ОСОБЕННОСТИ СРЫВА ПЛАЗМЫ В СФЕРИЧЕСКОМ ТОКАМАКЕ ГЛОБУС-М2
- Авторы: Сахаров Н.В.1, Кавин А.А.2, Минеев А.Б.2, Бахарев Н.Н.1, Бондарчук Э.Н.2, Гусев В.К.1, Жильцов Н.С.1, Киселев Е.О.1, Курскиев Г.С.1, Минаев В.Б.1, Петров Ю.В.1, Родин И.Ю.2, Скрекель О.М.1, Тельнова А.Ю.1, Ткаченко Е.Е.1, Токарев В.А.1, Тюхменева Е.А.1, Щеголев П.Б.1
-
Учреждения:
- Физико-технический институт им. А.Ф. Иоффе РАН
- Научно-исследовательский институт электрофизической аппаратуры им. Д.В. Ефремова (НИИЭФА),
- Выпуск: Том 49, № 12 (2023)
- Страницы: 1337-1347
- Раздел: ТОКАМАКИ
- URL: https://ogarev-online.ru/0367-2921/article/view/233145
- DOI: https://doi.org/10.31857/S0367292123601157
- EDN: https://elibrary.ru/CFDDWE
- ID: 233145
Цитировать
Полный текст
Аннотация
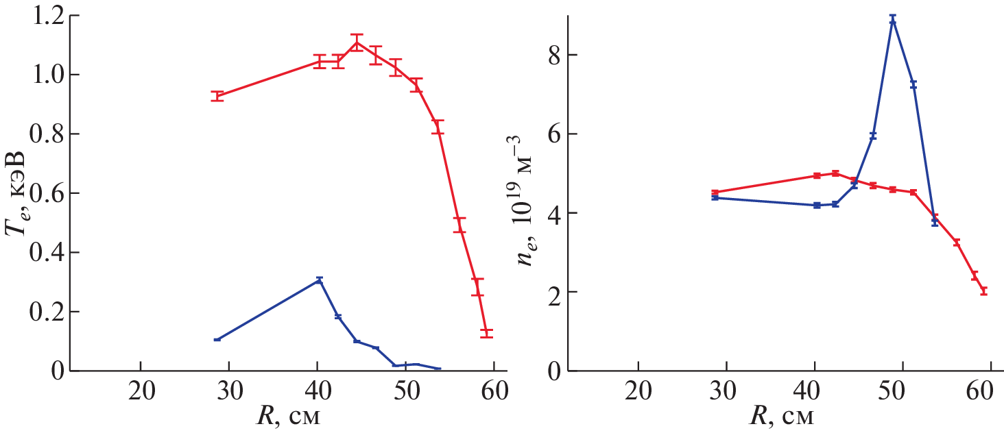
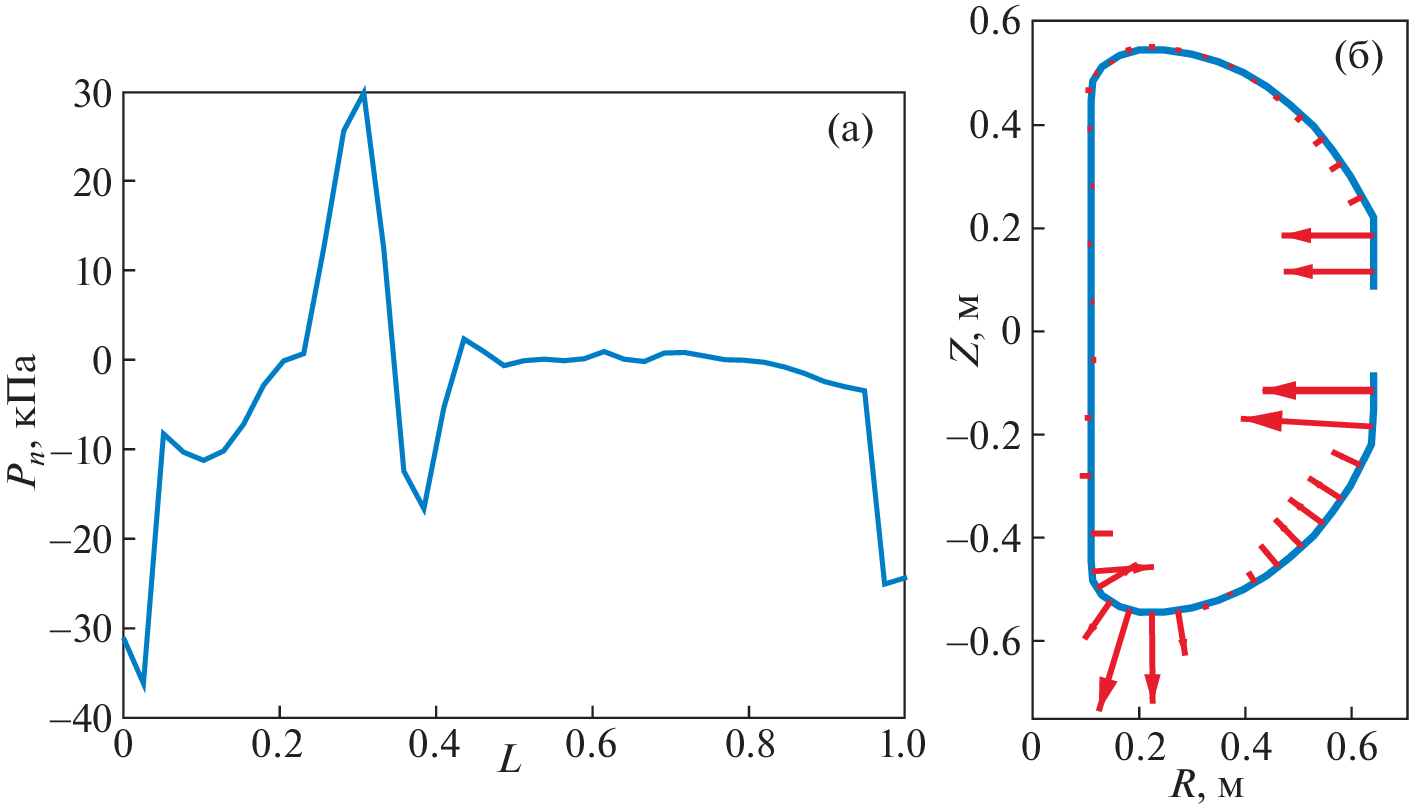
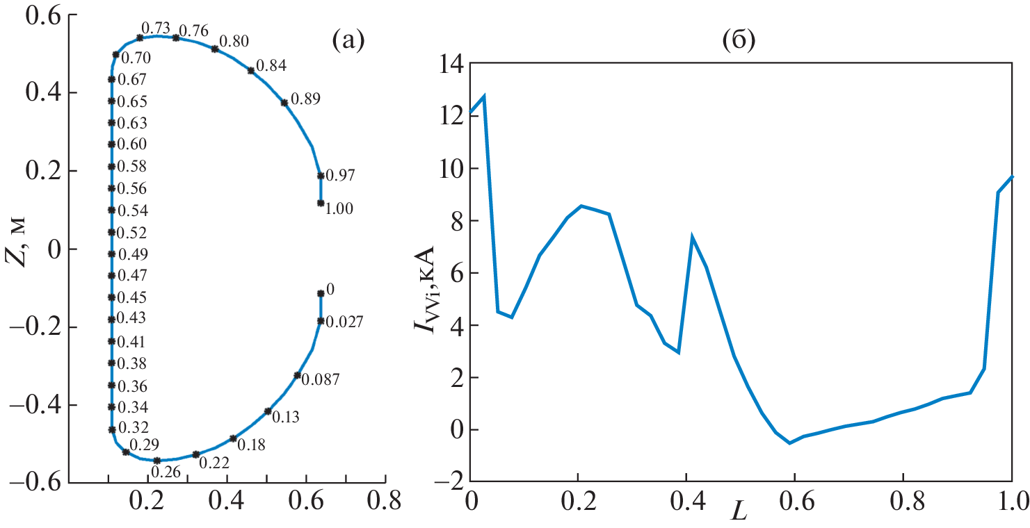
Приведены данные о процессах срыва тока плазмы в модернизированном сферическом токамаке Глобус-М2. С помощью диагностики томсоновского рассеяния лазерного излучения измерены профили температуры и плотности электронов до срыва, сразу после теплового срыва и в стадии срыва тока плазмы. Определена зависимость времени спада тока плазмы при срыве от величины тока перед срывом. По данным магнитных измерений определено распределение в оболочке камеры наведенного при срыве тороидального тока. Выполнены расчеты электромагнитных нагрузок на камеру.
