Анализ когнитивной нагрузки в задаче Стернберга с использованием окулографии
- Авторы: Брусинский Н.А.1, Бадарин А.А.1,2, Андреев А.В.1,2, Антипов В.М.1,2, Куркин С.А.1,2, Храмов А.Е.1,2
-
Учреждения:
- Федеральное государственное автономное образовательное учреждение высшего образования “Балтийский федеральный университет имени Иммануила Канта”, Балтийский центр нейротехнологий и искусственного интеллекта
- Автономная некоммерческая организация высшего образования “Университет Иннополис”, Лаборатория нейронауки и когнитивных технологий, Центр технологий компонентов робототехники и мехатроники
- Выпуск: Том 87, № 1 (2023)
- Страницы: 125-128
- Раздел: Статьи
- URL: https://ogarev-online.ru/0367-6765/article/view/135260
- DOI: https://doi.org/10.31857/S0367676522700235
- EDN: https://elibrary.ru/JUNVSW
- ID: 135260
Цитировать
Полный текст
Аннотация
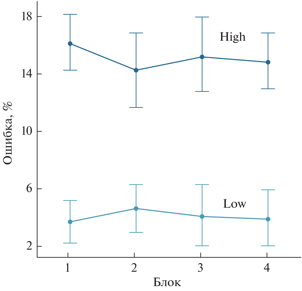
Изучены физиологические и поведенческие характеристики человека во время продолжительного решения когнитивной задачи, основанной на парадигме Стернберга. Выявлена взаимосвязь между субъективной усталостью испытуемого и такими физиологическими характеристиками как длительность морганий и диапазон движения размера зрачка во время решения задачи.
Об авторах
Н. А. Брусинский
Федеральное государственное автономное образовательное учреждение высшего образования“Балтийский федеральный университет имени Иммануила Канта”,
Балтийский центр нейротехнологий и искусственного интеллекта
Автор, ответственный за переписку.
Email: nikita@brusinskii.ru
Россия, Калининград
А. А. Бадарин
Федеральное государственное автономное образовательное учреждение высшего образования“Балтийский федеральный университет имени Иммануила Канта”,
Балтийский центр нейротехнологий и искусственного интеллекта; Автономная некоммерческая организация высшего образования
“Университет Иннополис”, Лаборатория нейронауки и когнитивных технологий,
Центр технологий компонентов робототехники и мехатроники
Email: nikita@brusinskii.ru
Россия, Калининград; Россия, Иннополис
А. В. Андреев
Федеральное государственное автономное образовательное учреждение высшего образования“Балтийский федеральный университет имени Иммануила Канта”,
Балтийский центр нейротехнологий и искусственного интеллекта; Автономная некоммерческая организация высшего образования
“Университет Иннополис”, Лаборатория нейронауки и когнитивных технологий,
Центр технологий компонентов робототехники и мехатроники
Email: nikita@brusinskii.ru
Россия, Калининград; Россия, Иннополис
В. М. Антипов
Федеральное государственное автономное образовательное учреждение высшего образования“Балтийский федеральный университет имени Иммануила Канта”,
Балтийский центр нейротехнологий и искусственного интеллекта; Автономная некоммерческая организация высшего образования
“Университет Иннополис”, Лаборатория нейронауки и когнитивных технологий,
Центр технологий компонентов робототехники и мехатроники
Email: nikita@brusinskii.ru
Россия, Калининград; Россия, Иннополис
С. А. Куркин
Федеральное государственное автономное образовательное учреждение высшего образования“Балтийский федеральный университет имени Иммануила Канта”,
Балтийский центр нейротехнологий и искусственного интеллекта; Автономная некоммерческая организация высшего образования
“Университет Иннополис”, Лаборатория нейронауки и когнитивных технологий,
Центр технологий компонентов робототехники и мехатроники
Email: nikita@brusinskii.ru
Россия, Калининград; Россия, Иннополис
А. Е. Храмов
Федеральное государственное автономное образовательное учреждение высшего образования“Балтийский федеральный университет имени Иммануила Канта”,
Балтийский центр нейротехнологий и искусственного интеллекта; Автономная некоммерческая организация высшего образования
“Университет Иннополис”, Лаборатория нейронауки и когнитивных технологий,
Центр технологий компонентов робототехники и мехатроники
Email: nikita@brusinskii.ru
Россия, Калининград; Россия, Иннополис
Список литературы
- Hramov A.E., Maksimenko V.A., Pisarchik A.N. // Phys. Reports. 2021. V. 918. P. 1.
- Maksimenko V., Khorev V., Grubov V. et al. // Proc. SPIE. 2020. V. 11459. Art. No. 1145903.
- Badarin A.A., Antipov V.M., Grubov V.V. et al. // Comput. Biophys. Nanobiophoton. 2022. V. 12 194. P. 142.
- Бадарин А.А., Грубов В.В., Андреев А.В. и др. // Изв. вузв. Прикл. нелин. динам. 2022. Т. 30. № 1. С. 96.
- Hessels R.S., Hooge I.T. // Dev. Cogn. Neurosci. 2019. V. 40. Art. No. 100710.
- Schweitzer R., Rolfs M. // Sci. Adv. 2021. V. 7 Art. No. 30.
- Bryc M., Murali S., Händel B. // Front. Psychol. 2021. V. 12. Art. No. 647256.
- Poli F., Serino G., Mars R.B., Hunnius S. // Sci. Adv. 2020. V. 6. No. 39. Art. No. eabb5053.
- Lee K.A., Hicks G., Nino-Murcia G. // Psychiatry Res. 1991. V. 36. No. 3. P. 291.
- Klabes J., Babilon S., Zandi B. et al. // Vision. 2021. V. 5. P. 21.
- Bakdash J.Z., Marusich L.R. // Front. Psychol. 2017. V. 8. P. 456.
- Zargari Marandi R., Madeleine P., Omland Ø. et al. // Sci. Reports. 2018. V. 8. Art. No. 13148.





