ПЕРВЫЕ ЭКСПЕРИМЕНТЫ ПО УМЕНЬШЕНИЮ ТЕПЛОВОЙ НАГРУЗКИ НА ДИВЕРТОРНЫЕ ПЛАСТИНЫ ТОКАМАКА ГЛОБУС-М2 С ПОМОЩЬЮ ИНЖЕКЦИИ АЗОТА И СОПОСТАВЛЕНИЕ С РЕЗУЛЬТАТАМИ МОДЕЛИРОВАНИЯ
- Авторы: Жильцов Н.С.1, Киселев Е.О.1, Курскиев Г.С.1, Минаев В.Б.1, Мирошников И.В.1, Молчанов П.А.2, Новохацкий А.Н.1, Петров Ю.В.1, Рожанский В.А.2, Сахаров Н.В.1, Тельнова А.Ю.1, Тимохин В.М.2, Ткаченко Е.Е.1, Токарев В.А.1, Тюхменева Е.А.1, Щеголев П.Б.1, Хромов Н.А.1, Бахарев Н.Н.1, Векшина Е.О.2, Гусев В.К.1, Долгова К.В.2
-
Учреждения:
- Физико-технический институт им. А.Ф. Иоффе РАН
- Санкт-Петербургский политехнический университет Петра Великого
- Выпуск: Том 49, № 12 (2023)
- Страницы: 1327-1336
- Раздел: ТОКАМАКИ
- URL: https://ogarev-online.ru/0367-2921/article/view/233142
- DOI: https://doi.org/10.31857/S0367292123601029
- EDN: https://elibrary.ru/CFFAWX
- ID: 233142
Цитировать
Полный текст
Аннотация
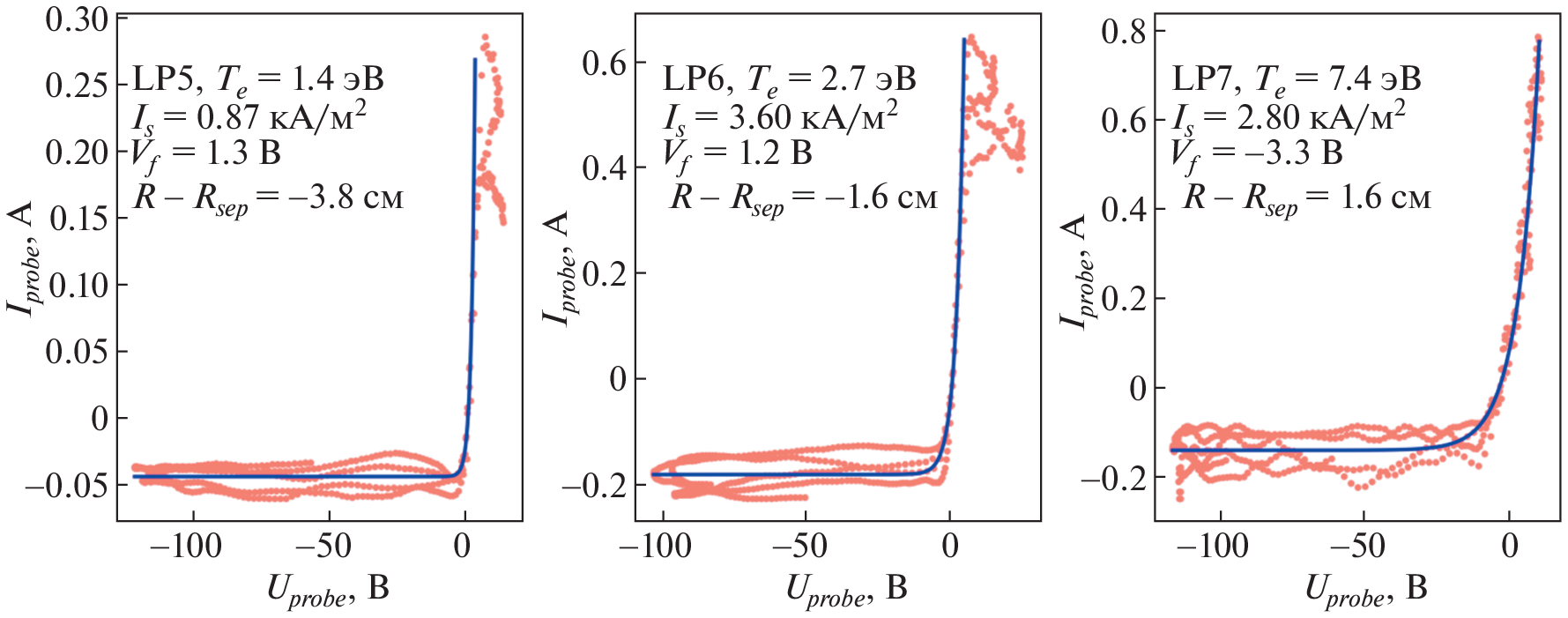
На компактном сферическом токамаке Глобус-М2 проведена серия экспериментов для изучения влияния инжекции азота на параметры разряда. Эксперименты проводились в дейтериевых разрядах в диверторной конфигурации, дополнительный нагрев осуществлялся пучком нейтрального дейтерия. При инжекции было зафиксировано значительное уменьшение электронной температуры вблизи дивертора и резкое падение плотности теплового потока на диверторные пластины, при этом плотность и температура в основной плазме изменялись незначительно. Моделирование с помощью кода SOLPS-ITER показало удовлетворительное согласие с экспериментом.
Ключевые слова
Об авторах
Н. С. Жильцов
Физико-технический институт им. А.Ф. Иоффе РАН
Email: Nikolay.Khromov@mail.ioffe.ru
Россия, Санкт-Петербург
Е. О. Киселев
Физико-технический институт им. А.Ф. Иоффе РАН
Email: Nikolay.Khromov@mail.ioffe.ru
Россия, Санкт-Петербург
Г. С. Курскиев
Физико-технический институт им. А.Ф. Иоффе РАН
Email: Nikolay.Khromov@mail.ioffe.ru
Россия, Санкт-Петербург
В. Б. Минаев
Физико-технический институт им. А.Ф. Иоффе РАН
Email: Nikolay.Khromov@mail.ioffe.ru
Россия, Санкт-Петербург
И. В. Мирошников
