institute of Solar-Terrestrial Physics of the Siberian Branch of the Russian Academy of Sciences
- Issue: Vol 87, No 7 (2023)
- Pages: 1052-1055
- Section: Articles
- URL: https://ogarev-online.ru/0367-6765/article/view/135449
- DOI: https://doi.org/10.31857/S0367676523701892
- EDN: https://elibrary.ru/OTCJFQ
- ID: 135449
Cite item
Full Text
Abstract
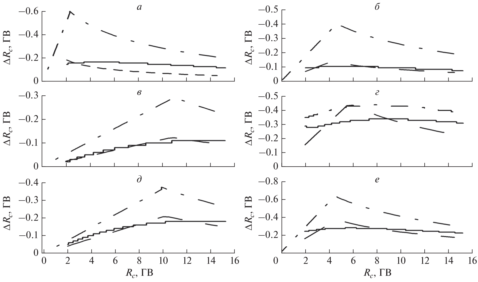
Based on the data from the global network of neutron monitors, by using the spectrographic global survey, we obtained the parameters of magnetospheric current systems in the 1998 May events. Within the axisymmetric model for the bounded Earth magnetosphere, we determined the DR (ring current) and DCF (magnetopause currents) parameters for the current systems, as well as their contribution to variations in the rigidity of the geomagnetic cutoff and to the Dst-index over the addressed period.
About the authors
A. A. Lukovnikova
Institute of Solar-Terrestrial Physics of the Siberian Branch of the Russian Academy of Sciences
Email: sdobnov@iszf.irk.ru
Russia, 664033, Irkutsk
V. E. Sdobnov
Institute of Solar-Terrestrial Physics of the Siberian Branch of the Russian Academy of Sciences
Author for correspondence.
Email: sdobnov@iszf.irk.ru
Russia, 664033, Irkutsk
References
- Кичигин Г.Н., Кравцова М.В., Сдобнов В.Е. // Геомагн. и аэроном. 2018. Т. 58. № 5. С. 608; Kichigin G.N., Kravtsova M.V., Sdobnov V.E. // Geomagn. Aeron. 2018. V. 58. No. 5. P. 586.
- Кичигин Г.Н., Кравцова М.В., Сдобнов В.Е. // Солн.-земн. физика. 2017. Т. 3. № 3. С. 15; Kichigin G.N., Kravtsova M.V., Sdobnov V.E. // Sol.-Terr. Phys. 2017. V. 3. No. 3. P. 13.
- Daglis I., Thorne R., Baumjohann W. et al. // Rev. Geophys. 1999. V. 37. No. 4. P. 407.
- Kozyra J., Liemohn M. // Space Sci. Rev. 2003. V. 109. P. 105.
- Дайбог Е.И., Кечкемети К., Лазутин Л.Л. и др. // Изв. РАН. Сер. физ. 2015. Т. 79. № 5. С. 697.
- Feldstein Y., Levitin A., Kozyra J. et al. // J. Geophys. Res. 2006. V. 111. Art. No. A11214.
- Alexeev I., Belenkaya E., Kalegaev V. et al. // J. Geophys. Res. 1996. V. 101. P. 7737.
- Greenspan M., Hamilton D. // J. Geophys. Res. 2000. V. 105. P. 5419.
- Alexeev I., Kalegaev V., Belenkaya E. et al. // J. Geophys. Res. 2001. V. 106. P. 25683.
- Tsyganenko N., Sitnov M. // J. Geophys. Res. 2005. V. 110. Art. No. A03208.
- Тясто М.И., Данилова O.A., Сдобнов В.E. // Изв. РАН. Сер. физ. 2013. Т. 77. № 5. С. 611; Tyasto M.I., Danilova O.A., Sdobnov V.E. // Bull. Russ. Acad. Sci. Phys. 2013. V. 77. No. 5. P. 547.
- Тясто М.И., Данилова О.А., Птицына Н.Г. и др. // Изв. РАН. Сер. физ. 2005. Т. 69. № 6. С. 861; Tyasto M.I., Danilova O.A., Ptitsyna N.G. et al. // Bull. Russ. Acad. Sci. Phys. 2005. V. 69. No. 6. P. 967.
- Тясто М.И., Данилова О.А., Дворников В.М. и др. // Изв. РАН. Сер. физ. 2009. Т. 73. № 3. С. 385; Tyasto M.I., Danilova O.A., Dvornikov V.M. et al. // Bull. Russ. Acad. Sci. Phys. 2009. V. 73. No. 3. P. 367.
- Тясто М.И., Данилова O.A., Вернова Е.С. и др. // Изв. РАН. Сер. физ. 2007. Т. 71. № 7. С. 1031.
- Кичигин Г.Н., Сдобнов В.Е. // Геомагн. и аэроном. 2017. Т. 57. № 2. С. 132; Kichigin G.N., Sdobnov V.E. // Geomagn. Aeron. 2017. V. 57. No. 2. P 149.
- Dvornikov V.M., Sdodnov V.E. // J. Geophys. Res. 1997. V. 102. No. A11. P. 24209.
- Inoue A., Wada M., Kondo K. Asymptotic direction in 1975. Cosmic Ray Table No. 1. Tokyo: Institute Phys. Chem. Res., 1983.
- Xie H., Gopalswamy N., Manoharan P. et al. // J. Geophys. Res. 2006. V. 111. Art. No. A01103.
- http://spaceweather.izmiran.ru/rus/fds1998.html.
- https://www.solarmonitor.org.
- http://cdaw.gsfc.nasa.gov.
- http://omniweb.gsfc.nasa.gov.
- https://ckp-rf.ru/usu/433536.




