Интерпретация потоков ядер и электронов космических лучей в модели неклассической диффузии
- Авторы: Лагутин А.А.1, Волков Н.В.1, Райкин Р.И.1
-
Учреждения:
- Федеральное государственное бюджетное образовательное учреждение высшего образования “Алтайский государственный университет”
- Выпуск: Том 87, № 7 (2023)
- Страницы: 936-942
- Раздел: Статьи
- URL: https://ogarev-online.ru/0367-6765/article/view/135423
- DOI: https://doi.org/10.31857/S0367676523701636
- EDN: https://elibrary.ru/ONMXES
- ID: 135423
Цитировать
Полный текст
Аннотация
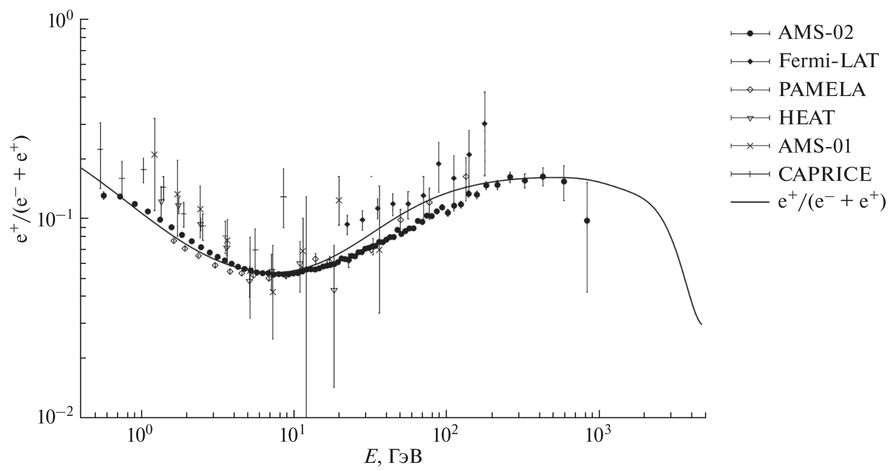
Обсуждается сценарий формирования наблюдаемых спектров электронов/позитронов и ядер космических лучей сверхвысоких энергий в рамках неклассической (супердиффузионной) модели распространения частиц в резко-неоднородной межзвездной и межгалактической средах. Показано, что предложенный сценарий обеспечивает согласованное описание экспериментальных данных прецизионных спутниковых измерений, наземных гибридных установок ШАЛ и черенковских телескопов по спектрам лептонов и ядер, а также массовому составу космических лучей в диапазоне сверхвысоких и ультравысоких энергий.
Об авторах
А. А. Лагутин
Федеральное государственное бюджетное образовательное учреждение высшего образования“Алтайский государственный университет”
Автор, ответственный за переписку.
Email: lagutin@theory.asu.ru
Россия, Барнаул
Н. В. Волков
Федеральное государственное бюджетное образовательное учреждение высшего образования“Алтайский государственный университет”
Email: lagutin@theory.asu.ru
Россия, Барнаул
Р. И. Райкин
Федеральное государственное бюджетное образовательное учреждение высшего образования“Алтайский государственный университет”
Email: lagutin@theory.asu.ru
Россия, Барнаул
Список литературы
- Aguilar M., Alberti G., Alpat B. et al. (AMS-02 Collaboration) // Phys. Rev. Lett. 2013. V. 110. Art. No. 141102.
- Adriani O., Barbarino G.C., Bazilevskaya G.A. et al. (PAMELA experiment) // Nature. 2009. V. 458. P. 607.
- Ackermann M., Ajello M., Allafort A. et al. (Fermi-LAT Collaboration) // Phys. Rev. Lett. 2012. V. 108. Art. No. 011103.
- Ambrosi G., An Q., Asfandiyarov R. et al. (DAMPE Collaboration) // Nature. 2017. V. 552. P. 63.
- Adriani O., Akaike Y., Asano K. et al. (CALET Collaboration) // Phys. Rev. Lett. 2017. V. 119. Art. No. 181101.
- Aharonian F., Akhperjanian A.G., Barres de Almeida U. et al. (H.E.S.S. Collaboration) // Phys. Rev. Lett. 2008. V. 101. Art. No. 261104.
- Aab A., Abreu P., Aglietta M. et al. (Pierre Auger Collaboration) // Phys. Lett. B. 2016. V. 762. P. 288.
- Lagutin A.A., Nikulin Yu.A., Uchaikin V.V. // Nucl. Phys. B. Proc. Suppl. 2001. V. 97. P. 267.
- Lagutin A.A., Uchaikin V.V. // Nucl. Instrum. Meth. Phys. Res. B. 2003. V. 201. P. 212.
- Hu Y., Lazarian A., Xu S. // MNRAS. 2022. V. 512. P. 2111.
- Лагутин А.А., Волков Н.В., Кузьмин А.С., Тюменцев А.Г. // Изв. РАН. Сер. физ. 2009. Т. 73. № 5. С. 620; Lagutin A.A., Volkov N.V., Kuzmin A.S., Tyumentsev A.G. // Bull. Russ. Acad. Sci. Phys. 2009. V. 73. No. 5. P. 581.
