Frequency Dependence of the Parameters of the Inductive RF Discharge Located in the Low-Value Magnetic Field

Cover Page

Cite item

Full Text

Abstract

In this work, we carried out studies of the properties of an inductive RF discharge placed in a magnetic field with an induction of less than 70 G at frequencies of 2, 4 and 13.56 MHz. Experiments have shown that when operating at frequencies of 2 and 4 MHz at low powers of the RF generator, the range of existence of the discharge is limited by large magnetic fields. The efficiency of RF power input η non-monotonically depends on the magnitude of the magnetic field. The position of the main maximum η shifts to the region of higher B with increasing frequency, power of the RF generator and argon pressure, and at the same time the maximum broadens. An increase in frequency, power and argon pressure is accompanied by an increase in the absolute values of η. When operating at a frequency of 4 MHz, in addition to the main maximum η, a local maximum appears in the region B 35–70 G. With increasing pressure, a shift in the position of the local maximum and its smoothing is observed. Comparison of experimental data with calculated data allows us to conclude that the local maximum of plasma density observed at weak magnetic fields is associated with resonant excitation of waves in the plasma source. At a frequency of 2 MHz, the excited wave is close to a transverse helicon, and at a frequency of 13.56 MHz, its properties approach the Trivelpiece–Gold wave.

Full Text

  1. ВВЕДЕНИЕ

Одной из наиболее интересных модификаций ВЧ-разряда с точки зрения физики и возможностей использования в практических приложениях является индуктивный ВЧ-разряд, помещенный во внешнее магнитное поле (геликонный разряд). Физическая особенность геликонного разряда состоит в том, что при наличии внешнего магнитного поля появляются области прозрачности, где ВЧ-поля проникают в глубину плазмы и эффективно нагревают электроны [1]. Это выгодно отличает геликонный разряд от индуктивного, где ВЧ-поля скинируются. Указанное свойство дает возможность получать в разряде высокую плотность плазмы при относительно небольших мощностях ВЧ-генератора, что делает разряд привлекательным для использования в широком круге плазменных технологий [2–8].

Основополагающие исследования геликонного разряда были начаты Р. Босвеллом в 1970-е гг. В работе [4] впервые была продемонстрирована возможность получения плотной плазмы (до 1 ·1013 см–3) при мощности ВЧ-генератора 1500 Вт и давлениях менее 10 мТорр. В последующих работах [5–15] были выполнены исследования основных свойств разряда.

Теоретическое рассмотрение причин, приводящих к значительному повышению концентрации плазмы в геликонном разряде, было начато Ф. Ченом в работе [16] и продолжено в работах [11–13, 16–19]. Статьи [4, 16–19] заложили основу современных представлений о геликонном разряде, а также определили направление дальнейших исследований.

Одним из наиболее важных экспериментальных результатов, полученных Р. Босвеллом, является обнаруженная им линейная зависимость концентрации плазмы ne от индукции магнитного поля B при мощностях ВЧ-генератора Pgen, превышающих 400–500 Вт, и магнитных полях, превышающих 400–500 Гс. Этот экспериментальный факт послужил основанием для вывода, что в разряде возбуждаются геликонные волны, дисперсионное соотношение для которых [1]

ω=Ωek||kc2ωLe2iνk2c2ωLe2, (1)

предполагает, что при фиксированной рабочей частоте ω изменение индукции магнитного поля должно сопровождаться пропорциональным изменением плотности плазмы. В выражении (1)  — квадрат полного волнового числа, k|| — продольное волновое число, k — поперечное волновое число, ν — частота столкновений электронов с атомами и ионами, ωLe — ленгмюровская частота.

Исследование свойств геликонного разряда при высоких значениях магнитного поля выполнено в большом числе работ [2–19]. В значительно меньшей степени к настоящему времени изучены свойства разряда при низких магнитных полях (В < 100 Гс), т.е. в области магнитных полей, где наблюдаются существенные отклонения зависимости ne(B) от линейной.

В работах [20–22] было обнаружено, что при магнитных полях 30–50 Гс наблюдается резонансное увеличение концентрации плазмы. В цикле работ [23–25] были выполнены подробные исследования зависимости концентрации плазмы, волновой структуры от магнитного поля низкой величины. Авторы [23] сообщают, что в их экспериментах величина ne в области основного максимума превосходила плотность плазмы в разряде без магнитного поля практически на порядок. При некоторых условиях при В < 100 Гс ученые [23] наблюдали появление не одного, а двух максимумов электронной плотности.

К настоящему времени природа появления локального максимума при низких магнитных полях находится в стадии обсуждения. Ф. Чен в работе [13] объясняет появление пика электронной плотности отражением геликонной волны от фланца, ограничивающего источник плазмы. Однако остается неясным, почему этот эффект характерен именно для магнитного поля, при котором наблюдается пик электронной плотности.

Другое объяснение содержится в работе [26]. Автор объясняет появление максимума ne резонансным поглощением волны Трайвелписа–Голда при определенных значениях магнитного поля. В цикле работ [23–25] в качестве причины появления локальных максимумов плотности электронов авторы считают возбуждение не только продольных, но и радиальных мод, которые приводят к резонансному поглощению геликонных волн, возникающему при их косом распространении.

Систематические исследования индуктивного ВЧ-разряда, помещенного в слабое магнитное поле, было представлено также в работах [27–32], выполненных при участии авторов данной статьи. Экспериментально было показано, что количество максимумов электронной плотности в области низких магнитных полей зависит от мощности ВЧ-генератора типа использованной антенны, геометрических размеров источника плазмы и т.д.

Теоретическое рассмотрение проблемы было выполнено в работах [27, 28, 30]. Численные расчеты показали, что локальные максимумы плотности плазмы, наблюдаемые при низких магнитных полях, связаны с возбуждением различных радиальных мод, причем основным механизмом поглощения ВЧ-мощности при работе на частоте 13.56 МГц является поглощение волны Трайвелписа–Голда.

В нашей работе выполнены исследования свойств индуктивного ВЧ-разряда, помещенного в слабое магнитное поле, при частотах 2, 4 и 13.56 МГц. Экспериментальные результаты сопоставлены с расчетами, выполненными на основании модели [27, 28, 30].

  1. СХЕМА ЭКСПЕРИМЕНТАЛЬНОЙ УСТАНОВКИ И МЕТОДИКИ ИЗМЕРЕНИЙ

Схема экспериментальной установки подробно описана в работе [31]. Основой источника плазмы (ИП) является кварцевый цилиндр диаметром 20 см и длиной 52 см. Кварцевый цилиндр крепится на верхнем фланце вакуумной камеры так, что его верхняя часть длиной 22 см находится вне камеры при атмосферном давлении, а часть длиной 30 см – внутри вакуумной камеры (рис. 1).

 

Рис. 1. Схема источника плазмы: 1 — кварцевый цилиндр, 2 — вакуумная камера, 3 — металлический фланец, 4 — нижний электрод с отверстием, 5 — спиральная антенна, 6 — электромагнит; 7 — система согласования; 8 — ВЧ-генератор, 9 — зонд, 10 — газоввод

 

Длина разряда в кварцевом цилиндре (длина ИП) регулируется с помощью металлического ограничителя — электрода, который может перемещаться вдоль оси цилиндра. В нашей работе эксперименты были выполнены с ИП длиной 30 см. Сверху кварцевый цилиндр закрыт металлическим фланцем, на котором размещены газоввод и ввод для магнитного зонда или зонда Ленгмюра.