Физико-технический институт им. А.Ф. Иоффе РАН
Email: Nikolay.Khromov@mail.ioffe.ru
Россия, Санкт-Петербург
П. А. Молчанов
Санкт-Петербургский политехнический университет Петра Великого
Email: Nikolay.Khromov@mail.ioffe.ru
Россия, Санкт-Петербург
А. Н. Новохацкий
Физико-технический институт им. А.Ф. Иоффе РАН
Email: Nikolay.Khromov@mail.ioffe.ru
Россия, Санкт-Петербург
Ю. В. Петров
Физико-технический институт им. А.Ф. Иоффе РАН
Email: Nikolay.Khromov@mail.ioffe.ru
Россия, Санкт-Петербург
В. А. Рожанский
Санкт-Петербургский политехнический университет Петра Великого
Email: Nikolay.Khromov@mail.ioffe.ru
Россия, Санкт-Петербург
Н. В. Сахаров
Физико-технический институт им. А.Ф. Иоффе РАН
Email: Nikolay.Khromov@mail.ioffe.ru
Россия, Санкт-Петербург
А. Ю. Тельнова
Физико-технический институт им. А.Ф. Иоффе РАН
Email: Nikolay.Khromov@mail.ioffe.ru
Россия, Санкт-Петербург
В. М. Тимохин
Санкт-Петербургский политехнический университет Петра Великого
Email: Nikolay.Khromov@mail.ioffe.ru
Россия, Санкт-Петербург
Е. Е. Ткаченко
Физико-технический институт им. А.Ф. Иоффе РАН
Email: Nikolay.Khromov@mail.ioffe.ru
Россия, Санкт-Петербург
В. А. Токарев
Физико-технический институт им. А.Ф. Иоффе РАН
Email: Nikolay.Khromov@mail.ioffe.ru
Россия, Санкт-Петербург
Е. А. Тюхменева
Физико-технический институт им. А.Ф. Иоффе РАН
Email: Nikolay.Khromov@mail.ioffe.ru
Россия, Санкт-Петербург
П. Б. Щеголев
Физико-технический институт им. А.Ф. Иоффе РАН
Email: Nikolay.Khromov@mail.ioffe.ru
Россия, Санкт-Петербург
Н. А. Хромов
Физико-технический институт им. А.Ф. Иоффе РАН
Email: Nikolay.Khromov@mail.ioffe.ru
Россия, Санкт-Петербург
Н. Н. Бахарев
Физико-технический институт им. А.Ф. Иоффе РАН
Email: Nikolay.Khromov@mail.ioffe.ru
Россия, Санкт-Петербург
Е. О. Векшина
Санкт-Петербургский политехнический университет Петра Великого
Email: Nikolay.Khromov@mail.ioffe.ru
Россия, Санкт-Петербург
В. К. Гусев
Физико-технический институт им. А.Ф. Иоффе РАН
Email: Nikolay.Khromov@mail.ioffe.ru
Россия, Санкт-Петербург
К. В. Долгова
Санкт-Петербургский политехнический университет Петра Великого
Автор, ответственный за переписку.
