Низкотемпературные свойства кремниевого детектора суб-терагерцового излучения
- Авторы: Хисамеева А.Р.1, Щепетильников А.В.1, Федотова Я.В.1, Дрёмин А.А.1, Кукушкин И.В.1
-
Учреждения:
- Федеральное государственное бюджетное учреждение науки Институт физики твердого тела имени Ю.А. Осипьяна Российской академии наук
- Выпуск: Том 87, № 2 (2023)
- Страницы: 172-176
- Раздел: Статьи
- URL: https://ogarev-online.ru/0367-6765/article/view/135268
- DOI: https://doi.org/10.31857/S0367676522700326
- EDN: https://elibrary.ru/AEANFW
- ID: 135268
Цитировать
Полный текст
Аннотация
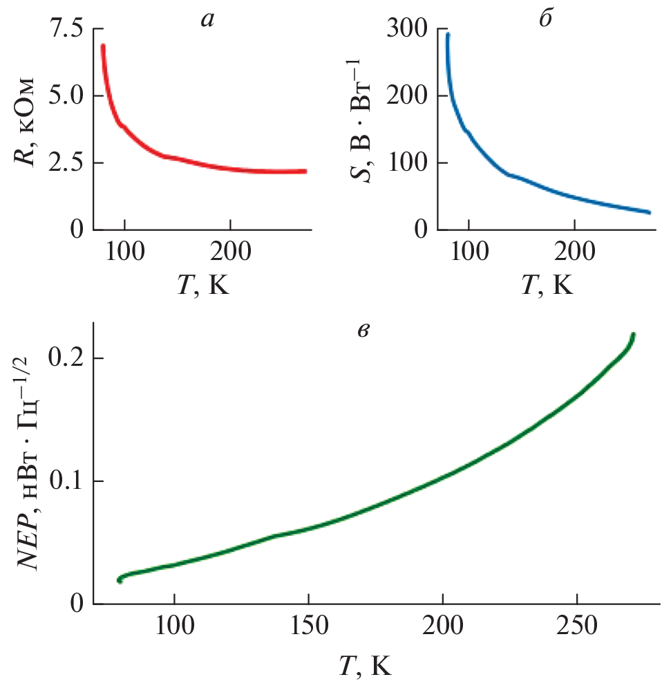
Свойства плазмонного детектора субтерагерцового излучения на основе кремния изучены в широком диапазоне температур, вплоть до азотной. Получены температурные зависимости чувствительности детектора, а также изучены его шумовые характеристики. Частотная зависимость чувствительности в диапазоне 70–120 ГГц была получена при комнатной температуре, при этом максимальное значение чувствительности, достигаемое на частоте 96 ГГц, составляло 25 В/Вт. Шумовой эквивалент мощности исследуемого детектора был оценен в предположении, что основным источником шума является шум Найквиста, и изменялся от значения 2 ⋅ 10–10 Вт ⋅ Гц–1/2 при комнатной температуре вплоть до 2 ⋅ 10–11 Вт ⋅ Гц–1/2 при температуре жидкого азота. Дополнительно были исследованы вольтамперные характеристики суб-ТГц детектора. Обнаружено, что в дифференциальном сопротивлении и чувствительности возникает особенность в зависимости от приложенного постоянного напряжения при переходе от комнатной температуры к азотной.
Об авторах
А. Р. Хисамеева
Федеральное государственное бюджетное учреждение наукиИнститут физики твердого тела имени Ю.А. Осипьяна Российской академии наук
Автор, ответственный за переписку.