Откачка вакуумной камеры осуществляется с помощью турбомолекулярного и форвакуумного насосов. Контроль давления выполняется с помощью датчиков WRG-S-NW25 S/S 4.

Ввод ВЧ-мощности в разряд осуществляется с помощью спиральной антенны, расположенной вокруг газоразрядной камеры на расстоянии z = 8–12 см от верхнего фланца источника плазмы при работе на частотах 2, 4 МГц и 8–10 см при работе на частоте 13.56 МГц. Антенна подключается к системе согласования, связанной с ВЧ-генератором.

В работе использовались ВЧ-генераторы с частотой 2, 4 и 13.56 МГц. Мощность генератора Pgen могла плавно изменяться от 10 от до 1000 Вт. Отметим, что указанные частоты используются при разработке прототипов ВЧ индуктивных электроракетных двигателей [33], т.е. представляют интерес для практических приложений.

Магнитное поле в ИП создавалось с помощью двух электромагнитов, расположенных на расстояниях 22 и 50 см от верхнего фланца ИП. Типичное распределение магнитного поля в объеме ИП показано на рис. 2. В дальнейшем в качестве значений магнитного поля будут показаны значения в области расположения антенны z = 8 см.

 

Рис. 2. Типичное распределение магнитного поля вдоль оси ИП. Ток через электромагнит равен 6 А. Координата z отсчитывается от верхнего фланца

 

Величина мощности, поглощаемая плазмой Ppl, а также эффективность вложения ВЧ-мощности η

η=Ppl/Pgen (2)

находились с помощью методики, основанной на измерении значений мощности ВЧ-генератора Pgen, отдаваемой во внешнюю цепь, и тока, текущего через антенну без разряда, и в конкретных условиях экспериментов [29, 31].

Пространственное распределение продольного ВЧ магнитного поля Bz, возбуждаемого в разряде, измерялось с помощью магнитного зонда, который мог перемещаться вдоль оси и по радиусу источника плазмы.

Магнитный зонд представлял собой небольшую катушку диаметром 1 см, помещенную внутрь плазмы так, чтобы ось катушки совпадала с единичным вектором измеряемой ВЧ магнитной компоненты. Для подавления ВЧ-наводок использовались сбалансированные зонды с трансформатором 1:1 на ферритовом сердечнике [31, 32]. Для оценки корректности работы магнитного зонда было выполнено сравнение экспериментальных и расчетных радиальных распределений Bz в разряде без внешнего магнитного поля [31].

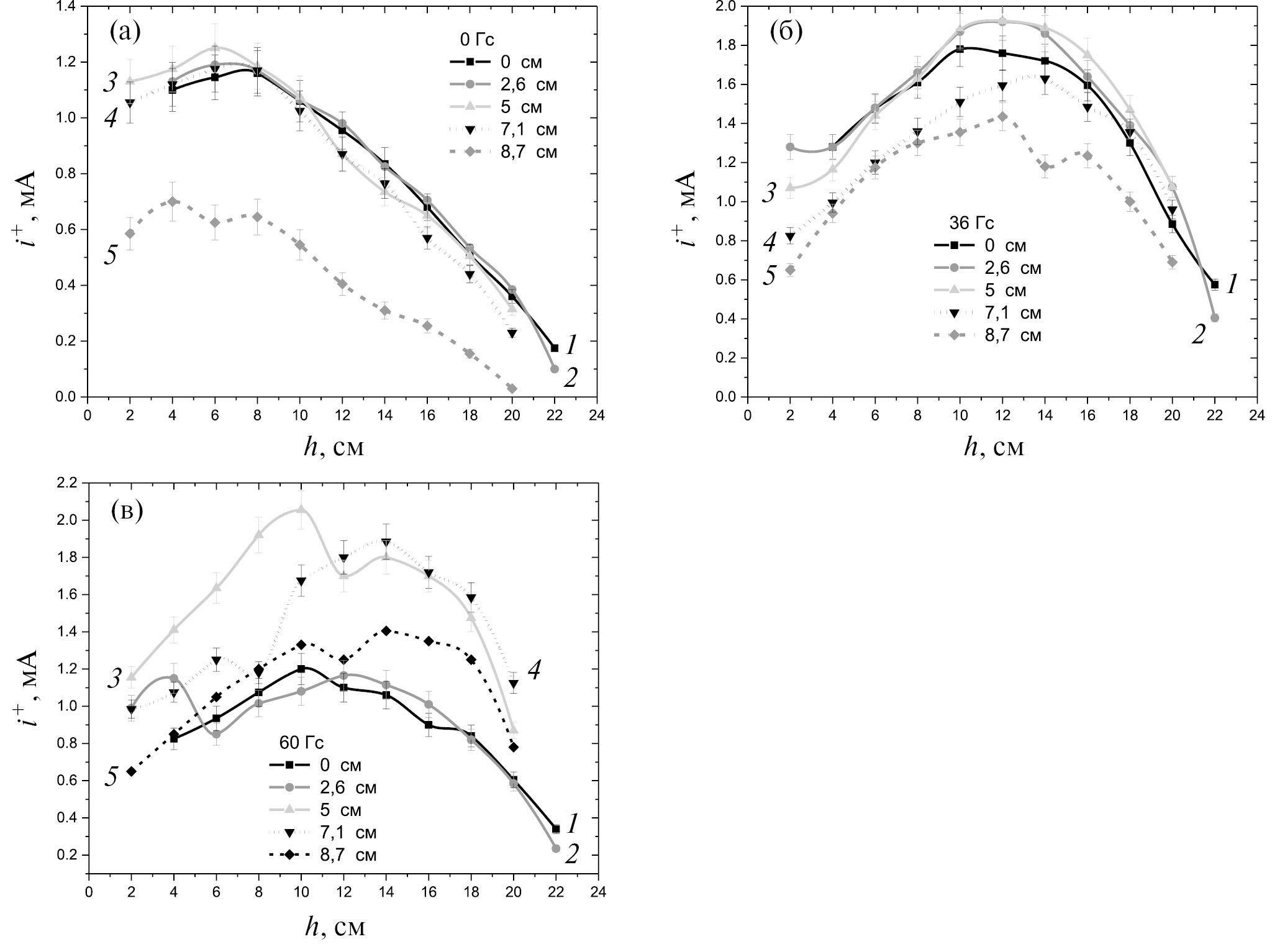
Для контроля пространственного распределения плазмы при работе на частоте 13.56 МГц измерялся зондовый ионный ток насыщения i+. Цилиндрический зонд Ленгюра имел длину 10 мм, диаметр 0.38 мм. Для минимизации влияния ВЧ-колебаний на зондовую характеристику в цепь зонда включали 2 резонансных фильтра-пробки, настроенных на частоты 13.56 и 27 МГц. ВЧ-скомпенсированный зонд мог перемещаться вдоль оси и по радиусу ИП. Измерения проводили при значениях потенциала зонда –50 В относительно плавающего потенциала.

Эксперименты были выполнены в аргоновой плазме при давлениях р = 0.6, 0.8, 3 и 6 мТорр, мощностях ВЧ-генератора Pgen = 300, 500 и 800 Вт, частотах f = 2, 4 и 13.56 МГц. Индукция внешнего магнитного поля В изменялась в пределах от 0 до 72 Гс.

