Simulation of Low-Pressure Inductively Coupled Plasma with Displacement Potential and Gas Flow
- Authors: Shemakhin A.Y.1
-
Affiliations:
- Kazan (Volga Region) Federal University
- Issue: Vol 50, No 1 (2024)
- Pages: 74-86
- Section: PLASMA DIAGNOSTICS
- URL: https://ogarev-online.ru/0367-2921/article/view/260999
- DOI: https://doi.org/10.31857/S0367292124010074
- EDN: https://elibrary.ru/SJVJCE
- ID: 260999
Cite item
Full Text
Abstract
The dependence of the parameters of low-pressure inductively coupled argon plasma (13.3–113 Pa) and field frequency of 13.5٦ MHz at the coil on the potential applied to the electrode and on gas flow rate up to 4000 sccm is numerically studied. The model is developed in the COMSOL Multiphysics environment and verified with experimental data, as well as over the Knudsen number. As a result of a numerical experiment, it is revealed as follows: when the displacement potential increases linearly, the density of charged particles increases exponentially and a slight increase in the electron temperature is observed; when the gas flow rate increases linearly, the density of charged particles increases exponentially, the density of excited states has an extremum at 2000 sccm, and the gas and electron temperature increases linearly.
Full Text
ВВЕДЕНИЕ
Существует ряд исследований, в которых используется индукционно-связанная плазма (ИСП) с приложенным потенциалом смещения к подложке образца для увеличения энергии заряженных частиц [1–7]. Соединение ИСП с приложенным потенциалом образует комбинированный емкостной и высокочастотный индукционный (ВЧИ) разряд [3]. Комбинированная плазма обладает положительными свойствами объединенных типов разрядов: высокая температура электронов и чистота плазмы от ИСП, смещение заряженных частиц и контроль концентрации ионов с помощью приложенного напряжения к электроду –от емкостного разряда.
Зависимость параметров плазмы от приложенного потенциала уже исследовалась во множестве публикаций.
В работе [5] моделировали ВЧИ-разряд с потенциалом смещения, и был получен экспоненциальный рост концентрации электронов в зависимости от потенциала, однако последний был приложен к индуктору, что не позволяет добиться смещения заряженных частиц.
В работе [7] исследована зависимость параметров комбинированного разряда от давления 0.4 и 20 Па с потенциалом смещения, однако сам потенциал не изменялся.
В работе [8] проведено моделирование зависимости ВЧИ плазмы с потенциалом смещения от -100 до -300 В при давлениях 0.1–10 Па с плоским индуктором. При увеличении модуля потенциала смещения поток ионов на подложку возрастал, однако в работе не приведены концентрации заряженных частиц.
В работе [9] численно исследована зависимость энергии ионов аргона и кислорода от потенциала смещения на индукторе. В результате расчетов энергия ионов возрастает с повышением потенциала смещения.
Еще одним способом вывода заряженных частиц из плазменного сгустка ВЧИ-разряда является их свдиг потоком газа [10–12]. Данный способ сдвига в совокупности с приложенным потенциалом смещения зачастую используется в реактивном ионном травлении [13–23].
Поток ВЧ-плазмы был численно исcледован в работах [24–29].
В работе [30] исследовали температуру нейтрального газа и скорость потока в зависимости от расхода газа при атмосферном давлении. В результате сопоставлены подходящие значения расхода газа и диаметра сопла для получения оптимальных характеристик разряда, однако не проведены исследования зависимости концентрации заряженных частиц от расхода газа.
Была представлена также модель с расходом газа [31], но, как и в работе [30], изучали ИСП атмосферного давления без расчетов концентраций электронов, ионов и метастабильных состояний атомов.
На основе проведенного обзора видно, что в перечисленных работах зависимости параметров ВЧИ-плазмы, таких как концентрации электронов, ионов, возбужденных состояний атома и температуры от приложенного потенциала и расхода газа, изучены недостаточно хорошо. К тому же большинство работ по исследованию зависимости от потенциала смещения посвящены установкам с плоским индуктором; эффекты, связанные с приложенным потенциалом смещения в геометрии с соленоидальной катушкой, остаются весьма плохо изученными.
Данная работа посвящена численному исследованию влияния потенциала смещения на электроде и расхода газа на индукционно-связанную плазму пониженного давления в геометрии с соленоидальным индуктором. Такие параметры выбраны для верификации разработанной модели с экспериментальной работой [1].
