Adsorption of organic dyes by Fe3O4@C, Fe3O4@C@C, Fe3O4@SiO2 magnetic nanoparticles
- Authors: Ivanova O.S.1,2, Edelman I.S.1, Sokolov A.E.1,2, Svetlitsky E.S.1, Zharkov S.M.1,2, Sukhachev A.L.1, Lin C.R.3, Chen Y.Z.3
-
Affiliations:
- Kirensky Institute of Physics, Siberian Branch of the Russian Academy of Sciences
- Siberian Federal University
- National Pingtung University
- Issue: Vol 87, No 3 (2023)
- Pages: 390-395
- Section: Articles
- URL: https://ogarev-online.ru/0367-6765/article/view/135302
- DOI: https://doi.org/10.31857/S0367676522700685
- EDN: https://elibrary.ru/HGIVMM
- ID: 135302
Cite item
Full Text
Abstract
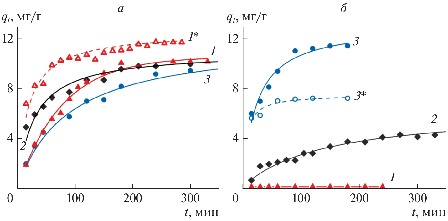
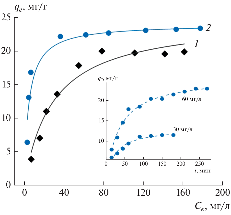
The Fe3O4@C, Fe3O4@C@C, and Fe3O4@SiO2 core-shell nanoparticles were synthesized using thermal decomposition and co-precipitation techniques and characterized by X-ray spectroscopy, transmission electron microscopy and magnetometry. It is shown that the magnetic core of all nanoparticles is nanocrystalline with crystal parameters corresponding to only one Fe3O4 phase, which is covered with a uniform shell of amorphous carbon or silicon oxide about 8 nm thick. The main attention was paid to the adsorption properties of nanoparticles with respect to four dyes: methylene blue, Congo red, eosin Y, and rhodamine C. The high selectivity of Fe3O4@C nanoparticles with respect to various dyes was revealed.
About the authors
O. S. Ivanova
Kirensky Institute of Physics, Siberian Branch of the Russian Academy of Sciences; Siberian Federal University
Author for correspondence.
Email: osi@iph.krasn.ru
Russia, 660036, Krasnoyarsk; Russia, 660041, Krasnoyarsk
I. S. Edelman
Kirensky Institute of Physics, Siberian Branch of the Russian Academy of Sciences
Email: osi@iph.krasn.ru
Russia, 660036, Krasnoyarsk
A. E. Sokolov
Kirensky Institute of Physics, Siberian Branch of the Russian Academy of Sciences; Siberian Federal University
Email: osi@iph.krasn.ru
Russia, 660036, Krasnoyarsk; Russia, 660041, Krasnoyarsk
E. S. Svetlitsky
Kirensky Institute of Physics, Siberian Branch of the Russian Academy of Sciences
Email: osi@iph.krasn.ru
Russia, 660036, Krasnoyarsk
S. M. Zharkov
Kirensky Institute of Physics, Siberian Branch of the Russian Academy of Sciences; Siberian Federal University
Email: osi@iph.krasn.ru
Russia, 660036, Krasnoyarsk; Russia, 660041, Krasnoyarsk
A. L. Sukhachev
Kirensky Institute of Physics, Siberian Branch of the Russian Academy of Sciences
Email: osi@iph.krasn.ru
Russia, 660036, Krasnoyarsk
Ch. R. Lin
National Pingtung University
Email: osi@iph.krasn.ru
Taiwan, 90003, Pingtung
Yu. Zh. Chen
National Pingtung University
Email: osi@iph.krasn.ru
Taiwan, 90003, Pingtung
References
- Wana Sh., Yu Ch., Li Y. et al. // Chem. Engin. J. 2021. V. 405. Art. No. 126576.
- Badruddoza A.Z.M., Shawon Z.B.Z., Tay W.J.D., Hidajat K. et al. // Carbohydr. Polym. 2013. V. 91. P. 322.
- Bharti M.K., Gupta S., Chalia S. et al. // J. Supercond. Nov. Magn. 2020. V. 33. P. 3651.
- Saiz J., Bringas E., Ortiz I. // J. Chem. Technol. Biotechnol. 2014. V. 89. P. 909.
- Bao X., Qiang Z., Chang J.H. et al. // J. Environ. Sci. 2014. V. 26. No. 5. P. 962.
- Chen L., Liu Y., He X., Zhang Y. // Chin. J. Chromatogr. 2015. V. 33. No. 5. P. 481.
- Xiang H., Ren G., Zhong Y. et al. // Nanomaterials. 2021. V. 11. P. 330.
- Xu P., Zeng G.M., Huang D.L. et al. // Sci. Total Environ. 2012. V. 424. P. 1.
- Allègre C., Moulin P., Maisseu M. et al. // J. Membr. Sci. 2006. V. 269. P. 15.
- Ghorbani F., Kamari S. // Environ. Technol. Innov. 2019. V. 14. Art. No. 100333.
- Robinson T., McMullan G., Marchant R. et al. // Bioresour. Technol. 2001. V. 77. P. 247.
- Lin Ch.-R., Ivanova O.S., Edelman I.S. et al. // Nanomaterials. 2022. V. 12. P. 376.
- Lin Ch.-R., Ivanova O.S., Petrov D.A. et al // Nanomaterials. 2021. V. 11. P. 2371.
- Stöber W., Fink A., Bohn E. // J. Colloid Interface Sci. 1968. V. 26. P. 62.
- Smit J., Wijn H.P.J. Ferrites: physical properties of ferrimagnetic oxides in relation to their technical applications. Eindhoven: N.V. Philips Gloeilampenfabrieken, 1959. 384 p.
- Azizian S. // J. Colloid Interface Sci. 2004. V. 276. P. 47.
- Langmuir I. // J. Amer. Chem. Soc. 1918. V. 40. P. 1361.
Supplementary files