  1. РЕЗУЛЬТАТЫ ЭКСПЕРИМЕНТОВ

3.1. Эффективность вложения ВЧ-мощности

На рис. 3 показаны зависимости эффективности вложения ВЧ-мощности η в разряд от индукции внешнего магнитного поля В, измеренные при различных рабочих частотах, мощностях ВЧ-генератора и давлениях аргона.

 

Рис. 3. Зависимость эффективности вложения ВЧ-мощности от индукции внешнего магнитного поля при мощностях ВЧ-генератора: 1 — 300 Вт, 2 — 500 Вт, 3 — 800 Вт; f = 2 МГц, р = 0.6 мТорр (а); f = 2 МГц, р = 6 мТорр (б); f = 4 МГц, р = 0.3 мТорр (в); f = 4 МГц, р = 3 мТорр (г); f = 13.56 МГц, р = 0.3 мТорр (д); f = 13.56 МГц, р = 3 мТорр (е)

 

При работе на частоте 2 МГц область существования разряда ограничена со стороны больших магнитных полей. При достижении критического значения магнитного поля В * происходит срыв (погасание) разряда. Рост мощности ВЧ-генератора, как и давления аргона, приводит к увеличению В *, т.е. расширению диапазона В, в котором существует разряд.

С увеличением рабочей частоты до 4 МГц срыв разряда наблюдается только при наименьшем из рассмотренных давлений 0.3 мТорр и мощности Pgen = 300 Вт. При более высоких давлениях и мощностях ВЧ-генератора разряд существует во всей области рассмотренных условий поддержания разряда.

На частоте 13.56 МГц разряд существует при всех рассмотренных внешних условиях. Однако при давлении 0.3 мТорр и В < 10 Гс свечение разряда в целом очень слабое, а рядом с витками антенны отчетливо видны области повышенной светимости, свидетельствующие о доминировании емкостной составляющей разряда.

При Pgen = 300 Вт и В > 36 Гс наблюдается аналогичная картина. В связи с этим измерение эффективности вложения ВЧ-мощности в указанных областях не проводилось.

Эксперименты показали, что эффективность вложения ВЧ-мощности немонотонно зависит от величины магнитного поля. Положение основного максимума η смещается в область бóльших В при увеличении частоты, мощности ВЧ-генератора и давления аргона, одновременно происходит уширение максимума.

При работе на частоте 13.56 МГц и давлении 3 мТорр положение максимума η, по-видимому, смещено в область более высоких магнитных полей, чем рассмотрена в настоящем эксперименте. Одновременно исчезает зависимость η от мощности генератора. В целом эксперименты показывают, что рост частоты, мощности и давления аргона сопровождаются увеличением абсолютных значений η.

При работе на частоте 4 МГц было обнаружено, что дополнительно к основному максимуму η появляется дополнительный локальный максимум в области В = 35–70 Гс (рис. 4). С ростом давления наблюдается смещение положения локального максимума и его сглаживание.

 

Рис. 4. Зависимость эффективности вложения ВЧ-мощности от индукции внешнего магнитного поля при различных давлениях аргона: 1 — 0.3 мТорр, 2 — 0.6 мТорр, 3 — 0.8 мТорр, 4 — 3 мТорр, 5 — 6 мТорр; f = 4 МГц, Pgen = 500 Вт

 

Немонотонное изменение эффективности вложения ВЧ-мощности может быть связано с возбуждением волн в источнике плазмы [31, 32]. Рассмотрим этот вопрос более подробно.

3.2. Распределение продольного ВЧ магнитного поля в объеме источника плазмы

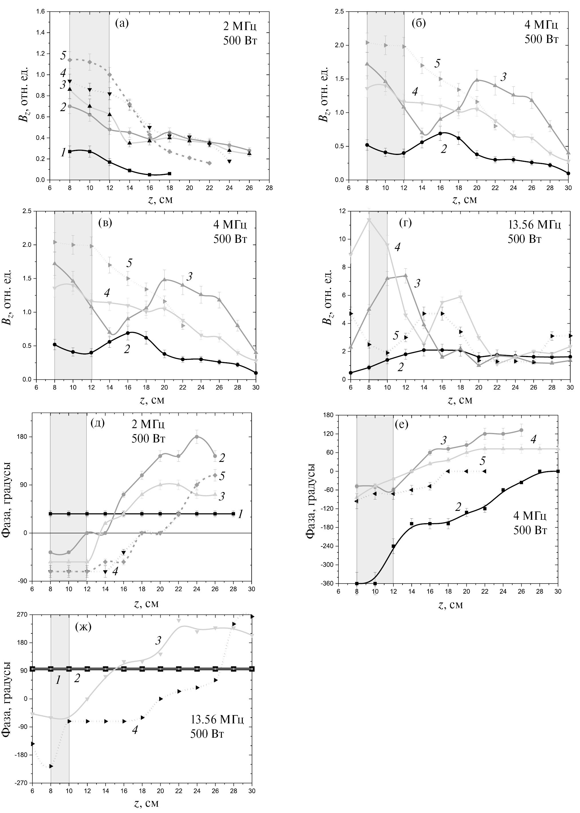
На рис. 5 показаны аксиальные распределения амплитуды и фазы продольного ВЧ магнитного поля Bz, измеренные при давлении 0.8 мТорр и мощности ВЧ-генератора 500 Вт.

 

Рис. 5. Аксиальная зависимость амплитуды (а–в) и фазы (г–е) продольного ВЧ магнитного поля для рабочих частот 2 МГц (а, г), 4 МГц (б, д) и 13.56 МГц (в, е); Pgen = 500 Вт, р = 0.8 мТорр. Серым цветом отмечена область расположения антенны: 1 — 0 Гс, 2 — 24 Гс, 3 — 36 Гс, 4 — 48 Гс, 5 — 60 Гс

 

При работе на частоте 2 МГц уже при магнитном поле 6 Гс появляется частично бегущая волна. Увеличение В до 12 Гс сопровождается формированием локального максимума в области z > 14 см. Дальнейшее увеличение внешнего магнитного поля приводит к росту амплитуды поля Bz в области расположения антенны 6–12 см, при этом локальный максимум ВЧ-поля становится менее выраженным, и амплитуда Bz убывает с ростом z. Скорость падения амплитуды Bz возрастает с увеличением величины внешнего постоянного магнитного поля.

С увеличением рабочей частоты до 4 МГц при В = 24 Гс наблюдается широкий локальный максимум амплитуды ВЧ-поля в области z = 15–25 см. Изменение фазы Bz в указанной области z замедляется, т.е. фазовая скорость волны уменьшается. Естественно предположить, что локальный максимум Bz возникает в результате суперпозиции волны, возбуждаемой узлом ввода ВЧ-мощности, и волной, возникающими в результате отражения основной волны от торцевого металлического фланца источника плазмы [31, 32]. В этом случае уравнение для амплитуды результирующей волны Az принимает вид

Az=Az0(eΔkzeikz+reΔk(2Lz)eik(Lz)), (3)

где k = πn/L — волновой вектор, n — число длин полуволн, умещающихся на длине источника L, ∆k — коэффициент затухания, r — коэффициент отражения.

Амплитуда отраженной волны тем больше, чем меньше коэффициент затухания волны. Неудивительно, что значительный по величине локальный максимум Bz наблюдается при условиях, когда эффективность поглощения ВЧ-мощности проходит через минимум. При увеличении B выше 24 Гс локальный максимум Bz пропадает, и, как при частоте 2 МГц, амплитуда поля Bz уменьшается с ростом продольной координаты z. Скорость падения амплитуды тем выше, чем больше В. Причем эффективность вложения ВЧ-мощности в разряд повышается.