- Samco S., Kilbas A., Marichev O. Fractional integrals and derivatives. Theory and Applications. New York: Gordon and Breach, 1993. 976 p.
- Volkov N.V., Lagutin A.A., Tyumentsev A.G. // J. Phys. Conf. Ser. 2015. V. 632. Art. No. 012027.
- Lagutin A.A., Makarov V.V., Tyumentsev A.G. // Proc. 27th ICRC. V. 5. (Hamburg, 2001). P. 1889.
- Berezhko E.G., Ksenofontov L.T., Ptuskin V.S. et al. // Astron. Astrophys. 2003. V. 410. P. 189.
- Blasi P., Serpico P. // Phys. Rev. Lett. 2009. V. 103. Art. No. 081103.
- Tomassetti N., Donato F. // Astron. Astrophys. 2012. V. 544. P. 16.
- Berezhko E., Ksenofontov L. // Astrophys. J. Lett. 2014. V. 791. P. L22.
- Cholis I., Hooper D., Linden T. // Phys. Rev. D. 2017. V. 95. Art. No. 123007.
- Uchaikin V., Zolotarev V. Chance and stability. Utrecht: VSP, 1999. 594 p.
- Fang K., Bi X.-J., Lin S.-J., Yuan Q. // Chin. Phys. Lett. 2021. V. 38. No. 3. Art. No. 039801.
- Batista R.A., Tjus J.B., Dörner J. // Proc. Sci. ICRC2021 (Berlin, 2021). Art. No. 978.
- Lagutin A.A., Volkov N.V. // Phys. Atom. Nucl. 2021. V. 84. No. 6. P. 975.
- Perri S., Zimbardo G. // Astrophys. J. 2007. V. 671. P. 177.
- Perri S., Zimbardo G. // Astrophys. Space Sci. Trans. 2008. V. 4. P. 27.
- Perri S., Zimbardo G. // J. Geophys. Res. 2008. V. 113. Art. № A03107.
- Sugiyama T., Shiota D. // Astrophys. J. Lett. 2011. V. 731. P. 34.
- Perri S., Zimbardo G. // Adv. Space Res. 2011. V. 44. P. 465.
- Zimbardo G., Perri S., Pommois P., Veltri P. // Adv. Space Res. 2012. V. 49. P. 1633.
- Perri S., Amato E., Zimbardo G. // Astron. Astrophys. 2016. V. 596. Art. No. A34.
- Wang S.-H., Fang K., Bi X.-J., Yin P.-F. // Phys. Rev. D. 2021. V. 103. Art. No. 063035.
- Лагутин А.А., Тюменцев А.Г. // Изв. АлтГУ. 2004. № 35(4). С. 4.
- Aguilar M., Ali Cavasonza L., Alpat B. et al. (AMS-02 Collaboration) // Phys. Rev. Lett. 2019. V. 122. Art. No. 101101.
- Adriani O., Akaike Y., Asano K. et al. (CALET Collaboration) // Phys. Rev. Lett. 2018. V. 120. Art. No. 261102.
- Abdollahi S., Ackermann. M, Ajello M. et al. (Fermi-LAT Collaboration) // Phys. Rev. D. 2017. V. 95. Art. No. 082007.
- Chang J., Adams J.H., Ahn H.S. et al. (Fermi-LAT Collaboration) // Nature. 2008. V. 456. P. 362.
- Yoshida K., Torii S., Yamagami T. et al. // Adv. Space Res. 2008. V. 42. P. 1670.
- DuVernois M.A., Barwick S.W., Beatty J.J. // Astrophys. J. 2001. V. 559. P. 296.
- Alcaraz J., Alpat B., Ambrosi G. // Phys. Lett. B. 2000. V. 484. P. 10.
- Adriani O., Barbarino G.C., Bazilevskaya G.A. et al. (PAMELA Experiment) // Phys. Rev. Lett. 2011. V. 106. Art. No. 201101.
- Adriani O., Barbarino G.C., Bazilevskaya G.A. et al. (PAMELA Experiment) // Phys. Rev. Lett. 2013. V. 111. Art. No. 081102.
- Boezio M., Carlson P., Francke T. // Astrophys. J. 2000. V. 532. P. 653.
- Schoo S., Apel W.D., Arteaga-Velázquez J.C. et al. // Proc. Sci. ICRC2015 (Hague, 2015). P. 263.
- Abbasi R.U., Abe M., Abu-Zayyad T. et al. // Astrophys. J. 2018. V. 865. P. 74.
- Aartsen M.G., Ackermann M., Adams J. et al. // Phys. Rev. D. 2019. V. 100. Art. No. 082002.
- Abreu P., Aglietta M., Albury J.M. et al. (Pierre Auger Collaboration) // Eur. Phys. J. 2021. V. 81 P. 966.
- Budnev N.M., Chiavassa A., Gress O.A. et al. // Astropart. Phys. 2020. V. 117. Art. No. 102406.
- Prosin V., Astapov I., Bezyazeekov P. et al. (TAIGA Collaboration) // arXiv: 2208.01689. 2022.
- Yushkov A.V. (on behalf of the Pierre Auger Collaboration) // Proc. Sci. ICRC2019 (Madison, 2019). P. 482.
Дополнительные файлы