МАТЕМАТИЧЕСКАЯ МОДЕЛЬ ВЫСОКОЧАСТОТНОГО ИНДУКЦИОННОГО РАЗРЯДА
Двумерная осесимметричная модель индуктивно-связанной плазмы разработана с помощью пакета COMSOL multiphysics. Модель состоит из уравнений Навье–Стокса (модуль laminar flow), модифицированных уравнений Максвелла (модуль magnetic fields); уравнений для плотности электронов, плотности энергии электронов и плотности возбужденных состояний.
Использована упрощенная схема атома аргона, в которой четыре низших близко расположенных электронно-возбужденных состояния (два метастабильных и два резонансных состояния) заменены единым уровнем с концентрацией nm. Такая схема часто используется при моделировании аргоновой плазмы и обоснована эффективным перемешиванием этих уровней электронным ударом [32].
Схема установки и расчетная область представлены на рис. 1.
Рис. 1. Схема установки, обозначения границ и геометрия расчетной области двумерной осесимметричной модели. Размеры даны в мм, подача аргона проходит с нижнего торца трубки, на верхнем торце задано постоянное давление (граничное условие откачки газа). Фиолетовыми линиями схематично изображен плазменнный сгусток
2.1. Моделирование течения плазмообразующего газа
Для рассматриваемых в настоящей работе расходов газа до 8000 sccm число Рейнольдса не превышает 10, поэтому течение плазмообразующего газа моделируется с помощью модуля Laminar Flow. Газодинамика модели основана на уравнениях Навье–Стокса для сжимаемых потоков (число Маха < 0.3):
, (1)
, (2)
, (3)
плотность рассчитывается из уравнения Менделеева–Клайперона:
. (4)
Здесь I — единичный тензор, p — давление, ρn — плотность газа, v — скорость газа, m — динамическая вязкость, R — газовая постоянная, Mn — молярная масса.
Граничные условия для уравнений Навье–Стокса следующие. На границе inlet рассчитывается граничная скорость газа из значения массового расхода газа
, (5)
где m — массовый поток газа, n — вектор нормали, v — вектор скорости потока, задаваемый пуазейлевским профилем течения.
На границе outlet установлено постоянное давление в диапазоне 13.3–113 Па.
2.2. Модель высокочастотного электромагнитного поля
Для приведения периодичных во времени уравнений Максвелла, решаемого COMSOL multiphysics (модуль Magnetic Fields), используется модифицированный закон Ампера, включающий в себя токи смещения:
, (6)
где i — мнимая единица, ω — циклическая частота, σ — электропроводность, ε0 — электрическая постоянная, A — векторный потенциал, μ0 — магнитная постоянная, M — вектор намагниченности, Je — плотность тока, Ecurl — вихревая составляющая напряженности электрического поля.
Данные уравнения имеют следующее граничное условие (на границе ins, см. рис. 1):
. (7)
2.3. Моделирование динамики плазмы
Следующие уравнения были введены с использованием интерфейса PDE в пакете COMSOL multiphysics. Используется предположение о максвелловской функции распределения электронов по энергиям (ФРЭЭ). Оценки отклонения ФРЭЭ от максвеловской, выполненные с учетом влияния электромагнитного поля и представления в виде суммы максвелловской части foo и полевой f1 [33], показали, что для частоты 13,56 МГц отклонение от максвелловской ФРЭЭ не превышает 10% при частоте соударений 108 Гц. Поэтому использование ФРЭЭ Максвелла в расчетах считаем допустимым [34].
Уравнения для плотности электронов, энергии электронов и возбужденных состояний имеют следующий вид:
, (8)
, (9)
, (10)
, (11)
. (12)
Здесь Cp — теплоемкость несущего газа, qhf — вектор потока тепла, Q — источник тепла. Вектор скорости u получен из уравнений Навье–Стокса (3), ne — плотность электронов, np — плотность ионов, t — время, Re = νc3ne + νc4nm — источник электронов, который представляет собой сумму реакций ионизации; nc3, nc4 — частоты ионизации для реакции 3 и 4 (табл. 1), nm — плотность возбужденных состояний, ne = (3/2)kTene — плотность энергии электронов, — потеря энергии электронов, которая представляет собой сумму потерь энергии при столкновениях во всех реакциях, δε2–4 — потеря энергии для соответствующей реакции, nc — частота упругих столкновений, k — постоянная Больцмана, T — температура несущего газа (в данной модели начальная температура T = 300 K), e — элементарный заряд, Dm — коэффициент диффузии возбужденных атомов. Потоки Ге, Гр и Гe имеют вид
Таблица 1. Использованные при моделировании реакции (сверху вниз: столкновение, возбуждение, ионизация в основном состоянии, ступенчатая ионизация). Ar * относится к возбужденным состояниям Ar(4s). Для каждой реакции приведены потери энергии Δεj [эВ] и частота реакции νcj [1/с], (j = 1, 2, 3, 4)
Процесс | Реакция | Dej [эВ] | νcj |
Упругие соударения | e + Ar → e + Ar | – | νc |
Первичное возбуждение | e + Ar → e + Ar * | 11.55 | νc2 |
Первичная ионизация | e + Ar → 2e + Ar+ | 15.76 | νc3 |
Ступенчатая ионизация | e + Ar * → 2e + Ar+ | 4.21 | νc4 |
, (13)
, (14)
, (15)
где Ep — потенциальная составляющая электрического поля (считается, что усреднение по времени по вихревому электрическому полю дает ноль), me — подвижность электронов, De — коэффициент диффузии электронов, μp — подвижность ионов, Dp — коэффициент диффузии ионов, μe — коэффициент пропорциональности между дрейфовым переносом энергии и приложенным электрическим полем (энергетическая подвижность), De — коэффициент диффузии энергии электронов.