На частоте 13.56 МГц практически при всех рассмотренных магнитных полях наблюдается сложная структура поля Bz. Максимальное значение Bz в области антенны существует при индукции внешнего постоянного магнитного поля 36 Гс.

Результаты экспериментов, представленные на рис. 5, были получены на оси источника плазмы. Рассмотрим, как изменяется распределение Bz(z) при удалении по радиусу на расстояние r от оси источника плазмы к его стенкам.

Результаты измерений на рабочих частотах 2 и 4 МГц показаны на рис. 6. Итоги исследования Bz(z,r) при частоте 13.56 МГц подробно рассмотрены в работе [31].

 

Рис. 6. Аксиальная зависимость амплитуды продольного ВЧ магнитного поля для рабочих частот 2 МГц (а) и 4 МГц (б), измеренные: 1 — на оси источника плазмы, на расстоянии 2 — 5 см и 3 — 8.7 см от оси. Pgen = 500 Вт, р = 0.8 мТорр, B = 24 Гс. Серым цветом отмечена область расположения антенны

 

Эксперименты, выполненные в работе [31], показали, что при отсутствии внешнего магнитного поля ВЧ-поля скинируются: амплитуда Bz максимальна у стенок ИП и быстро убывает при продвижении к приосевым частям. Этот эффект сохраняется при всех рассмотренных значениях z.

Наложение на разряд магнитного поля кардинально меняет картину (см. рис. 4). В области расположения антенны, как и в случае В = 0, поле Bz максимально у стенок, однако начиная с z = 14 см, где формируется локальный максимум Bz, значения ВЧ-поля вблизи оси возрастают и сравниваются с пристеночными.

При работе на частоте 13.56 МГц значения ВЧ магнитного поля вблизи оси приближаются к пристеночным при магнитном поле 36 Гс, оставаясь чуть ниже их [31]. Дальнейшее увеличение В сопровождается понижением значений Bz вблизи оси и повышением роли пристеночных областей.

Косвенным подтверждением указанного эффекта является изменение пространственного распределения зондового ионного тока i+ насыщения при увеличении магнитного поля (рис. 7), полученное при частоте 13.56 МГц.

 

Рис. 7. Зависимость ионного тока насыщения i+ от расстояния от верхнего фланца z на различных расстояниях от оси ИП r: 0 Гс (а), 36 Гс (б), 60 Гс (в)

 

При наличии продольного внешнего магнитного поля роль длины свободного пробега электронов в радиальном направлении начинает играть ларморовский радиус, который меньше радиуса ИП. В этом случае начинает проявляться радиальная неоднородность параметров плазмы.

Неудивительно, что при В = 36 Гс наблюдается относительный рост ионного тока в области r = 2.5–5 см, по сравнению с r = 0 см. Дальнейшее увеличение внешнего магнитного поля сопровождается падением Bz и i+ в приосевых частях разряда. Это наглядно видно из рис. 7в, соответствующего значению B = 60 Гс.

  1. РАСЧЕТ ЭКВИВАЛЕНТНОГО СОПРОТИВЛЕНИЯ И ВЧ-ПОЛЕЙ

Для расчета эквивалентного сопротивления плазмы в нашей работе использовалась модель, развитая в работах [17, 28, 30]. Источник плазмы рассматривается как резонатор, где возбуждаются стоячие волны с продольным волновым числом kz = lπ/L, где L — длина источника плазмы, а l = 1, 2, 3... — число, характеризующее возбуждаемую продольную моду.

Предполагается, что при изменении индукции магнитного поля при определенных резонансных значениях магнитного поля происходит возбуждение радиальных мод, а продольное волновое число остается постоянным.

Каждому значению l соответствует свой набор радиальных мод. Электродинамическая задача решается с использованием тензора диэлектрической проницаемости магнитоактивной плазмы с учетом как столкновительного, так и бесстолкновительного поглощения. Предполагается, что магнитное поле и концентрация плазмы однородны в объеме ИП, а внешнее магнитное поле имеет преимущественную аксиальную составляющую.

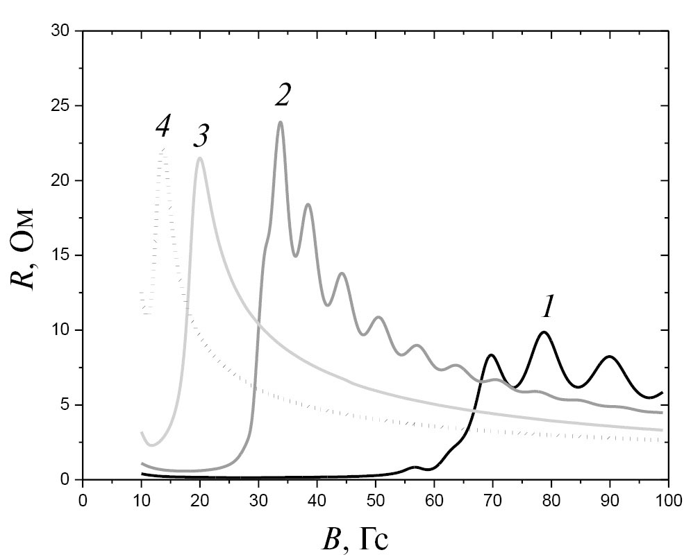
На рис. 8 показана зависимость эквивалентного сопротивления плазмы от индукции магнитного поля, рассчитанная для значений l = 1, 2, 3, 4. Для расчетов использовано значение концентрации электронов ne = 1 ∙ 1011 см–3 — значение, характерное для центральных частей рассмотренного ИП [31]. Можно видеть, что при увеличении l происходит смещение основного максимума в сторону меньших B.

 

Рис. 8. Зависимость эквивалентного сопротивления плазмы от индукции магнитного поля, рассчитанная для значений l = 1, 2, 3, 4; f = 13.56 МГц, р = 1 мТорр, ne = 1∙1011 см–3

 

Кроме того, при малых l наблюдается богатая структура эквивалентного сопротивления, связанная с резонансным возбуждением радиальных мод. В дальнейшем все расчеты были выполнены с l = 2, так как изменение фазы волны в рассмотренном диапазоне z не превышало 360°. Рассчитанные зависимости Rpl от магнитного поля для концентрации электронов 1∙1011 см–3 и трех рассмотренных частот показаны на рис. 9.

 

Рис. 9. Зависимость эквивалентного сопротивления плазмы от индукции внешнего магнитного поля для l = 2: 1f = 2 МГц, р = 1 мТорр; 2f = 4 МГц, р = 1 мТорр; 3f = 13.56 МГц, р = 1 мТорр; 4f = 13.56 МГц, р = 6 мТорр; ne = 1∙1011 см–3

 

Расчеты показали, что при частотах 2 и 4 МГц эквивалентное сопротивление плазмы достигает максимума при значениях магнитного поля менее 10 Гс, а затем убывает. При частоте 13.56 МГц наблюдается серия резонансов, связанная с возбуждением в источнике плазмы различных радиальных мод. Абсолютные значения Rpl увеличиваются с ростом частоты.