Ключевые слова
Об авторах
Н. В. Сахаров
Физико-технический институт им. А.Ф. Иоффе РАН
Email: nikolay.sakharov@mail.ioffe.ru
Россия, Санкт-Петербург
А. А. Кавин
Научно-исследовательский институт электрофизической аппаратуры им. Д.В. Ефремова (НИИЭФА),
Email: min-anat@mail.ru
Россия, Санкт-Петербург
А. Б. Минеев
Научно-исследовательский институт электрофизической аппаратуры им. Д.В. Ефремова (НИИЭФА),
Email: min-anat@mail.ru
Россия, Санкт-Петербург
Н. Н. Бахарев
Физико-технический институт им. А.Ф. Иоффе РАН
Email: min-anat@mail.ru
Россия, Санкт-Петербург
Э. Н. Бондарчук
Научно-исследовательский институт электрофизической аппаратуры им. Д.В. Ефремова (НИИЭФА),
Email: min-anat@mail.ru
Россия, Санкт-Петербург
В. К. Гусев
Физико-технический институт им. А.Ф. Иоффе РАН
Email: min-anat@mail.ru
Россия, Санкт-Петербург
Н. С. Жильцов
Физико-технический институт им. А.Ф. Иоффе РАН
Email: min-anat@mail.ru
Россия, Санкт-Петербург
Е. О. Киселев
Физико-технический институт им. А.Ф. Иоффе РАН
Email: min-anat@mail.ru
Россия, Санкт-Петербург
Г. С. Курскиев
Физико-технический институт им. А.Ф. Иоффе РАН
Email: min-anat@mail.ru
Россия, Санкт-Петербург
В. Б. Минаев
Физико-технический институт им. А.Ф. Иоффе РАН
Email: min-anat@mail.ru
Россия, Санкт-Петербург
Ю. В. Петров
Физико-технический институт им. А.Ф. Иоффе РАН
Email: min-anat@mail.ru
Россия, Санкт-Петербург
И. Ю. Родин
Научно-исследовательский институт электрофизической аппаратуры им. Д.В. Ефремова (НИИЭФА),
Email: min-anat@mail.ru
Россия, Санкт-Петербург
О. М. Скрекель
Физико-технический институт им. А.Ф. Иоффе РАН
Email: min-anat@mail.ru
Россия, Санкт-Петербург
А. Ю. Тельнова
Физико-технический институт им. А.Ф. Иоффе РАН
Email: min-anat@mail.ru
Россия, Санкт-Петербург
Е. Е. Ткаченко
Физико-технический институт им. А.Ф. Иоффе РАН
Email: min-anat@mail.ru
Россия, Санкт-Петербург
В. А. Токарев
Физико-технический институт им. А.Ф. Иоффе РАН
Email: min-anat@mail.ru
Россия, Санкт-Петербург
Е. А. Тюхменева
Физико-технический институт им. А.Ф. Иоффе РАН
Email: min-anat@mail.ru
Россия, Санкт-Петербург
П. Б. Щеголев
Физико-технический институт им. А.Ф. Иоффе РАН
Автор, ответственный за переписку.
Email: min-anat@mail.ru
Россия, Санкт-Петербург
Список литературы
- Сахаров Н.В., Гусев В.К., Ибляминова А.Д., Ка-вин А.А., Каменщиков С.Н., Курскиев Г.С., Лоба-нов К.М., Минаев В.Б., Минеев А.Б., Патров М.И., Петров Ю.В., Толстяков С.Ю. // Физика плазмы. 2017. Т. 43. С. 344.
- Сахаров Н.В., Гусев В.К., Кавин А.А., Каменщи-ков С.Н., Лобанов К.М., Минеев А.Б., Патров М.И., Петров Ю.В. // Физика плазмы. 2018. Т. 44. С. 335.
- ITER Physics Basis. // 1999. Nuclear Fusion. V. 39. P. 2137.
- Eidietis N.W., Gerhardt S.P., Granetz R.S., Kawano Y., Lehnen M., Pautasso G., Riccardo V., Tanna R.L., Thornton A.J. // 2015. Nuclear Fusion. V. 55. P. 063030.
- Mineev A.B., Bondarchuk E.N., Kavin A.A., Konin A.Yu., Rodin I.Yu., Tanchuk V.N., Filatov O.G., Bakha-rev N.N., Zhilzov N.S., Kurskiev G.S., Kiselev E.O., Minaev V.B., Sakharov N.V., Petrov Yu.V., Telnova A.Yu. // Physics of Atomic Nuclei. 2022. V. 85. P. 1194.
- Mineev A.B., Bondarchuk E.N., Kavin A.A., Konin A.Yu., Rodin I.Yu., Tanchuk V.N., Trofimov V.A., Filatov O.G., Bakharev N.N., Zhilzov N.S., Kurskiev G.S., Kise-lev E.O., Minaev V.B., Sakharov N.V., Petrov Yu.V., Telnova A.Yu. // Physics of Atomic Nuclei. 2022. V. 85. P. 1205.
- Mineev A.B., Minaev V.B., Sakharov N.V., Bakharev N.N., Bondarchuk E.N., Voronova A.A., Glushaev A.M., Grigoriev S.A., Gusev V.K., Zhiltsov N.S., Zapretilina E.R., Kavin A.A., Kiselev E.O., Konin A.Yu., Kudriavtseva A.M., Kurskiev G.S., Labusov A.N., Petrov Yu.V., Rodin I.Yu., Tanchuk V.N., Tel’nova A.Yu., Trofimov V.A., Fila-tov O.G. // Physics of Atomic Nuclei. 2022. V. 85. P. S17.
- Vasiliev V.I., Kostsov Yu.A., Lobanov K.M., Makaro-va L.P., Mineev A.B., Gusev V.K., Levin R.G., Petrov Yu.V., Sakharov N.V. // Nuclear Fusion. 2006. V. 46. P. S625.
- Сахаров Н.В., Воронин А.В., Гусев В.К., Кавин А.А., Каменщиков С.Н., Лобанов К.М., Минаев В.Б., Новохацкий А.Н., Патров М.И., Петров Ю.В., Щего-лев П.Б. // Физика плазмы. 2015. Т. 41. С. 1076.
- Gerhardt S.P., Menard J.E. and the NSTX Team // N-uclear Fusion. 2009. V. 49. P. 025005
Дополнительные файлы

