Email: Nikolay.Khromov@mail.ioffe.ru
Россия, Санкт-Петербург
Список литературы
- Kukushkin A.S., Pacher H.D., Loarte A., Komarov V., Kotov V., Merola M., Pacher G.W. and Reiter D. // Nucl. Fusion. 2009. V. 49. № 7. P. 075008. https://doi.org/10.1088/0029-5515/49/7/075008
- Leonard A.W. // Plasma Phys. Control. Fusion. 2018. V. 60. № 4. 044001 https://doi.org/10.1088/1361-6587/aaa7a9
- Reimold F., Wischmeier M., Bernert M., Potzel S., Kallenbach A., Müller H.W., Sieglin B., Stroth U. and the ASDEX Upgrade Team // Nucl. Fusion. 2015. V. 55. № 3. P. 033004. https://doi.org/10.1088/0029-5515/55/3/033004
- Komm M., Khodunov I., Cavalier J., Vondracek P., Henderson S., Seidl J., Horacek J., Naydenkova D., Ada-mek J., Bilkova P., Bohm P., Devitre A., Dimitrova M., Elmore S., Faitsch M., Hacek P., Havlicek J., Havra-nek A., Imrisek M., Krbec J., Peterka M., Panek R., Samoylov O., Sos M., Tomes M., Tomova K., Weinzettl V. and The EUROfusion MST1 Team // Nucl. Fusion. 2019. V. 59. № 10. P. 106035. https://doi.org/10.1088/1741-4326/ab34d2
- Kallenbach A., Bernert M., Dux R., Casali L., Eich T., Giannone L., Herrmann A., McDermott R., Mlynek A., Müller H.W., Reimold F., Schweinzer J., Sertoli M., Tardini G., Treutterer W., Viezzer E., Wenninger R., Wischmeier M. and the ASDEX Upgrade Team. // Plasma Phys. Control. Fusion. 2013. V. 55. № 12. P. 124041. https://doi.org/10.1088/0741-3335/55/12/124041
- Курскиев Г.С., Жильцов Н.С., Коваль А.Н., Кор-нев А.Ф., Макаров А.М., Мухин Е.Е., Петров Ю.В., Сахаров Н.В., Соловей В.А., Ткаченко Е.Е., Толстяков С.Ю., Чернаков П.В. // Письма в ЖТФ. 2021. Т. 47. Вып. 24. С. 41. https://doi.org/10.21883/PJTF.2021.24.51799.19019
- Counsell G.F., Ahn J.-W., Akers R., Arends E., Fiel-ding S.J., Helander P., Kirk A., Meyer H., Tabasso A., Wilson H., Yang. Y. // J. Nucl. Mater. 2003. V. 313–316. № 3. P. 804. https://doi.org/10.1016/S0022-3115(02)01439-3
- Хромов Н.А., Векшина Е.О., Гусев В.К., Литунов-ский Н.В., Патров М.И., Петров Ю.В., Саха-ров Н.В. // ЖТФ. 2021. Т. 91. Вып. 3. С. 421. https://doi.org/10.21883/JTF.2021.03.50518.227-20
- Février O., Theiler C., De Oliveira H., Labit B., Fedorczak N., Baillod A. // Review of Scientific Instruments. 2018. V. 89. № 5. P. 053502. https://doi.org/10.1063/1.5022459
- Kuang A.Q., Brunner D., LaBombard B., Leccacorvi R., Vieira R.// Review of Scientific Instruments. 2018. V. 89. № 4. P. 043512. https://doi.org/10.1063/1.5023905