Рост давления сопровождается сглаживанием зависимости Rpl(В). Это связано с повышением вклада столкновений в поглощение ВЧ-мощности [30]. Рост концентрации электронов, сопровождающий увеличение мощности ВЧ-генератора, в области, где частота электрон-ионных соударений меньше частоты электрон-атомных столкновений, приводит к росту эквивалентного сопротивления плазмы и смещению основного максимума Rpl в область больших магнитных полей (рис. 10). Аналогичный результат наблюдался экспериментально в данной работе (см. рис. 3) и ранее [31, 32].

 

Рис. 10. Зависимость рассчитанного эквивалентного сопротивления плазмы от магнитного поля; f = = 13.56 МГц, р = 1 мТорр; 1ne = 1∙1010 см–3, 2 — 3 ∙1010 см–3, 3 — 1 ∙1011 см–3, 4 — 3 ∙1011 см–3

 

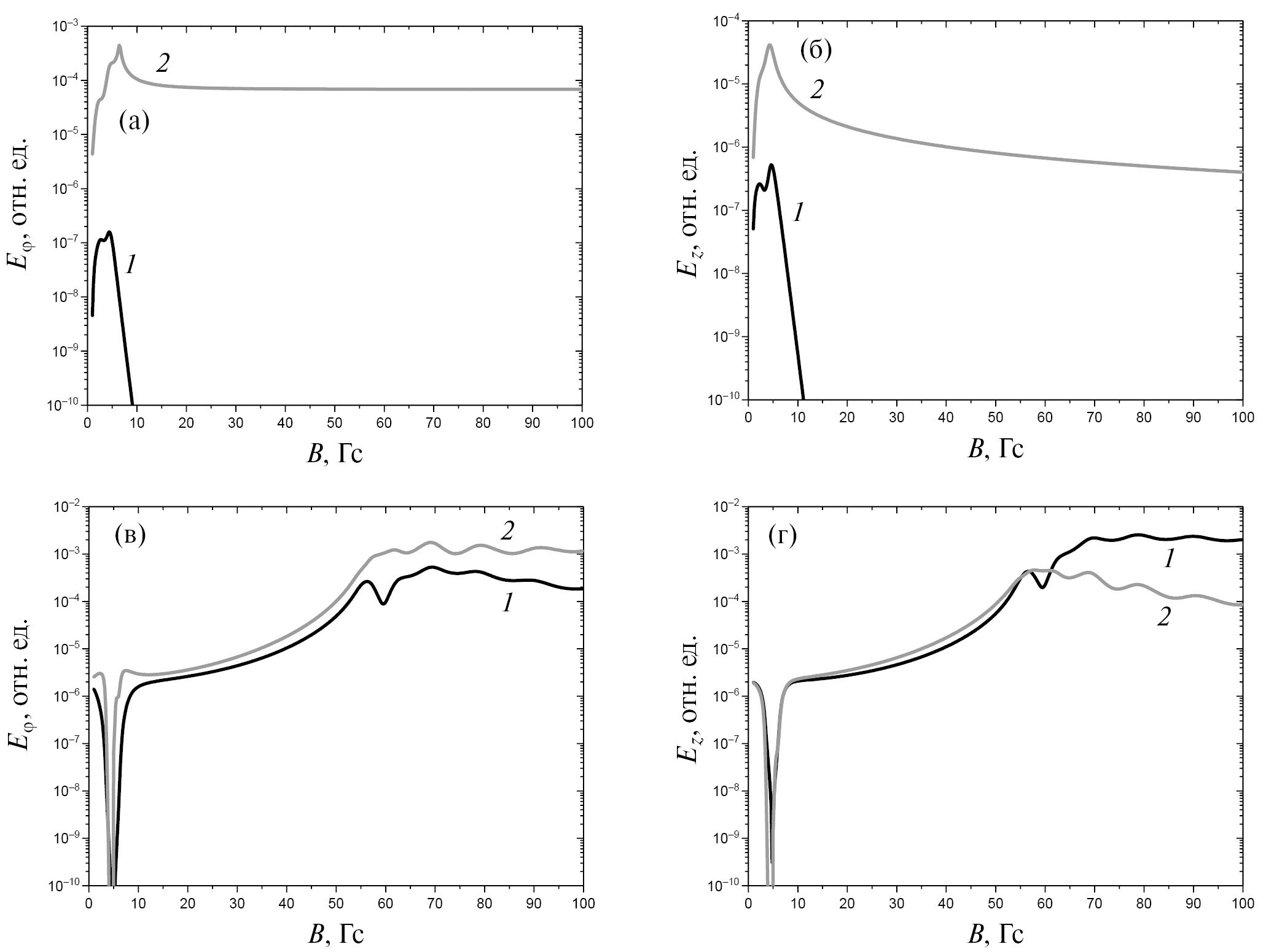
Далее с помощью модели [27, 28, 30] были рассчитаны зависимости продольного Ez, радиального Er и азимутального Eφ электрических полей от величины магнитного поля. Полученные результаты показаны на рис. 11.

 

Рис. 11. Зависимости рассчитанных продольного, радиального и азимутального электрических полей от величины внешнего магнитного поля: 2 МГц (а), 13.56 МГц (б); 1Ez, 2Eφ, 3Er; ne = 1·1011 см–3

 

Как видно, при рабочей частоте 2 МГц азимутальное поле Eφ существенно превосходит продольное, т.е. волна является квазипоперечной. При увеличении рабочей частоты до 13.56 МГц ситуация изменяется, и при подавляющем числе значений B поле Ez превосходит Eφ, что характерно для квазипродольной волны.

Величины электрических полей, представленные на рис. 11, получены как линейная комбинация двух решений, определяющих значения радиального волнового вектора [27, 28, 30]. Одно из решений принято сопоставлять с волной Трайвелписа–Голда, а второе — с геликоном.

Напомним, что геликон является длинноволновой поперечной волной, а волна Трайвелписа–Голда — продольной коротковолновой. Вычисления показали (рис. 12), что в случае f = 2 МГц амплитуда геликона существенно превосходит амплитуду волны Трайвелписа–Голда. При f = 13.56 МГц и B < 50 Гс амплитуды продольных компонент волн Трайвелписа–Голда и геликона близки друг к другу, а при B > 50 Гс волна Трайвелписа–Голда доминирует.

 

Рис. 12. Зависимость рассчитанных амплитуд азимутальной и продольной компонент волн Трайвелписа–Голда (1) и геликона (2) от величины внешнего магнитного поля: 2 МГц (а, б); 13.56 МГц (в, г); ne = 1 ·1011 см–3

 

Отметим, что ранее [30] при исследовании разряда, горящего на частоте 13.56 МГц, было показано, что при уменьшении концентрации плазмы повышается роль волны Трайвелписа–Голда, а при увеличении ne — геликона.

  1. ОБСУЖДЕНИЕ РЕЗУЛЬТАТОВ

Прежде всего найдем причину ограниченности области существования разряда по магнитному полю, наблюдавшуюся при работе на частотах 2 и 4 МГц. Для этого воспользуемся самосогласованной моделью индуктивного ВЧ-разряда, развитой в работе [27].

