Particle-in-Cell simulation of cosmic ray acceleration in fast blue optical transients
- Authors: Romansky V.I.1, Bykov A.M.1, Osipov S.M.1
-
Affiliations:
- Ioffe Physical-Technical Institute of the Russian Academy of Sciences
- Issue: Vol 87, No 7 (2023)
- Pages: 943-946
- Section: Articles
- URL: https://ogarev-online.ru/0367-6765/article/view/135424
- DOI: https://doi.org/10.31857/S0367676523701648
- EDN: https://elibrary.ru/ONQBTY
- ID: 135424
Cite item
Full Text
Abstract
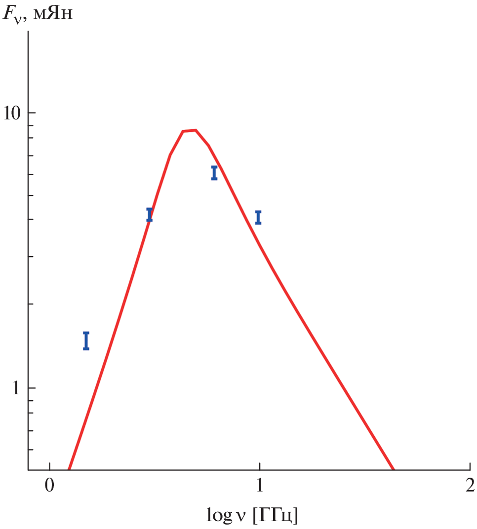
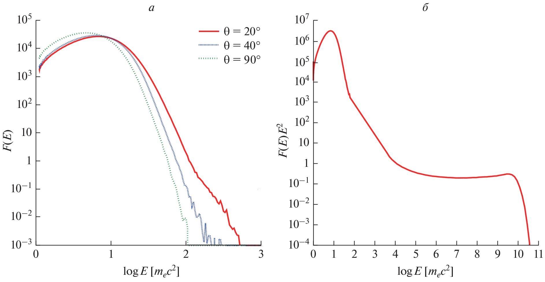
Results of Particle-in-Cell modelling of cosmic ray acceleration in sub-relativistic shocks (with speed about 0.3 speed of light) are presented. Synchrotron and Inverse Compton radiation from FBOT CSS161010 are calculated using particle distributions, obtained from PIC simulation. Source parameters are evaluated via fitting modeled radiation with observations.
About the authors
V. I. Romansky
Ioffe Physical-Technical Institute of the Russian Academy of Sciences
Author for correspondence.
Email: romanskyvadim@gmail.com
Russia, 194021, Saint-Petersburg
A. M. Bykov
Ioffe Physical-Technical Institute of the Russian Academy of Sciences
Email: romanskyvadim@gmail.com
Russia, 194021, Saint-Petersburg
S. M. Osipov
Ioffe Physical-Technical Institute of the Russian Academy of Sciences
Email: romanskyvadim@gmail.com
Russia, 194021, Saint-Petersburg
References
- Ho A., Phinney E., Ravi V. et al. // Astrophys. J. 2019. V. 871. No. 1. P. 19.
- Ho A., Perley D.A., Kulkarni S.R. et al. // Astrophys. J. 2020. V. 895. No. 1. P. 49.
- Coppejans D.L., Margutti R., Terreran G. et al. // Astrophys. J. Lett. 2020. V. 895. No. 1. P. L23.
- Perley D.A., Ho A., Yao Y. et al. // MNRAS. 2021. V. 508. No. 4. P. 5138.
- Yao Y., Ho A.Y.Q., Medvedev P. et al. // Astrophys. J. 2022. V. 934. No. 2. P. 104.
- Derouillat J., Beck A., Perez F. et al. // Comp. Phys. Commun. 2018. V. 222. P. 351.
- Sironi L., Spitkovsky A. // Astrophys. J. 2009. V. 698. No. 2. P. 1523.
- Guo X., Sironi L., Narayan R. // Astrophys. J. 2014. V. 794. No. 2. P. 153.
- Crumley P., Caprioli D., Markoff S., Spitkovsky A. // MNRAS. 2019. V. 485. No. 4. P. 5105.
- Romansky V.I., Bykov A.M., Osipov S.M. // J. Phys. Conf. Ser. 2018. V. 1038. Art. No. 012022.
- Ghisellini G., Svensson R. // MNRAS. 1991. V. 252. No. 4. P. 313.
- Chevalier R.A. // Astrophys. J. 1998. V. 499. No. 2. P. 810.
- Осипов С.М., Быков А.М. // Изв. РАН. Сер. физ. 2021. Т. 85. № 4. С. 486; Osipov S.M., Bykov A.M. // Bull. Russ. Acad. Sci. Phys. 2021. V. 85. No. 4. P. 360.
- Быков А.М., Осипов С.М. // Изв. РАН. Сер. физ. 2019. Т. 83. № 8. С. 1143; Bykov A.M., Osipov S.M. // Bull. Russ. Acad. Sci. Phys. 2019. V. 83. No. 8. P. 1141.
- Быков А.М., Осипов С.М., Эллисон Д. // Изв. РАН. Сер. физ. 2017. Т. 81. № 4. С. 468; Bykov A.M., Osipov S.M., Ellison D. // Bull. Russ. Acad. Sci. Phys. 2017. V. 81. No. 4. P. 431.
- Bykov A.M., Romansky V.I., Osipov S.M. // Universe. 2022. V. 8. No. 1. P. 32.
- Clark J.S, Negueruela I., Crowther P.A., Goodwin S.P. // Astron. Astrophys. 2005. V. 434. P. 949.
- Bykov A.M., Ellison D., Gladilin P.E., Osipov S.M. // MNRAS. 2015. V. 453. No. 1. P. 113.
- Каляшова М.Е., Быков А.М., Осипов С.М. // Изв. РАН. Сер. физ. 2021. Т. 85. № 4. С. 482; Kalyashova M.E., Bykov A.M., Osipov S.M. // Bull. Russ. Acad. Sci. Phys. 2021. V. 85. No. 4. P. 357.
- Просин В.В., Астапов И.И., Безъязыков П.А. и др. // Изв. РАН. Сер. физ. 2021. Т. 85. № 4. С. 525; Prosin V.V., Astapov I.I., Bezyazeekov P.A. et al. // Bull. Russ. Acad. Sci. Phys. 2021. V. 85. No. 4. P. 395.