На стенке разрядной трубки wall граничные условия для потоков частиц и энергии выглядят следующим образом:
, (16)
, (17)
, (18)
где ve — средняя хаотическая скорость электрона, vp — мультикомпонентная скорость диффузии для ионов, ωp — массовая доля ионов, ρ — плотность смеси, γj — коэффициент вторичной эмиссии электронов с поверхности, n — единичный вектор нормали, ε — средняя энергия. На выходной границе outlet разрядной области формулируются “мягкие” краевые условия
, (19)
, (20)
. (21)
Граничные условия для заряда:
. (22)
Здесь D — вектор электрического смещения.
Начальные условия задаются следующим образом: ne(0, r) = 1015 м–3, np(0, r) = 1015 м–3, nm(0, r) = = 1015 м–3, ne(0, r) = 3 · 1015 эВ/м3.
Ключевым моментом в исследовании расчетной модели является описание реакций, проходящих в плазменной системе и при движении плазменного потока, а также компонентов этих реакций. Ключевой тип реакции — столкновение электронов с тяжелыми частицами, который задается в узлах electron impact reaction. В программу задается химическая формула соответствующего типа реакции, скорость реакции зависит от порядка реакции и молярной концентрация каждого вида. В компактной форме уравнение для j-й скорости реакции выглядит следующим образом:
, (23)
, (24)
где ck — молярная концентрация образца k [моль/м3], kf, j — коэффициент скорости j-й реакции (в [1/с] для первого порядка реакций, [м3/(моль · с)] для реакций второго порядка или [м6/(моль2 · с)] для реакций третьего порядка), nk, j — стехиометрическая матрица, соответствующая прямым реакциям, , σk — сечение столкновений k-й реакции, f(ε) — функция распределения.
Коэффициенты переноса электронов и ионов рассчитываются с помощью функции распределения электронов по энергиям
, (25)
, (26)
, (27)
, (28)
где , me — масса электрона, Nn =p/(kT) — концентрация нейтрального газа, e – энергия электронов, σcs(ε) — транспортное сечение рассеяния электронов на атомах, зависящее от энергии, из базы данных PHELPS [35], νcp — частота упругих соударений ионов с нейтральными атомами, f(ε) — функция распределения электронов по энергии (ФРЭЭ).
Для энергии электронов и компонент переноса возбужденных состояний, рассчитанных из me и температуры электронов Te, выражения выглядят следующим образом:
, (29)
, (30)
, (31)
где , — средняя энергия и кг — масса аргона.
Частота упругих столкновений, используемая для расчета ne также получена из ФРЭЭ и данных поперечного сечения
, (32)
, (33)
, (34)
. (35)
Частоты упругих и неупругих столкновений вычисляются по формулам (32)–(35). σcs(ε) — σcs4(ε) — функции поперечных сечений реакций, указанных в табл. 1.
ФРЭЭ рассчитывается с использованием распределения Максвелла
, (36)
, (37)
. (38)
Электропроводность в области разряда рассчитывается по формуле
, (39)
где iω — мнимая часть угловой частоты тока на катушке.
Потенциальная компонента напряженности электрического поля Ep рассчитывается из уравнения Пуассона
. (40)
Здесь ρq — плотность заряда, φ — потенциал, ε0 — электрическая постоянная.
Граничные условия для уравнения Пуассона записываются в следующем виде. На диэлектрической стенке wall , и решается уравнение
, (41)
где ss — плотность поверхностного заряда, ji = eГi, je = eГe; на границе inlet n · Ep = 0 и outlet φoutlet = Vshift, т. е. задается потенциал смещения.