Известно, что часть мощности ВЧ-генератора, поддерживающего индуктивный ВЧ-разряд, теряется во внешней цепи разряда [29]. Баланс мощности во внешней цепи ВЧ-генератора определяется соотношением

Pgen=12Iant2Rant+Rpl, (4)

где Iant — ток, текущий через антенну; Rant, Rpl — сопротивление антенны и эквивалентное сопротивление плазмы. Очевидно, что мощность, поглощенная плазмой,

Ppl=12Iant2Rpl. (5)

Соотношение между Pgen и Ppl определяется соотношением между активным сопротивлением внешней цепи (сопротивление антенны) Rant и эквивалентным сопротивлением плазмы Rpl, определяющим способность плазмы поглощать ВЧ-мощность. При условии, что Rant < Rpl практически вся мощность ВЧ-генератора поглощается плазмой, PplPgen, и концентрация плазмы слабо зависит от магнитного поля. При выполнении противоположного неравенства RantRpl изменение Rpl, имеющее место, например, при изменении индукции внешнего магнитного поля, приводит к сильным изменениям величины вложенной в плазму мощности, что сопровождается значительными изменениями концентрация плазмы.

Эксперименты, выполненные в работе [23], где концентрация плазмы в области локального максимума на порядок превосходила ne без магнитного поля, по-видимому, была выполнена при условии Rant Rpl.

Зная тенденции изменения эквивалентного сопротивления плазмы при изменении внешних и внутренних параметров разряда, рассмотрим качественно, что происходит с характеристиками плазмы при изменении индукции внешнего магнитного поля.

При заданной мощности ВЧ-генератора и отсутствии магнитного поля поджигается разряд. Часть мощности ВЧ-генератора поступает в разряд, и устанавливается некоторая концентрация плазмы.

При увеличении магнитного поля в области роста Rpl доля мощности, поступающая в разряд, увеличивается, соответственно растет концентрация плазмы ne. Рост ne приводит к дополнительному росту Rpl, что способствует дальнейшему увеличению вклада мощности в разряд и, соответственно, концентрации электронов.

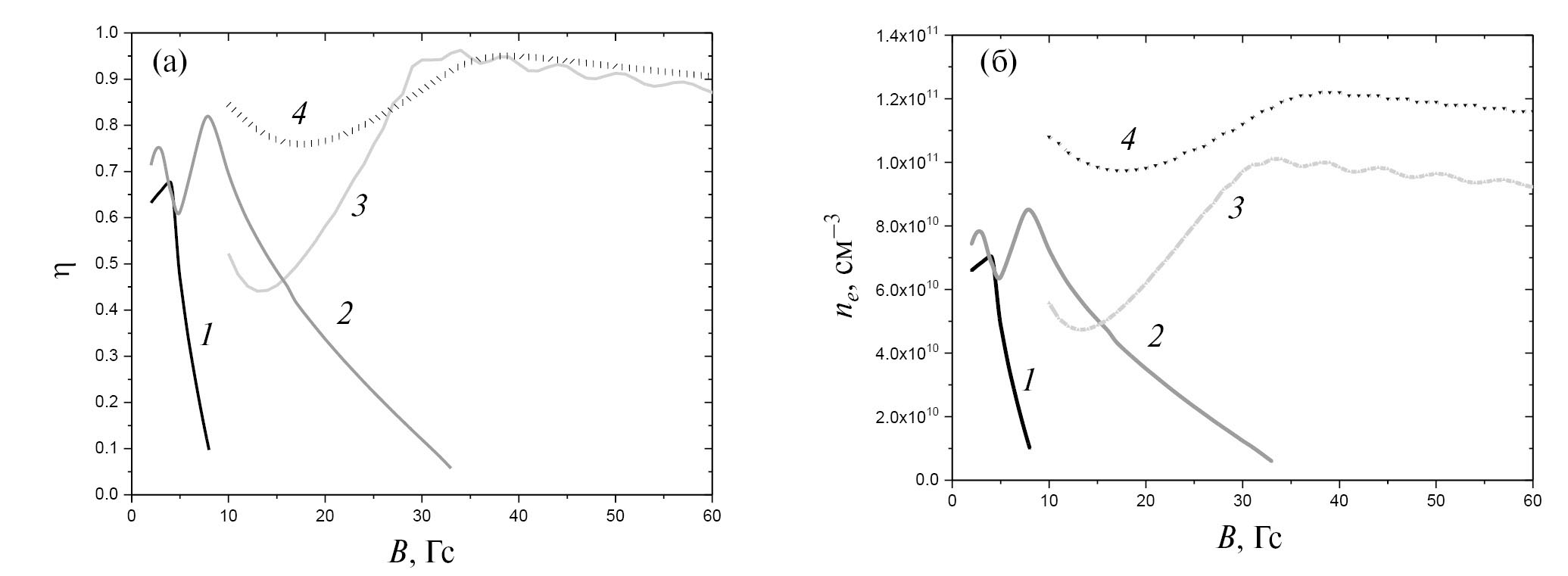
Равновесные значения ne устанавливаются в результате баланса мощности между внешней цепью и плазмой. При магнитных полях, соответствующих области падения Rpl, падает доля мощности, поступающая в плазму, и ее концентрация. При достижении некоторого магнитного поля Ppl оказывается недостаточной для поддержания плазмы, и разряд гаснет. На рис. 13 показана рассчитанные на основании модели зависимости эффективности вложения ВЧ-мощности и концентрация электронов в разряде от В.

 

Рис. 13. Зависимость рассчитанных эффективности вложения ВЧ-мощности в источник плазмы (а) и концентрации электронов (б) от величины внешнего магнитного поля: 1f = 2МГц, р = 1 мТорр; 2f = 4 МГц, р = 1 мТорр; 3f = 13.56 МГц, р = 1 мТорр; 4f = 13.56 МГц, р = 6 мТорр; Pgen = 800 Вт, Rant = 1 Ом

 

Как видно, качественно результаты расчетов воспроизводят эксперимент. При низких частотах, когда эквивалентное сопротивление плазмы относительно мало, существование разряда ограничено со стороны больших магнитных полей. Рост частоты сопровождается расширением области существования разряда и увеличением максимальных значений концентрации плазмы. Кроме того, также как в эксперименте с ростом частоты возрастает эффективность вложения ВЧ-мощности в разряд.

В целом рассмотрение расчетных материалов позволяет сделать вывод, что локальный максимум плотности плазмы, наблюдаемый при слабых магнитных полях, связан с резонансным возбуждением волн в ИП. При частоте 2 МГц возбуждаемая волна близка к поперечному геликону, а при частоте 13.56 МГц по своим свойствам приближается к волне Трайвелписа–Голда. Количество наблюдаемых максимумов зависимости ne(В) определяется условиями экспериментов.

  1. ЗАКЛЮЧЕНИЕ

В нашей работе выполнены исследования свойств индуктивного ВЧ-разряда, помещенного магнитное поле с индукцией менее 70 Гс, при частотах 2, 4 и 13.56 МГц. Эксперименты показали, что на частотах 2 и 4 МГц при малых мощностях ВЧ-генератора область существования разряда ограничена со стороны больших магнитных полей.

Эффективность вложения ВЧ-мощности немонотонно зависит от величины магнитного поля. Положение основного максимума η смещается в область больших В при увеличении частоты, мощности ВЧ-генератора и давления аргона. Одновременно происходит уширение максимума.

При работе на частоте 13.56 МГц и давлении 3 мТорр положение максимума η, по-видимому, смещено в область более высоких магнитных полей, чем рассмотрена в настоящем эксперименте. Одновременно исчезает зависимость η от мощности генератора. Рост частоты, мощности и давления аргона сопровождаются увеличением абсолютных значений η.

При работе на частоте 4 МГц было обнаружено, что дополнительно к основному максимуму η появляется локальный максимум в области В = 35–70 Гс. С ростом давления наблюдаются смещение положения локального максимума и его сглаживание.

