Flat-field correction on X-ray tomographic images using deep convolutional neural networks
- Authors: Grigorev А.Y.1, Buzmakov А.V.1
-
Affiliations:
- Shubnikov Institute of Crystallography of the Federal Scientific Research Centre “Crystallography and Photonics” of the Russian Academy of Sciences
- Issue: Vol 87, No 5 (2023)
- Pages: 685-691
- Section: Articles
- URL: https://ogarev-online.ru/0367-6765/article/view/135382
- DOI: https://doi.org/10.31857/S0367676522701149
- EDN: https://elibrary.ru/KVWGZD
- ID: 135382
Cite item
Full Text
Abstract
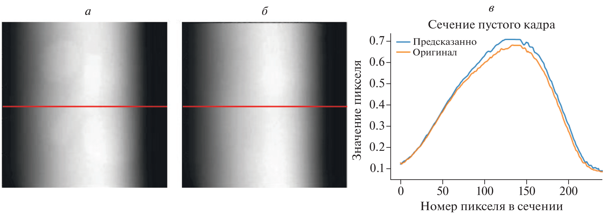
We proposed to use neural networks to solve the problem of flat-field correction. We described the process of selecting parameters of a deep convolutional neural network to solve the flat-field correction problem with the instability of an empty beam, describes the training of this network, and checks its operability on the generated data. The developed method was tested on data obtained both on laboratory X-ray sources and synchrotron sources.
About the authors
А. Yu. Grigorev
Shubnikov Institute of Crystallography of the Federal Scientific Research Centre “Crystallography and Photonics”of the Russian Academy of Sciences
Author for correspondence.
Email: grigorev.a@crys.ras.ru
Russia, 119333, Moscow
А. V. Buzmakov
Shubnikov Institute of Crystallography of the Federal Scientific Research Centre “Crystallography and Photonics”of the Russian Academy of Sciences
Email: grigorev.a@crys.ras.ru
Russia, 119333, Moscow
References
- Landis E.N., Keane D.T. // Mater. Charact. 2010. V. 61. No. 12. P. 1305.
- Seibert J.A., Boone J.M., Lindfors K.K. // Proc. SPIE. 1998. V. 3336. P. 348.
- Nieuwenhove V.V., Beenhouwer J.D., Carlo F.D. et al. // Opt. Express. 2015. V. 23. No. 21. P. 27975.
- Hagemann J., Vassholz M., Hoeppe H. et al. // J. Synchrotron Radiat. 2021. V. 28. No. 1. P. 52.
- Buakor K., Zhang Yu., Birnšteinová Š et al. // Optics Express. 2022. V. 30. No. 7. P. 10633.
- LeCun Y., Bengio Y., Hinton G. // Nature. 2015. V. 521. No. 7553. P. 436.
- Van Dyk D.A., Meng X.L. // J. Comput. Graphical Stat. 2001. V. 10. No. 1. P. 1.
- Бузмаков А.В., Асадчиков В.Е., Золотов Д.А. и др. // Кристаллография. 2018. Т. 63. № 6. С. 1007.
- Tlustos L., Campbell M., Heijne E., Llopart X. // 2003 IEEE Nuclear Science Symposium. V. 3. (Portland, 2003) P. 1588.
- Goodfellow I., Pouget-Abadie J., Mirza M. et al. // Advances in Neural Information Processing Systems. V. 27. (Montreal, 2014). P. 1.
- Ronneberger O., Fischer P., Brox Th. // Internat. Conf. Medical Image Computing and Computer-assisted Intervention. (Munich, 2015). P. 1.
- Ledig C., Theis L., Huszar F. et al. // Proc. IEEE Conf. Computer Vision and Pattern Recognition. (Honolulu, 2017). P. 4681.
- Wang L.T., Hoover N.E., Porter E.H., Zasio J.J. // Proc. 24th ACM/IEEE Design Automation Conference. (Miami Beach, 1987). P. 2.
- Ruder S. // arXiv: 1609.04747. 2016.
Supplementary files