АЛГОРИТМ РЕШЕНИЯ СИСТЕМЫ УРАВНЕНИЙ
Алгоритм решения уравнений модели представлен на рис. 2. Каждый блок состоит из уравнений, которые решаются в нем для каждой ячейки в сетке модели. Стоит отметить, что приведены лишь основные уравнения, чтобы не перегружать блок-схему. Переменные, получаемые при решении уравнений переходят из блока в блок, таким образом модель получается самосогласованной.
Рис. 2. Блок-схема численной модели. Основные уравнения приведены в блоках, каждый блок принимает на вход определенный набор переменных и выдает результаты расчетов в виде следующих переменных. Стрелками обозначены переходы из одного блока уравнений в другой
Рассмотрим схему подробнее. Учтем, что в начале расчета заданы значения тока на индукторе, давления, частоты тока, граничные условия и начальные приближения. Тогда из блока Уравнения Максвелла (модуль Magnetic Fields) мы получаем вихревую компоненту электрического поля Е, которая подается на вход Уравнения для плотности энергии электронов, откуда мы получаем значение ne. Решаются уравнение для плотности электронов, ионов и уравнение Пуассона, находящиеся в блоке Уравнение на плотность электронов.
Далее определяется средняя энергия ε, с помощью нее вычисляются ФРЭЭ и частоты столкновений, ионизации и возбуждения атомов. Дополнительно, рассчитав проводимость плазмы в блоках Проводимость и нагрев плазмы, Уравнения Навье–Стокса и Уравнение теплопереноса, можно получить значение удельной мощности разряда Qr и параметров s, p и v, T; итерация завершается.
РАСЧЕТ ПАРАМЕТРОВ ПЛАЗМЫ ПРИ ПОНИЖЕННОМ ДАВЛЕНИИ С ПОТЕНЦИАЛОМ СМЕЩЕНИЯ И ПОТОКОМ ГАЗА
4.1. Геометрия расчетной области
Были проведены расчеты параметров плазмы с помощью пакета Comsol multiphysics [36] в двумерной осесимметричной постановке с учетом приложенного потенциала на верхнем фланце камеры, а также с потоком нейтрального газа вдоль разрядной трубки. Разрядная трубка представляет собой цилиндр высотой 200 мм, радиусом 12 мм с кварцевой стенкой толщиной 2 мм и трехвитковым индуктором с диаметром катушки 4 мм. Для упрощения построения сетки индуктор задан в виде трех колец с квадратным сечением.
Геометрия расчетной области изображена на рис. 1. Разряд моделировался при следующих параметрах: газ аргон, частота тока на индукторе 13.56 МГц, мощность на индукторе 1300 Вт.
Геометрия разделена на несколько расчетных областей: внутренняя часть трубки, заполненная аргоном, ее кварцевые стенки, медный индуктор и окружающая среда, заполненная воздухом. Внутренняя часть трубки и стенка разбиты на квадратные элементы с размером стороны в 1 мм, индуктор и окружающая среда имеют шаг сетки в 2 мм.
Проведены были численные эксперименты в двух вариантах:
1) с различными значениями потенциала смещения, поданного на верхний фланец, вследствие чего увеличивается z-компонента потенциального электрического поля Ep,z;
2) с различными значениями потока газа, продуваемого через трубку, что увеличивает z-компоненту скорости газа vz .