При частотах 4 и 13.56 МГц при ряде значений B наблюдается сложный характер волновой структуры Bz, возникающий в результате суперпозиции волны, возбуждаемой узлом ввода ВЧ-мощности, и волны, возникающей при отражении основной волны от торцевого металлического фланца источника плазмы.

Сравнение экспериментальных данных с расчетными позволяет сделать вывод, что локальный максимум плотности плазмы, наблюдаемый при слабых магнитных полях, связан с резонансным возбуждением волн в ИП. При частоте 2 МГц возбуждаемая волна близка к поперечному геликону, а при частоте 13.56 МГц по своим свойствам приближается к волне Трайвелписа–Голда.

Авторы выражают глубокую благодарность профессору М.В. Кузелеву и доценту И.Н. Карташову за плодотворное обсуждение полученных результатов.

ФИНАНСИРОВАНИЕ

Исследование выполнено за счет гранта Российского научного фонда № 22-29-00642, https://rscf.ru/project/22-29-00642/.

×

About the authors

A. M. Nikonov

Lomonosov Moscow State University

Email: ekralkina@mail.ru
Russian Federation, Moscow

K. V. Vavilin

Lomonosov Moscow State University

Email: ekralkina@mail.ru
Russian Federation, Moscow

I. I. Zadiriev

Lomonosov Moscow State University

Email: ekralkina@mail.ru
Russian Federation, Moscow

S. A. Dvinin

Lomonosov Moscow State University

Email: ekralkina@mail.ru
Russian Federation, Moscow

E. A. Kralkina

Lomonosov Moscow State University

Author for correspondence.
Email: ekralkina@mail.ru
Russian Federation, Moscow

References

  1. Ginzburg V.L., Rukhadze A.A. Waves in Magnetoplasma, Springer Verlag, Heidelberg, 1972.
  2. Perry A. J., Vender D., Boswell R. W. // J. Vacuum Sci. Technol. 1991. V. B9. P. 310. doi: 10.1116/1.585611.
  3. Charles C. // J. Phys. D: Appl. Phys. 2009. V. 42. P. 163001. doi: 10.1088/0022-3727/42/16/163001
  4. Chen F.F., Chevalier G. // J. Vacuum Sci. Technol. 1991. V. 9. P. 310.
  5. Isayama S., Hada T., Shinohara Sh. // Plasma Fusion Res. 2018. V. 13. P. 1101014. doi: 10.1585/pfr.13.1101014
  6. Boswell R., Charles C., Alexander P., Dedrick J., Takahashi K. // IEEE Trans. Plasma Sci. 2011. V. 39. P. 2512. doi: 10.1109/TPS.2011.2143434
  7. Takahashi K. // Rev. Modern Plasma Phys. 2019. V. 3. P. 3. doi: 10.1007/s41614-019-0024-2.
  8. Masillo S., Romano F., Soglia R., Herdrich G., Roberts P., Boxberger A., Chan Y.A., Traub C., Fasoulas S., Smith K. et al. // 7th Russian-German Confer. on Electric Propulsion, 2018.
  9. Boswell R.W. // Phys. Lett. 1977 V. A33. P. 457. doi: 10.1016/0375-9601(70)90606-7.
  10. Boswell R.W., Chen F.F. // IEEE Trans. Plasma Sci. 1997. V. 25. P. 1229. doi: 10.1109/27.650898
  11. Boswell R.W., Chen F.F. // IEEE Trans. Plasma Sci. 1997 V. 25. P. 1246. doi: 10.1109/27.650899
  12. Chen F.F. // High Density Plasma Sources / Ed. O. A. Popov. Noyes publications, 1996. P. 1.
  13. Chen F.F. // Plasma Sources Sci. Technol. 2015. V. 24. P. 014001. doi: 10.1088/0963-0252/24/1/014001
  14. Shinohara Sh. // Adv. Phys.: X. 2013. V. 3. P. 1420424. doi: 10.1080/23746149.2017.1420424
  15. Isayama S., Hada T., Shinohara Sh. // Plasma Fusion Res. 2018. V. 13. P. 1101014. doi: 10.1585/pfr.13.1101014
  16. Chen F.F. // Plasma Phys. Contr. Fusion. 1991. V. 33. P. 339.
  17. Александров А.Ф., Рухадзе А.А., Кралькина Е.А., Обугов B.A., Рухадзе А.А. // ЖТФ. 1994. Т. 64. С. 53.
  18. Shamrai K.P., Taranov V.B. // Plasma Sources Sci. Technol. 1996. V. 5 P.475. doi: 10.1088/0963-0252/5/3/015
  19. Карташов И.Н., Кузелев М.В. // ЖЭТФ. 2020. Т. 158. С. 738. doi: 10.31857/S0044451020100168
  20. Chen F.F. // Phys. Plasmas. 2003. V. 10. P. 2586. doi: 10.1063/1.1575755
  21. Degeling A.W., Jung C.O., Boswell R.W., Ellingboe A.R. // Phys. Plasmas. 1996. V. 3. P. 2788. doi: 10.1063/1.871712
  22. Sato G., Oohara W., Hatakeyama R. // Plasma Sources Sci. Technol. 2007. V. 16. P. 734. doi: 10.1088/0963-0252/16/4/007
  23. Barada K.K., Chattopadhyay P. K., Ghosh J., Kumar S., Saxena Y.C. // Phys. Plasmas. 2013. V. 20. P. 042119. doi: 10.1063/1.4802823
  24. Barada K.R., Chattopadhyay P. K., Ghosh J., Kumar S., Saxena Y.C // Phys. Plasmas. 2013. V. 20. P. 012123. doi: 10.1063/1.4789456
  25. Chattopadhyay P.K., Barada K.K., Ghosh J., Sharma D., Saxena Y.C. // AIP Conf. Proc. 2014. V. 1582. P. 251. doi: 10.1063/1.4865362
  26. Cho S. // Phys. Plasmas. 2006. V. 13. P. 033504. doi: 10.1063/1.2179773
  27. Александров А.Ф., Бугров Г.Э., Вавилин К.В. Керимова И.К., Кондранин С.Г., Кралькина Е.А., Павлов В.Б., Плаксин В.Ю., Рухадзе А.А. // Физика плазмы. 2004. Т. 30. С. 434.
  28. Вавилин К.В., Рухадзе А.А., Ри М.Х., Плаксин В.Ю. // ЖТФ. 2004. Т. 74. С. 29.
  29. Кралькина Е. // УФН. 2008. Т. 178. С. 519. doi: 10.3367/UFNr.0178.200805f.0519
  30. Kralkina E.A., Rukhadze A.A., Nekliudova P.A., Pavlov V.B., Petrov A.K., Vavilin K.V. // AIP Advances 2018. V. 8. P. 035217. doi: 10.1063/1.5023631
  31. Kralkina E.A., Nikonov A.M., Vavilin K.V., Zadiriev I.I. // Plasma Sci. Technol. 2020. V. 22. P. 115404. doi: 10.1088/2058-6272/abb0dc
  32. Petrov A.K., Kralkina E.A., Nikonov A.M., Vavilin K.V., Zadiriev I.I. // Vacuum. 2020. V. 181. P. 109634. doi: 10.1016/j.vacuum.2020.109634
  33. Loeb H. // AIAA 7th Electric Propulsion Confer. 1969. P. 285.

