О форме линии люминесценции зона–акцептор в полупроводниках
- Авторы: Кокурин И.А.1,2, Аверкиев Н.С.1
-
Учреждения:
- Федеральное государственное бюджетное учреждение науки “Физико-технический институт имени А.Ф. Иоффе Российской академии наук”
- Федеральное государственное бюджетное образовательное учреждение высшего образования “Национальный исследовательский Мордовский государственный университет имени Н.П. Огарёва”
- Выпуск: Том 87, № 6 (2023)
- Страницы: 849-854
- Раздел: Статьи
- URL: https://ogarev-online.ru/0367-6765/article/view/135408
- DOI: https://doi.org/10.31857/S0367676523701478
- EDN: https://elibrary.ru/VLVYLH
- ID: 135408
Цитировать
Полный текст
Аннотация
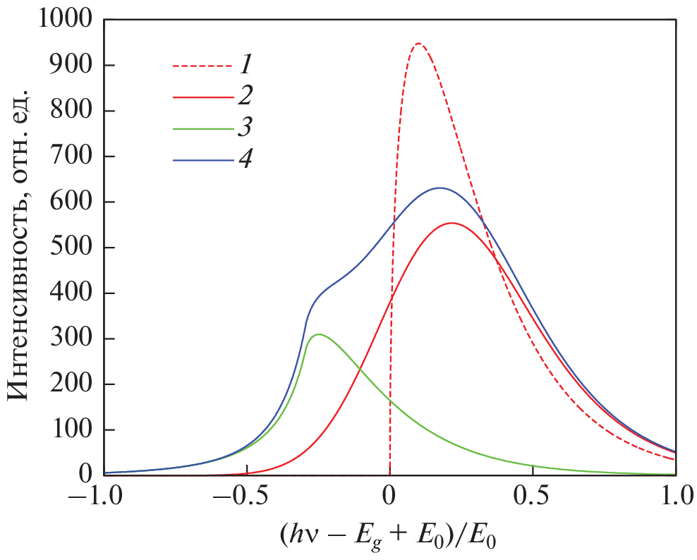
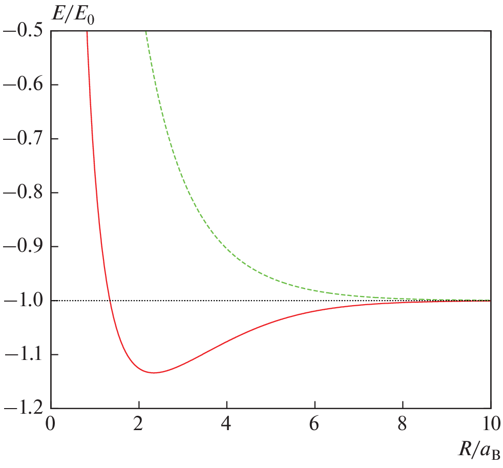
Предложено теоретическое объяснение формы длинноволнового края линии люминесценции, обусловленной рекомбинацией свободного электрона и дырки нейтрального акцептора. Во внимание принято образование комплексов, в которых одна дырка локализована полем двух притягивающих ионов (\(A_{2}^{ - }\) комплексы), и последующая рекомбинация дырок таких комплексов с электронами зоны проводимости. Кулоновское отталкивание в конечном состоянии после рекомбинации и разброс комплексов по величине межцентрового расстояния обеспечивают протяженный длинноволновый хвост линии люминесценции, сравнимый по величине с энергией ионизации одиночного акцептора.
Об авторах
И. А. Кокурин
Федеральное государственное бюджетное учреждение науки“Физико-технический институт имени А.Ф. Иоффе Российской академии наук”; Федеральное государственное бюджетное образовательное учреждение высшего образования
“Национальный исследовательский Мордовский государственный университет имени Н.П. Огарёва”
Автор, ответственный за переписку.
Email: ivan.a.kokurin@gmail.com
Россия, Санкт-Петербург; Россия, Саранск
Н. С. Аверкиев
Федеральное государственное бюджетное учреждение науки“Физико-технический институт имени А.Ф. Иоффе Российской академии наук”
Email: ivan.a.kokurin@gmail.com
Россия, Санкт-Петербург
Список литературы
- Williams E.W., Bebb H.B. // Semicond. Semimet. 1972. V. 8. P. 321.
- Skromme B.J., Bose S.S., Stillman G.E. // J. Electron. Mater. 1986. V. 15. No. 6. P. 345.
- Chen H.D., Feng M.S., Chen P.A. et al. // J. Appl. Phys. 1994. V. 75. No. 4. P. 2210.
- Ben Saddik K., Brana A.F., Lopez N. et al. // J. Cryst. Growth. 2021. V. 571. Art. No. 126242.
- Kundrotas J., Čerškus A., Valušis G. et al. // J. Appl. Phys. 2010. V. 107. No. 9. Art. No. 093109.
- Petrov P.V., Kokurin I.A., Ivanov Yu.L. et al. // Phys. Rev. B. 2016. V. 94. No. 8. Art. No. 085308.
- Ali H., Zhang Y., Tang J. et al. // Small. 2018. V. 14. No. 17. Art. No. 1704429.
- Williams E.W., Bebb H.B. // J. Phys. Chem. Solids. 1969. V. 30. No. 5. P. 1289.
- Eagles D.M. // J. Phys. Chem. Solids. 1960. V. 16. No. 1–2. P. 76.
- Brasil M.J.S.P., Bernussi A.A., Motisuke P. // Solid State Commun. 1989. V. 71. No. 1. P. 13.
- Kokurin I.A., Averkiev N.S. // Phys. Rev. B. 2023. V. 107. No. 12. Art. No. 125208.
- Levine I.N. Quantum chemistry. New Jersey: Prentice Hall, 1991.
- Atkins P.W., Friedman R.S. Molecular quantum mechanics. N.Y.: Oxford University Press, 2011.
- Слэтер Дж. Электронная структура молекул. М.: Мир, 1965.
- Kamiya T., Wagner E. // J. Appl. Phys. 1977. V. 48. No. 5. P. 1928.
- Lipari N.O., Baldereschi A. // Phys. Rev. Lett. 1970. V. 25. No. 24. P. 1660.
- Гельмонт Б.Л., Дьяконов М.И. // ФТП. 1971. Т. 5. № 11. С. 2191; Gel’mont B.L., D’yakonov M.I. // Sov. Phys. Semicond. 1972. V. 5. No. 11. P. 1905.
- Кокурин И.А., Петров П.В., Аверкиев Н.С. // ФТП. 2013. Т. 47. № 9. С. 1244; Kokurin I.A., Petrov P.V., Averkiev N.S. // Semiconductors. 2013. V. 47. No. 9. P. 1232.
Дополнительные файлы