Целью этих экспериментов было выявление зависимостей концентрации заряженных частиц и их температуры от данных параметров Ep,z и vz
4.2. Моделирование с потенциалом смещения на границе
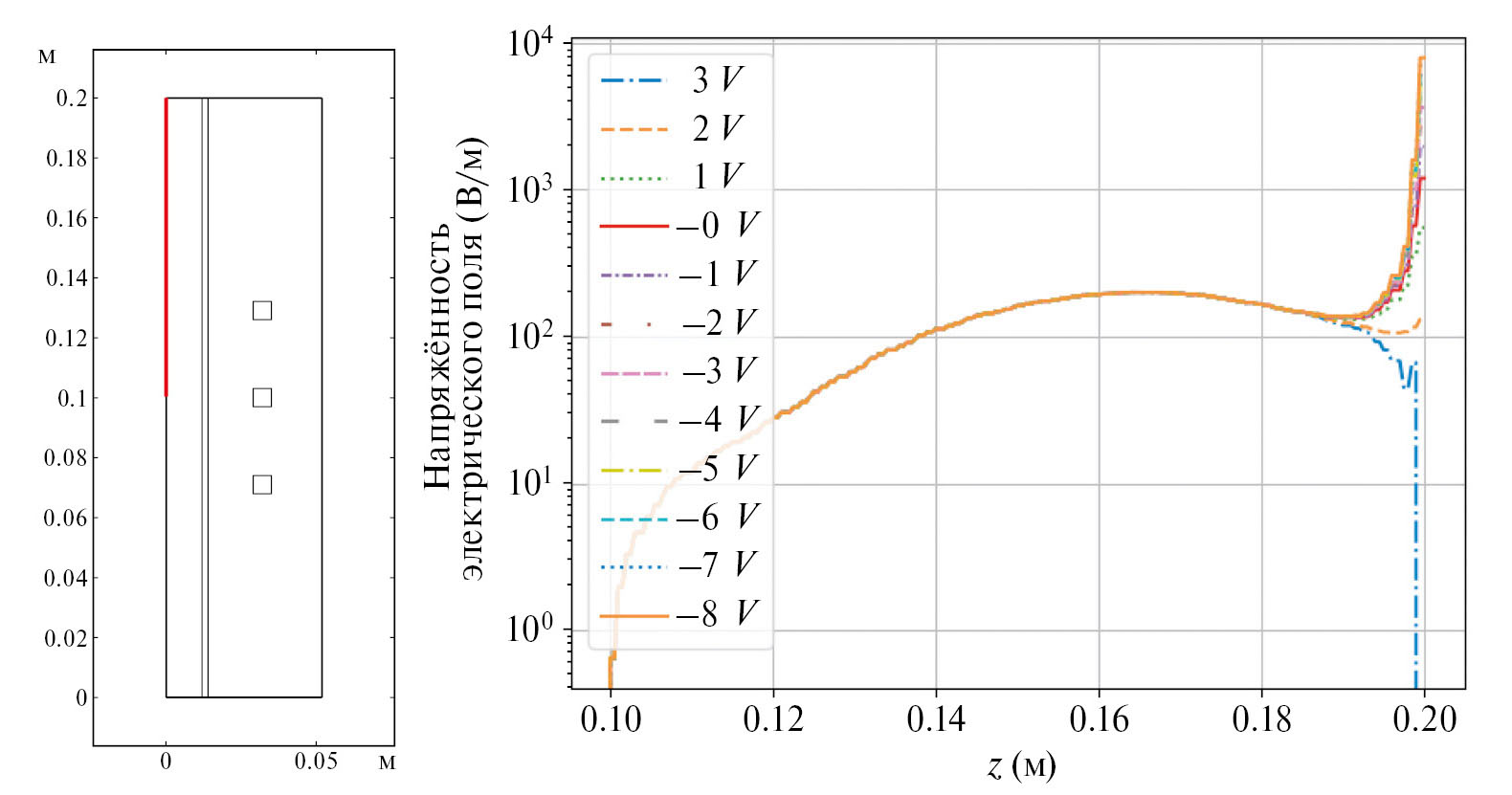
В первой серии экспериментов на верхнем фланце задавался потенциал смещения φ в диапазоне от –8 до 3 В относительно кварцевой стенки. Данное смещение вносит вклад в напряженность электрического поля Ep,z (уравнение (40)), вследствие чего заряженные частицы приобретают дополнительную скорость по полю или против поля в зависимости от знака заряда частицы. Данный эффект обьясняется увеличением дрейфового потока и, следовательно, относительным уменьшением дифузионного потока в уравнениях для ne, ni (8).
Распределение аксиальной компоненты потенциального поля Ep,z вдоль оси z показано на рис. 3. Поле Ep,z изменяется на расстоянии 10 мм от выходного отверстия плазмотрона, вследствие чего изменения концентрации электронов и ионов приходятся на малую часть от всей расчетной области.
Рис. 3. Область распределения (а), распределение напряженности потенциального поля Ep,z вдоль разрядной трубки при разных значениях потенциала смещения φ на верхней границе (б)
Зависимость концентрации частиц от приложенного потенциала показана на рис. 4. Как видно на графике, при повышении потенциала, концентрация электронов и ионов увеличивается экспоненциально. Причем концентрация электронов ne при φ > 0 увеличивается быстрее, чем ионов ni. Следует отметить, что при φ < 0 ni имеют большую концентрацию, чем ne.
Рис. 4. Область распределения (а), зависимость температуры электронов на выходе разрядной трубки от потенциала смещения φ на верхней границе (б)
Также установлено, что потенциал смещения на концентрации возбужденных и нейтральных частиц не влияет, вследствие чего не меняется и температура газа.
4.3. Верификация модели по потоку газа
Концентрация ионов и электронов имеют почти один и тот же вид из-за того, что при сдвиге ионов потоком газа создается разность потенциалов, вследствие чего электроны устремляются за ионами.