Supplementary files

Supplementary Files
Action
1. JATS XML
2. Fig. 1. Scheme of plasma source: 1 - quartz cylinder, 2 - vacuum chamber, 3 - metal flange, 4 - bottom electrode with a hole, 5 - spiral antenna, 6 - electromagnet; 7 - matching system; 8 - RF generator, 9 - probe, 10 - gas lead

Download (71KB)
3. Fig. 2. Typical magnetic field distribution along the axis of the IP. The current through the electromagnet is 6 A. The z coordinate is read from the upper flange

Download (131KB)
4. Fig. 3. Dependence of RF power embedding efficiency on the external magnetic field induction at RF generator powers: 1 - 300 W, 2 - 500 W, 3 - 800 W; f = 2 MHz, p = 0. 6 mTorr (a); f = 2 MHz, p = 6 mTorr (b); f = 4 MHz, p = 0.3 mTorr (c); f = 4 MHz, p = 3 mTorr (d); f = 13.56 MHz, p = 0.3 mTorr (e); f = 13.56 MHz, p = 3 mTorr (f)

Download (352KB)
5. Fig. 4. Dependence of RF power embedding efficiency on the external magnetic field induction at different argon pressures: 1 - 0.3 mTorr, 2 - 0.6 mTorr, 3 - 0.8 mTorr, 4 - 3 mTorr, 5 - 6 mTorr; f = 4 MHz, Pgen = 500 W

Download (92KB)
6. Fig. 5. Axial dependence of the amplitude (a-c) and phase (d-e) of the longitudinal RF magnetic field for operating frequencies of 2 MHz (a, d), 4 MHz (b, e), and 13.56 MHz (c, f); Pgen = 500 W, p = 0.8 mTorr. The area of the antenna location is marked in grey: 1 - 0 Gs, 2 - 24 Gs, 3 - 36 Gs, 4 - 48 Gs, 5 - 60 Gs

Download (379KB)
7. Fig. 6. Axial dependence of the longitudinal RF magnetic field amplitude for operating frequencies of 2 MHz (a) and 4 MHz (b), measured: 1 - at the plasma source axis, at distance 2 - 5 cm and 3 - 8.7 cm from the axis. Pgen = 500 W, p = 0.8 mTorr, B = 24 Gs. The area of the antenna location is marked in grey

Download (109KB)
8. Fig. 7. Dependence of the ion saturation current i+ on the distance from the top flange z at different distances from the FE axis r: 0 Gs (a), 36 Gs (b), 60 Gs (c)

Download (208KB)
9. Fig. 8. Dependence of the equivalent plasma resistance on the magnetic field induction calculated for values l = 1, 2, 3, 4; f = 13.56 MHz, p = 1 mTorr, ne = 1∙1011 cm-3

Download (70KB)
10. Fig. 9. Dependence of the equivalent plasma resistance on the induction of the external magnetic field for l = 2: 1 - f = 2 MHz, p = 1 mTorr; 2 - f = 4 MHz, p = 1 mTorr; 3 - f = 13.56 MHz, p = 1 mTorr; 4 - f = 13.56 MHz, p = 6 mTorr; ne = 1∙1011 cm-3

Download (100KB)
11. Fig. 10. Dependence of the calculated equivalent plasma resistance on the magnetic field; f = 13.56 MHz, p = 1 mTorr; 1 - ne = 1∙1010 cm-3, 2 - 3 ∙1010 cm-3, 3 - 1 ∙1011 cm-3, 4 - 3 ∙1011 cm-3

Download (80KB)
12. Fig. 11. Dependences of the calculated longitudinal, radial, and azimuthal electric fields on the value of the external magnetic field: 2 MHz (a), 13.56 MHz (b); 1 - Ez, 2 - Eφ, 3 - Er; ne = 1-1011 cm-3

Download (100KB)
13. Fig. 12. Dependence of the calculated amplitudes of the azimuthal and longitudinal components of the Travelpis-Gold (1) and helicon (2) waves on the external magnetic field: 2 MHz (a, b); 13.56 MHz (c, d); ne = 1 -1011 cm-3

Download (186KB)
14. Fig. 13. Dependence of the calculated efficiency of RF power insertion into the plasma source (a) and electron concentration (b) on the external magnetic field value: 1 - f = 2 MHz, p = 1 mTorr; 2 - f = 4 MHz, p = 1 mTorr; 3 - f = 13.56 MHz, p = 1 mTorr; 4 - f = 13.56 MHz, p = 6 mTorr; Pgen = 800 W, Rant = 1 ohm

Download (94KB)

Copyright (c) 2024 Russian Academy of Sciences

Согласие на обработку персональных данных с помощью сервиса «Яндекс.Метрика»

1. Я (далее – «Пользователь» или «Субъект персональных данных»), осуществляя использование сайта https://journals.rcsi.science/ (далее – «Сайт»), подтверждая свою полную дееспособность даю согласие на обработку персональных данных с использованием средств автоматизации Оператору - федеральному государственному бюджетному учреждению «Российский центр научной информации» (РЦНИ), далее – «Оператор», расположенному по адресу: 119991, г. Москва, Ленинский просп., д.32А, со следующими условиями.

2. Категории обрабатываемых данных: файлы «cookies» (куки-файлы). Файлы «cookie» – это небольшой текстовый файл, который веб-сервер может хранить в браузере Пользователя. Данные файлы веб-сервер загружает на устройство Пользователя при посещении им Сайта. При каждом следующем посещении Пользователем Сайта «cookie» файлы отправляются на Сайт Оператора. Данные файлы позволяют Сайту распознавать устройство Пользователя. Содержимое такого файла может как относиться, так и не относиться к персональным данным, в зависимости от того, содержит ли такой файл персональные данные или содержит обезличенные технические данные.

3. Цель обработки персональных данных: анализ пользовательской активности с помощью сервиса «Яндекс.Метрика».

4. Категории субъектов персональных данных: все Пользователи Сайта, которые дали согласие на обработку файлов «cookie».

5. Способы обработки: сбор, запись, систематизация, накопление, хранение, уточнение (обновление, изменение), извлечение, использование, передача (доступ, предоставление), блокирование, удаление, уничтожение персональных данных.

6. Срок обработки и хранения: до получения от Субъекта персональных данных требования о прекращении обработки/отзыва согласия.

7. Способ отзыва: заявление об отзыве в письменном виде путём его направления на адрес электронной почты Оператора: info@rcsi.science или путем письменного обращения по юридическому адресу: 119991, г. Москва, Ленинский просп., д.32А

8. Субъект персональных данных вправе запретить своему оборудованию прием этих данных или ограничить прием этих данных. При отказе от получения таких данных или при ограничении приема данных некоторые функции Сайта могут работать некорректно. Субъект персональных данных обязуется сам настроить свое оборудование таким способом, чтобы оно обеспечивало адекватный его желаниям режим работы и уровень защиты данных файлов «cookie», Оператор не предоставляет технологических и правовых консультаций на темы подобного характера.

9. Порядок уничтожения персональных данных при достижении цели их обработки или при наступлении иных законных оснований определяется Оператором в соответствии с законодательством Российской Федерации.

10. Я согласен/согласна квалифицировать в качестве своей простой электронной подписи под настоящим Согласием и под Политикой обработки персональных данных выполнение мною следующего действия на сайте: https://journals.rcsi.science/ нажатие мною на интерфейсе с текстом: «Сайт использует сервис «Яндекс.Метрика» (который использует файлы «cookie») на элемент с текстом «Принять и продолжить».