Effect of geometric parameters of two-section axisymmetric overdimensional relativistic diffraction generators on their output characteristics
- Authors: Gallyamova O.V.1, Khudyakov S.V.1
-
Affiliations:
- Faculty of Physics, Lomonosov Moscow State University
- Issue: Vol 87, No 4 (2023)
- Pages: 592-597
- Section: Articles
- URL: https://ogarev-online.ru/0367-6765/article/view/135368
- DOI: https://doi.org/10.31857/S0367676522701058
- EDN: https://elibrary.ru/MDPWUW
- ID: 135368
Cite item
Full Text
Abstract
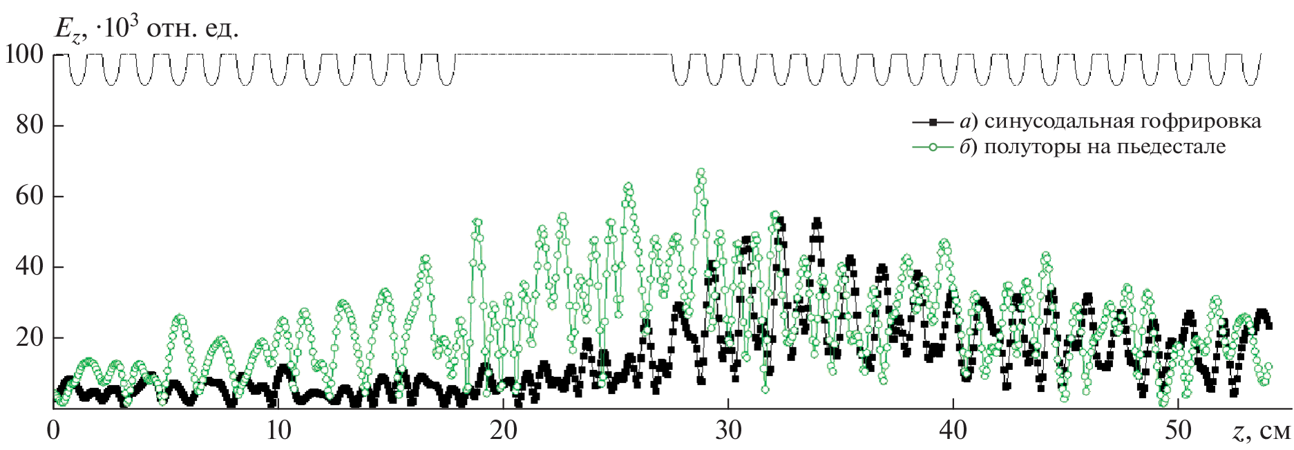
The effect of variation the length of drift tube of two-section structure of axisymmetric relativistic diffraction generator on its output power operation and sustainability of generation is considered. A comparison is made of the electromagnetic field strength distribution for structures with two types of discontinuity: sinusoidal corrugation and half-torus on pedestal.
About the authors
O. V. Gallyamova
Faculty of Physics, Lomonosov Moscow State University
Author for correspondence.
Email: gallyamova@physics.msu.ru
Russia, 119991, Moscow
S. V. Khudyakov
Faculty of Physics, Lomonosov Moscow State University
Email: gallyamova@physics.msu.ru
Russia, 119991, Moscow
References
- Бугаев С.П., Канавец В.И., Кошелев В.И., Черепе-нин В.А. Релятивистские многоволновые СВЧ-генераторы. Новосибирск: Наука. 1991. 293 с.
- Slepkov A.I., Gallyamova O.V. // Phys. Wave Phenom. 2010. V. 18. No. 2. P. 105.
- Канавец В.И., Слепков А.И., Федоров А.В. // Вестник МГУ. Сер. 3. Физ. и астроном. 1990. Т. 31. № 4. С. 30.
- Слепков А.И. // Изв. РАН. Сер. физ. 2003. Т. 67. № 12. С. 1678.
- Худяков С.В. Галлямова О.В. // Учен. зап. физ. фак-та МГУ. 2022. № 1. С. 2211201.
- Slepkov A.I., Gallyamova O.V. // Proc. Int. Conf. Days on Diffraction. (Saint-Petersburg, 2009). P. 172.
- Слепков А.И., Галлямова О.В. // Вестник МГУ. Сер. 3. Физ. и астроном. 2009. № 4. С. 30.
- Корниенко В.Н., Черепенин В.А. // Изв. вузов. Физ. 2014. Т. 57. № 12/2. С. 216.