Концентрации ne, ni монотонно увеличиваются с увеличением расхода газа G. Увеличение концентрации электронов при G > 4000 sccm в модели обусловлено ростом средней энергии электронов, вследствие чего увеличивается число ионизованных частиц. В то же время экспериментальные данные [1] показывают, что начиная с расхода G = 4000 sccm, концентрация электронов не растет, а начиная с G = 7500 sccm падает.
Таким образом, рассмотренная модель корректно описывает характеристики разряда до G > 4000 sccm [26].
На рис. 5б видно, что при высоких значениях расхода газа (G > 3000) появляется дополнительный плазменный сгусток, который отсутствует при низких расходах газа (рис. 5а). Данный артефакт и вносит поправку в концентрацию электронов на выходе из плазмотрона (рис. 10).
Рис. 5. Пространственное распределение средней энергии электронов <e> при расходе газа G = 2000 sccm (а), G = 3000 sccm (б), G = 8000 sccm (в)
На рис. 6 видно, что при G = 8000 sccm соотношение числа Дебая к диаметру разрядной камеры >> 0.1, а при G = 2000 sccm соотношение числа Дебая к диаметру разрядной камеры не превышает 0.1. В применяемой модели соотношение числа Дебая к диаметру разрядной камеры превышает 0.1 в некоторых точках расчетной области уже с G = 3000 sccm, чем объясняется появление артефакта на рис. 5б и 5в. Это явление объясняется тем, что в начале разрядной трубки концентрация заряженных частиц мала, что видно на рис. 11, и вследствие этого увеличивается длина Дебая.
Рис. 6. Соотношение числа Дебая к диаметру разрядной камеры при расходе газа G = 2000 sccm (а), G = 3000 sccm (б), G = 8000 sccm (в)
На рис. 7 видно, что при p = 53 Па максимальное число Кнудсена для плазмообразующего газа (аргон) 0.0167, при p = 26 Па максимальное число Кнудсена равно 0.0279, а при p = 13 Па максимальное число Кнудсена достигает 0.0514.
Рис. 7. Число Кнудсена Kn в безрасходном режиме при p = 13 Па (а), p = 26 Па (б), p = 53 Па (в)
Заметим, что мы вычисляли число Кнудсена в зависимости от поперечного размера частицы по формуле . Здесь T — температура несущего газа, σ — поперечный размер частицы, который в различных базах и справочниках варьирует от 142 до 384 пм для аргона; p — давление несущего газа, L — диаметр разрядной камеры. Поэтому, оценка числа Кнудсена имеет приближенный характер.
Практические численные эксперименты в пакете Сomsol [36] показали, что численный метод решения системы уравнений расходится при давлении ниже 9.65 Па (рис. 8), а с увеличением расхода газа число Kn падает по сравнению с безрасходным режимом течения.
Рис. 8. Число Кнудсена Kn при p = 9.65 Па (а), p = 53 Па (б) и расходе 8000 sccm
Полученные числа Кнудсена входят в разерешенные к расчету в пакете Сomsol [36] для режима течения с проскальзываением (Kn < 0.1), т. е. можно считать для рассматриваемых режимов течения и радиуса разрядной камеры минимально возможное расчетное давление — 9.65 Па. Основные закономерности, описанные выше, подтверждаются экспериментальными данными, полученными при расходах G = 0 – 3000 sccm.
4.4. Моделирование с потоком нейтрального газа
Вторая серия численных экспериментов заключалась в увеличении потока нейтрального газа вдоль разрядной трубки. Для моделирования потока газа, на границе inlet задается объемный расход газа G, измеряемый в см3/мин (sccm). Данный объемный расход преобразуется в скорость на границе по формуле (5). Далее добавляется граничное условие, симулирующее откачку газа насосом: на противоположном конце трубки outlet задается постоянное давление.
В итоге газодинамические параметры плазмы рассчитываются с помощью уравнений Навье–Стокса (3) с названными условиями на границах inlet и outlet. Результатом решения являются пространственные распределения скорости газа v и давления p (рис. 9), которые применяются в расчетах уравнений на концентрацию электронов, ионов и метастабилей (8)–(11). Данные распределения в зависимости от расхода газа G показаны на рис. 10, 11.
