Magneto-optical spectroscopy of GaSb–MnSb composites
- Authors: Ganshina E.A.1, Pripechenkov I.M.1, Perova N.N.1, Kanazakova E.S.1, Oveshnikov L.N.2, Jaloliddinzoda M.3, Ril’ A.I.4, Granovsky A.B.1,5, Aronzon B.A.2
-
Affiliations:
- Lomonosov Moscow State University, Faculty of Physics
- Lebedev Physical Institute of the Russian Academy of Sciences
- National University of Science and Technology “MISiS”
- Kurnakov Institute of General and Inorganic Chemistry of the Russian Academy of Sciences
- Institute of Theoretical and Applied Electrodynamics of the Russian Academy of Sciences
- Issue: Vol 87, No 3 (2023)
- Pages: 328-332
- Section: Articles
- URL: https://ogarev-online.ru/0367-6765/article/view/135291
- DOI: https://doi.org/10.31857/S0367676522700570
- EDN: https://elibrary.ru/HEZIBP
- ID: 135291
Cite item
Full Text
Abstract
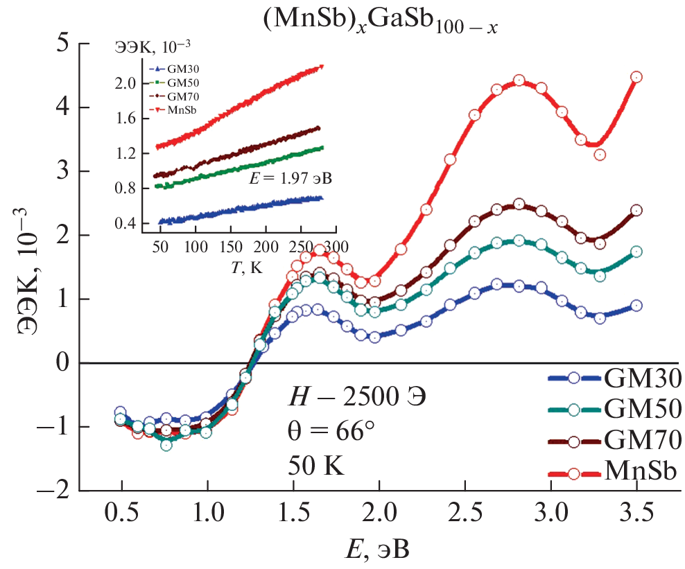
Polycrystalline samples of (GaSb)100 – x(MnSb)x composites with x = 69.2, 52.0 and 31.7 mol %, MnSb, Mn2Sb compounds were synthesized and their magneto-optical properties in the equatorial (transverse) Kerr effect geometry were studied. The difference of magneto-optical spectra for related compounds MnSb and Mn2Sb is shown. The anomalous temperature behavior of the magneto-optical signal in the composites and MnSb with decreasing temperature is associated with a redistribution of the population of d-states with the opposite spin index.
About the authors
E. A. Ganshina
Lomonosov Moscow State University, Faculty of Physics
Author for correspondence.
Email: eagan@mail.ru
Russia, 119991, Moscow
I. M. Pripechenkov
Lomonosov Moscow State University, Faculty of Physics
Email: eagan@mail.ru
Russia, 119991, Moscow
N. N. Perova
Lomonosov Moscow State University, Faculty of Physics
Email: eagan@mail.ru
Russia, 119991, Moscow
E. S. Kanazakova
Lomonosov Moscow State University, Faculty of Physics
Email: eagan@mail.ru
Russia, 119991, Moscow
L. N. Oveshnikov
Lebedev Physical Institute of the Russian Academy of Sciences
Email: eagan@mail.ru
Russia, 119991, Moscow
M. Jaloliddinzoda
National University of Science and Technology “MISiS”
Email: eagan@mail.ru
Russia, 119049, Moscow
A. I. Ril’
Kurnakov Institute of General and Inorganic Chemistry of the Russian Academy of Sciences
Email: eagan@mail.ru
Russia, 119991, Moscow
A. B. Granovsky
Lomonosov Moscow State University, Faculty of Physics; Institute of Theoretical and Applied Electrodynamics of the Russian Academy of Sciences
Email: eagan@mail.ru
Russia, 119991, Moscow; Russia, 125412, Moscow
B. A. Aronzon
Lebedev Physical Institute of the Russian Academy of Sciences
Email: eagan@mail.ru
Russia, 119991, Moscow
References
- Liang D., Yang Y.B., Yang W.Y. et al. // J. Alloys. Compounds. 2021. V. 856. Art. No. 158184.
- Okita T., Makino Y. // JPSJ. 1968. V. 25. No. 1. P. 120.
- Oveshnikov L.N., Nekhaeva E.I., Kochura A.V. et al. // Beilstein J. Nanotechnol. 2018. V. 9. No. 1. P. 2457.
- Ganesan K., Bhat H.L. // J. Supercond. Nov. Magn. 2008. V. 21. P. 391.
- Sato K., Katayama-Yoshida H. // Semicond. Sci. Technol. 2002. V. 17. No. 4. P. 367.
- Schmidt G. // J. Phys. D. 2005. V. 38. No. 7. Art. No. R107.
- Коплак О.В., Поляков А.А., Давыдов А.Б. и др. // ЖЭТФ. 2015 Т. 147. № 6. С. 1170; Koplak O.V., Polyakov A.A., Davydov A.B. et al. // JETP. 2015. V. 120. No. 6. P. 1012.
- http://evicomagnetics.com/productss/magneto-optical-kerr-microscope-magnetometer.
- Teramoto I., Van Run A. // J. Phys. Chem. Solids. 1968. V. 29. No. 2. P. 347.
- Kainzbauer P., Richter K.W., Ipser H. // JPED. 2016. V. 37. No. 4. P. 459.
- Ганьшина Е.А., Вашук М.В., Виноградов А.Н. и др. // ЖЭТФ. 2004. Т. 125. № 5. С. 1172; Gan’shina E.A., Vashuk M.V., Vinogradov A.N. et al. // JETP. V. 98. No. 5. P. 1027.
- Gan’shina E.A., Golik L.L., Kovalev V.I. et al. // Solid State Phenom. 2012. V. 190. P. 562.
Supplementary files