- Loarte A., Monk R.D., Martin-Solis J.R., Campbell D.J., Chankin A.V., Clement S., Davies S.J., Ehrenberg J., Erents S.K., Guo H.Y., Harbour P.J., Horton L.D., Inges-son L.C., J¨ackel H., Lingertat J., Lowry C.G., Mag-gi C.F., Matthews G.F., McCormick K., O’Brien D.P., Reichle R., Saibene G., Smith R.J., Stamp M.F., Stork D., Vlases G.C. // Nucl. Fusion. 1998. V. 38. № 3. P. 331. https://doi.org/10.1088/0029-5515/38/3/303
- Stangeby P.C. The Plasma Boundary of Magnetic FusionDevices (IoP Publishing, Bristol), 2000.
- Antar G.Y., Counsell G., Ahn J.-W., Yang Y., Price M., Tabasso A., Kirk A. // Phys. Plasmas. 2005. V. 12. № 3. 032506. https://doi.org/10.1063/1.1861894
- Stangeby P.C., McCracken G.M. // Nucl. Fusion. 1990. V. 30. № 7. 1225. https://doi.org/10.1088/0029-5515/30/7/005
- Eich T., Leonard A.W., Pitts R.A., Fundamenski W., Goldston R.J., Gray T.K., Herrmann A., Kirk A., Kallenbach A., Kardaun O., Kukushkin A.S., LaBombard B., Maingi R., Makowski M.A., Scarabosio A., Sieglin B., Terry J., Thornton A. // Nucl. Fusion. 2013. V. 53. № 9. P. 093031. https://doi.org/10.1088/0029-5515/53/9/093031
- Loarte A., Hughes J.W., Reinke M.L., Terry J.L., LaBom-bard B., Brunner D., Greenwald M., Lipschultz B., Ma Y., Wukitch S., Wolfe S. // Phys. Plasmas. 2011. V. 18. № 5. P. 056105. https://doi.org/10.1063/1.3567547
- Kallenbach A., Dux R., Fuchs J.C., Fischer R., Geiger B., Giannone L., Herrmann A., Lunt T., Mertens V., McDermott R., Neu R., Pütterich T., Rathgeber S., Rohde V., Schmid K., Schweinzer J., Treutterer W. and ASDEX Upgrade Team // Plasma Phys. Control. Fusion. 2010. V. 52. № 5. P. 055002. https://doi.org/10.1088/0741-3335/52/5/055002
- Rozhansky V., Kaveeva E., Senichenkov I., Sytova E., Veselova I., Voskoboynikov S., Coster D. // Contrib. Plasma Phys. 2018. V. 58. № 6–8. P. 540. https://doi.org/10.1002/ctpp.201700119
- Vekshina E., Dolgova K., Rozhansky V., Kaveeva E., Se-nichenkov I ., Molchanov P., Timokhin V., Khromov N., Zhiltsov N., Bakharev N., Kiselev E., Tuhmeneva E. // Phys. Plasmas. 2023. V. 30. № 042504. https://doi.org/10.1063/5.0134542
- Khodunov I., Komm M., Havranek A., Adamek J., Bohm P., Cavalier J., Seidl J., Devitre A., Dimitrova M., Elmore S., Faitsch M., Hacek P., Havlicek J., Hron M., Imrisek M., Krbec J., Peterka M., Panek R., Samoy-lov O., Tomes M., Tomova K., Vondracek P., Weinzettl V. and the EUROfusion MST1 Team // Plasma Phys. Control. Fusion. 2021. V. 63. № 6. P. 065012. https://doi.org/10.1088/1361-6587/abf03e
Дополнительные файлы