Рис. 9. Пространственное распределение давления p (а), модуля скорости v (б) и температуры газа (в) при расходе газа G = 2000 sccm
Рис. 10. Область распределения (а); зависимость концентрации электронов, возбужденных состояний и ионов на выходе разрядной трубки ne,m,i:outlet от расхода газа G (б). Графики концентрации электронов ne и ионов ni накладываются друг на друга, вследствие чего зависимость ni плохо видна на рисунке; температура электронов и температура нейтральных частиц в зависимости от расхода газа G (в)
Рис. 11. Область распределения (а); зависимость концентраций электронов nez (б), возбужденных состояний nmz (в) и нейтральных атомов аргона niz (г) вдоль разрядной трубки (а) от расхода газа G
Незначительное падение концентрации газа Nn на рис. 10 по сравнению с ростом концентрации ионов ni и метастабильных состояний nm объясняется увеличением скорости газа с ростом расхода в sccm. Таким образом, поток суммы частиц через поперечный срез разрядной трубки
остается одинаковым на протяжении всей длины трубки. Вследствие этого мы можем утверждать, что столь малое падение концентрации газа при повышении G не является ошибочным.
На рис. 11б и 11в видно, что нижняя граница плазменного сгустка смещается к центру индуктора, верхняя граница отдаляется от него. Происходит перераспределение концентрации заряженных и метастабильных частиц в пределах области индуктора. Расчеты согласуются с теоретической моделью Ромиг [12] и экспериментальными данными [1].
В модели Ромиг рассмотрено влияние потока на распределение концентрации электронов в предположении ударной ионизации, постоянного коэффициента амбиполярной диффузии и частоты ионизации, равной константе в пределах области индуктора и нулю – в остальной части разрядной трубки.
Получено: с ростом скорости газа проходит смещение распределения концентрации электронов вниз по потоку, но в пределах области индуктора. В отличие от этой модели, в данной работе учитываются ступенчатая ионизация и коэффициенты диффузии и частоты ионизации, зависящие от ФРЭЭ. Поэтому в представленных результатах расчета на рис. 11б и 11в при увеличении расхода газа от 0 до 2000 sccm максимум концентрации электронов и возбужденных частиц смещается вверх по потоку, а с дальнейшим повышением расхода смещается вниз по потоку. Смещение максимума концентрации электронов и возбужденных частиц в направлении противоположно потоку может быть вызвано влиянием ступенчатой ионизации.
Из рис. 10в видно, что при повышении расхода газа температура нейтральных частиц в точке, расположенной на оси у выхода из плазмотрона, растет быстрее, чем температура электронов. Эта разница в приросте обусловлена большей подвижностью электронов, вследствие чего вклад потока газа в смещение электронов значительно меньше, чем в смещение самого газа.
ВЫВОДЫ
Таким образом, в результате проведенных исследований установлено, что повышение потенциала смещения позволяет экспоненциально увеличить концентрацию заряженных частиц и температуру электронов. При этом приложение потенциала приводит к нарушению электронейтральности.
Установлено также, что потенциал смещения на концентрации возбужденных состояний и нейтральных частиц не влияет, вследствие чего не меняется и температура несущего газа. Концентрацию заряженных частиц можно увеличить и потоком газа, к тому же им смещаются и метастабильные частицы, увеличивается температура газа на выходе из разрядной камеры.
Метод расчета плазмы с потоком газа в COMSOL Multiphysics имеет ограничение, позволяющее проводить корректные расчеты ВЧИ-разрядов при пониженном давлении выше (p > 9.65 Па) для радиуса разрядной трубки r = 1.2 см. При более низких давлениях число Кнудсена превышает Kn >0.1 и выходит из диапазона режима сплошности.
Исследование выполнено за счет гранта Российского научного фонда (проект 19-71-10055), https://rscf.ru/project/19-71-10055/.
About the authors
A. Yu. Shemakhin
Kazan (Volga Region) Federal University
Author for correspondence.
Email: shemakhin@gmail.com
Russian Federation, Kazan
References
- Абдуллин И., Желтухин Б., Катанов Н. Высокочастотная плазменно-струйная обработка материалов при пониженных давлениях: Теория и практика применения. 2000.
- Ventzek P.L., Sommerer T.J., Hoekstra R.J., Kushner M.J. // Appl. Phys. Lett. 1993. V. 63. P. 605.
- Li H., Xu T., Chen J., Zhou H., Liu H. // Appl. Surface Sci. 2004. V. 227. P. 364.
- Kosku N., Murakami H., Higashi S., Miyazaki S. // Appl. Surface Sci. 2005. V. 244. P. 39.
- Wen D.-Q., Liu W., Gao F., Lieberman M., Wang Y.-N. // Plasma Sources Sci. Technol. 2016. V. 25. P. 045009.
- Kim K.-Y., Kim K.-H., Moon J.-H., Chung C.-W. // Phys. Plasmas. 2020. V. 27. P. 093504.
- Yue H., Jian S., Zeyu H., Zhang G., Chunsheng R. // Plasma Sci. Technol. 2017. V. 20. P. 014005.