Email: akhisameeva@issp.ac.ru
Россия, Черноголовка
А. В. Щепетильников
Федеральное государственное бюджетное учреждение наукиИнститут физики твердого тела имени Ю.А. Осипьяна Российской академии наук
Email: akhisameeva@issp.ac.ru
Россия, Черноголовка
Я. В. Федотова
Федеральное государственное бюджетное учреждение наукиИнститут физики твердого тела имени Ю.А. Осипьяна Российской академии наук
Email: akhisameeva@issp.ac.ru
Россия, Черноголовка
А. А. Дрёмин
Федеральное государственное бюджетное учреждение наукиИнститут физики твердого тела имени Ю.А. Осипьяна Российской академии наук
Email: akhisameeva@issp.ac.ru
Россия, Черноголовка
И. В. Кукушкин
Федеральное государственное бюджетное учреждение наукиИнститут физики твердого тела имени Ю.А. Осипьяна Российской академии наук
Email: akhisameeva@issp.ac.ru
Россия, Черноголовка
Список литературы
- Shuvaev A., Muravev V.M., Gusikhin P.A. et al. // Phys. Rev. Lett. 2021. V. 126. No. 13. Art. No. 136801.
- Siegel P.H. // IEEE Trans. Microwave Theory Techn. 2004. V. 52. No. 10. P. 2438.
- Siegel P.H. // IEEE Trans. Antennas Propag. 2007. V. 55. No. 11. P. 2957.
- Federici J., Moeller L. // J. Appl. Phys. 2010. V. 107. No. 11. P. 6.
- Song H.J., Nagatsuma T. // IEEE Trans. Terahertz Sci. Technol. 2011. V. 1. No. 1. P. 256.
- Koenig S., Lopez-Diaz D., Antes J. et al. // Nature Photon. 2013. V. 7. No. 12. P. 977.
- Chen Z., Ma X., Zhang B. et al. // China Commun. 2019. V. 16. No. 2. P. 1.
- Ogawa Y., Kawase K., Yamashita M. et al. // Proc. CLEO. V. 1. (Sun Francisco, 2004). P. 3.
- Shen Y.C., Lo A.T., Taday P.F. et al. // Appl. Phys. Lett. 2005. V. 86. No. 24. Art. No. 241116.
- Tzydynzhapov G., Gusikhin P., Muravev V. et al. // J. Infrared Millim. Terahertz Waves. 2020. V. 41. No. 6. P. 632.
- Shchepetilnikov A.V., Gusikhin P.A., Muravev V.M. et al. // Appl. Opt. 2021. V. 60. No. 33. Art. No. 10448.
- Dyakonov M.I., Shur M.S. //IEEE Trans. Electron Devices. 1996. V. 43. No. 10. P. 1640.
- Lü J.Q., Shur M.S. // Appl. Phys. Lett. 2001. V. 78. No. 17. P. 2587.
- Fetterman H.R., Clifton B.J., Tannenwald P.E. et al. // Appl. Phys. Lett. 1974. V. 24. No. 2. P. 70.
- Karasik B.S., Sergeev A.V., Prober D.E. // IEEE Trans. Terahertz Sci. Technol. 2011. V. 1. No. 1. P. 97.
- Whatmore R.W. // Rep. Prog. Phys. 1986. V. 49. No. 12. P. 1335.
- Fernandes L.O.T., Kaufmann P., Marcon R. et al. // Proc. XXXth URSI GASS. (Istanbul, 2011). P. 1.
- Muravev V.M., Gusikhin P.A., Andreev I.V. et al. // Phys. Rev. Lett. 2015. V. 114. No. 10. Art. No. 106805.
- Muravev V.M., Gusikhin P.A., Zarezin A.M. et al. // Phys. Rev. B. 2019. V. 99. No. 24. Art. No. 241406.
- Muravev V.M., Kukushkin I.V. // Appl. Phys. Lett. 2012. V. 100. No. 8. Art. No. 082102.
- Муравьев В.М., Соловьев В.В., Фортунатов А.А. и др. // Письма в ЖЭТФ. 2016. Т. 103. № 12. С. 891; Muravev V.M., Solov’ev V.V., Fortunatov A.A. et al. // JETP Lett. 2016. V. 103. No. 12. P. 792.
- Shchepetilnikov A.V., Kaysin B.D., Gusikhin P.A. et al. // Opt. Quantum Electron. 2019. V. 51. No. 12. P. 1.
- Shchepetilnikov A.V., Gusikhin P.A., Muravev V.M. et al. // J. Infrared Millim. Terahertz Waves. 2020. V. 41. No. 6. P. 655.





