Влияние самомодуляции космических лучей на диффузное гамма-излучение Галактики
- Авторы: Чернышов Д.О.1, Ивлев А.В.2, Кулик Е.А.1
-
Учреждения:
- Федеральное государственное бюджетное учреждение науки “Физический институт имени П.Н. Лебедева Российской академии наук”, Отдел теоретической физики имени И.Е. Тамма
- Институт внеземной физики Общества Макса Планка
- Выпуск: Том 87, № 7 (2023)
- Страницы: 947-950
- Раздел: Статьи
- URL: https://ogarev-online.ru/0367-6765/article/view/135425
- DOI: https://doi.org/10.31857/S036767652370165X
- EDN: https://elibrary.ru/ONQRGE
- ID: 135425
Цитировать
Полный текст
Аннотация
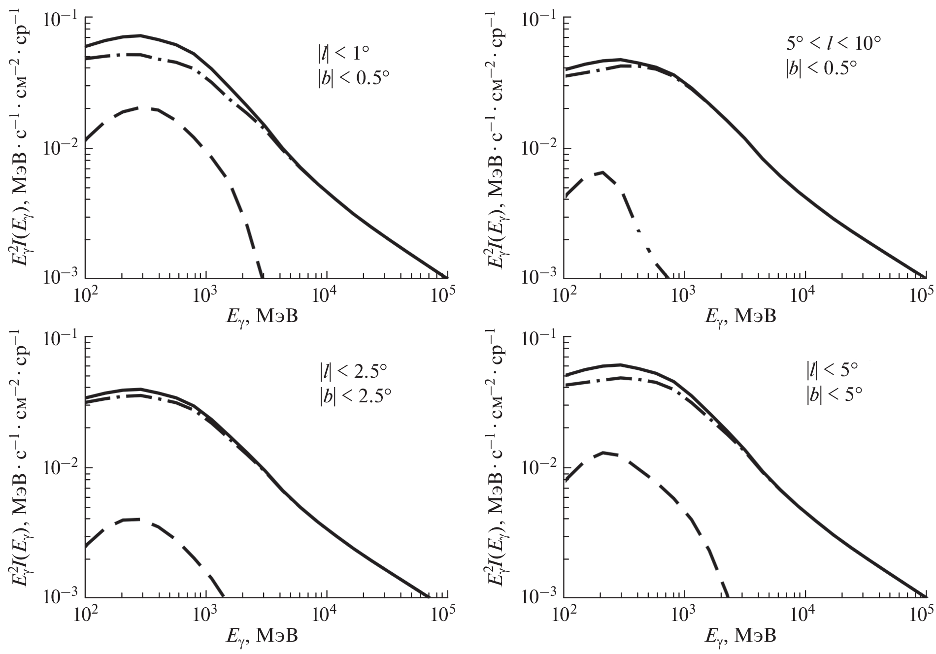
Изучено влияние взаимодействия космических лучей с возбужденной ими турбулентностью (эффект самомодуляции) в оболочках молекулярных облаков на полное гамма-излучение Галактики. Исследован эффект самомодуляции для каждого отдельного молекулярного облака и полученный результат проинтегрирован по лучу зрения вдоль всех молекулярных облаков, попадающих в интересующую нас область на небе. Показано, что самомодуляция космических лучей уменьшает интенсивность гамма-излучения в диапазоне ниже 1 ГэВ примерно на 10–30%. Несмотря на то, что данный результат незначителен по величине, его, тем не менее, стоит учитывать при выделении фонового гамма-излучения на низких энергиях.
Об авторах
Д. О. Чернышов
Федеральное государственное бюджетное учреждение науки“Физический институт имени П.Н. Лебедева Российской академии наук”,
Отдел теоретической физики имени И.Е. Тамма
Автор, ответственный за переписку.
Email: chernyshov@td.lpi.ru
Россия, Москва
А. В. Ивлев
Институт внеземной физики Общества Макса Планка
Email: chernyshov@td.lpi.ru
Германия, Гархинг
Е. А. Кулик
Федеральное государственное бюджетное учреждение науки“Физический институт имени П.Н. Лебедева Российской академии наук”,
Отдел теоретической физики имени И.Е. Тамма
Email: chernyshov@td.lpi.ru
Россия, Москва
Список литературы
- Issa M.R., Wolfendale A.W. // Nature. 1981. V. 292. P. 430.
- Птускин В.С., Зиракашвили В.Н., Георгиева А.А., Клепач Е.Г. // Изв. РАН. Сер. физ. 2007. Т. 71. № 4. С. 480; Ptuskin V.S., Zirakashvili V.N., Georgieva A.A., Klepach E.G. // Bull. Russ. Acad. Sci. Phys. 2007. V. 71. No. 4. P. 461.
- Skilling J., Strong A.W. // Astron. Astrophys. 1976. V. 53. P. 253.
- Cesarsky C.J., Volk H.J. // Astron. Astrophys. 1978. V. 70. P. 367.
- Ivlev A.V., Dogiel V.A., Chernyshov D.O. et al. // Astrophys. J. 2018 V. 855. Art. No. 23.
- Dogiel V.A., Chernyshov D.O., Ivlev A.V. et al. // Astrophys. J. 2018 V. 868. Art. No. 114.
- Топчиев Н.П., Гальпер А.М., Архангельская И.В. и др. // Изв. РАН. Сер. физ. 2019. Т. 83. № 5. С. 688; Topchiev N.P., Galper A.M., Arkhangelskaja A.I. et al. // Bull. Russ. Acad. Sci. Phys. 2019. V. 83. No. 5. P. 629.
- Duarte-Cabral A., Colombo D., Urquhart J.S. et al. // MNRAS. 2021. V. 400. P. 3027.
- Strong A.W., Moskalenko I.V. // Astrophys. J. 1998. V. 509. Art. No. 212.
- Vladimirov A.E., Digel S.W., Johannesson G. et al. // Comp. Phys. Commun. 2011. V. 182. No. 5. P. 1156.
- Ackermann M., Ajello M., Atwood W.B. et al. // Astrophys. J. 2012. V. 750. No. 1. Art. No. 3.
- Dogiel V.A., Chernyshov D.O., Ivlev A.V. et al. // Astrophys. J. 2021. V. 921. No. 1. Art. No. 43.
- Ackermann M., Ajello M., Albert A. // Astrophys. J. 2017. V. 840. No. 1. Art. No. 43.
Дополнительные файлы