- Tinck S., Boullart W., Bogaerts A. // J. Phys. D: Applied Phys. 2008. V. 41. P. 065207. Zhang Y.-R., Zhao Z.-Z., Xue C., Gao F., Wang Y.-N. // J. Phys. D: Applied Phys. 2019. V. 52. P. 295204.
- Reed T.B. // J. Appl. Phys. 1961. V. 32. P. 821.
- Mostaghimi J., Proulx P., Boulos M.I. // Numerical Heat Transfer. 1985. V. 8. P. 187.
- Romig M.F. Steady State Solutions of the Radiofrequency Discharge with Flow // The Physics of Fluids. 1960. V. 3. № 1. C. 129–133.
- Racka-Szmidt K., Stonio B., Zelazko J., Filipiak M., Sochacki M. // Materials. 2021. V. 15. P. 123.
- Zheng Y., Ye H., Liu J., Wei J., Chen L., Li C. // Materials Lett. 2019. V. 253. P. 276.
- Kumabe T., Ando Y., Watanabe H., Deki M., Tanaka A., Nitta S., Honda Y., Amano H. // Japanese J. Appl. Phys. 2021. V. 60. SBBD03.
- Dineen M., Loveday M., Goodyear A., Cooke M., Newton A., Baclet S., Ward C., Hemakumara T. // Advanced Etch Technology for Nanopatterning IX. V. 11329. SPIE. 2020. P. 54.
- Fairushin I.I., Shemakhin A.Y. // High Energy Chemistry. 2023. V. 57. No. 41.
- Jucius D., Grigaliunas V., Juodenas M., Guobiene A., Lazauskas A. // Optical Materials. 2023. V. 136. P. 113437.
- Nozaki M., Terashima D., Yoshigoe A., Hosoi T., Shimura T., Watanabe H. //Japanese J. Appl. Phys. 2020. V. 59. SMMA07.
- Puranto P., Hamdana G., Pohlenz F., Langfahl-Klabes J., Daul L., Li Z., Wasisto H. S., Peiner E., Brand U. // J. Phys.: Confer. Ser. V. 1319. IOP Publishing. 2019. P. 012008.
- Yamada S., Takeda K., Toguchi M., Sakurai H., Nakamura T., Suda J., Kachi T., Sato T. // Appl. Phys. Express. 2020. V. 13. P. 106505.
- Sugaya T., Yoon D., Yamazaki H., Nakanishi K., Sekiguchi T., Shoji S. // J. Microelectromechanical Systems. 2019. V. 29. P. 62.
- Seok B., Kim S., Jun D., Jang J. // Electronics Lett. 2019. V. 55. P. 660.
- Shemakhin A.Y., Zheltukhin V., Khubatkhuzin A. // J. Phys.: Confer. Ser. V. 774. IOP Publishing. 2016. P. 012167.
- Shemakhin A.Y., Zheltukhin V. // Mathematica Montisnigri. 2017. V. 39. P. 126.
- Terentev T., Shemakhin A.Y., Samsonova E., Zheltukhin V. // Plasma Sources Sci. Technol. 2022. V. 31. P. 094005.
- Zheltukhin V., Terentev T., Shemakhin A., Samsonova E. // J. Phys.: Confer. Ser. V. 1870. IOP Publishing. 2021. P. 012018.
- Zheltukhin V.S., Shemakhin A.Y., Terentev T.N., Samsonova E.S. // Mesh Methods for Boundary-Value Problems and Applications: 13th International Conference, Kazan, Russia, October 20–25, 2020. Springer. 2021. P. 587.
- Zheltukhin V., Shemakhin A.Y. // Mathematical models and computer simulations. 2014. V. 6. P. 101.
- Lindner H., Murtazin A., Groh S., Niemax K., Bogaerts A. // Analytical chemistry. 2011. V. 83. P. 9260.
- Bernardi D., Colombo V., Ghedini E., Mentrelli A. // Pure and applied chemistry. 2005. V. 77. P. 359.
- Ferreira C., Loureiro J., Ricard A. // J. Appl. Phys. 1985. V. 57. P. 82.
- Гинзбург В.Л. Распространение электромагнитных волн в плазме. Наука, 1967.
- Шемахин А.Ю. // Химия высоких энергий. 2021. T. 58. С. 61.
- PHELPS database. http://www.lxcat.laplace.univ-tlse.fr, June 4, 2013.
- COMSOL AB. Stockholm. Sweden. COMSOL Multiphysics License No. 9602172. Ver. 5.6. htttp://www.comsol.com
Supplementary files













