Dynamics of a Plasma Cloud Generated by a Compact Coaxial Gun upon Expansion into Vacuum and Large-Volume Background Plasma in an External Magnetic Field
- Authors: Nikolenko A.S.1, Gushchin M.E.1, Korobkov S.V.1, Zudin I.Y.1, Aidakina N.A.1, Strikovskiy A.V.1, Loskutov K.N.1
-
Affiliations:
- Federal Research Center Institute of Applied Physics, Russian Academy of Sciences
- Issue: Vol 49, No 11 (2023)
- Pages: 1101-1117
- Section: SPACE PLASMA
- URL: https://ogarev-online.ru/0367-2921/article/view/233133
- DOI: https://doi.org/10.31857/S0367292123600723
- EDN: https://elibrary.ru/HZPPAT
- ID: 233133
Cite item
Full Text
Abstract
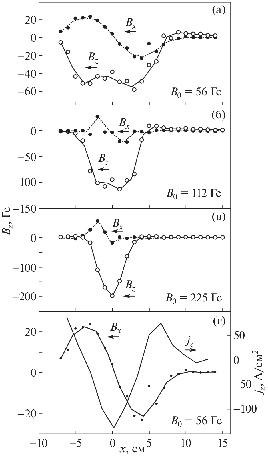
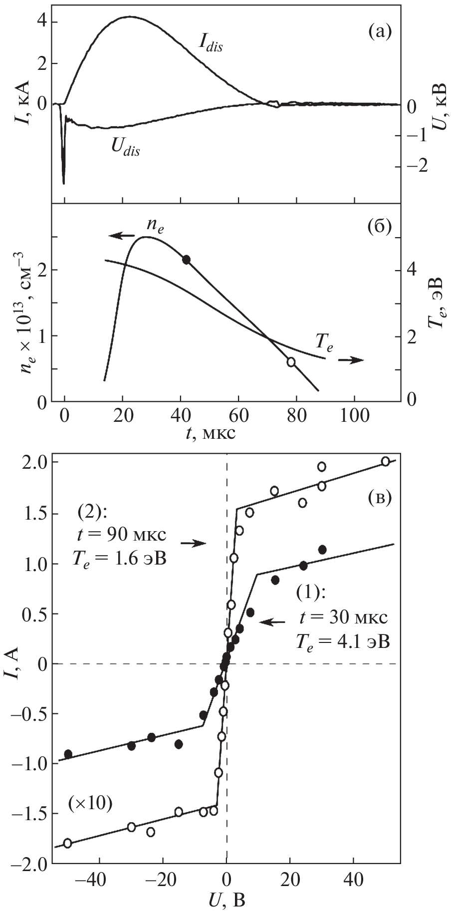
Results of experiments on injection of dense plasma clouds created by a small-scale coaxial generator into vacuum and large-volume background plasma in an ambient magnetic field are presented. The regime of an “infinite” background medium that allows studying the plasma-cloud dynamics on the scale of about one meter in the directions perpendicular and parallel to a quasi-uniform magnetic field is realized on “Krot” plasma device. The dynamics of the diamagnetic cavity appearing upon magnetic-field expulsion by a plasma blob, the electromagnetic noise appearing in the cavity, along with the evolution of plasma-cloud structure during injection and at the stage of its decay, were studied. It is demonstrated that the key properties of the cloud dynamics that are typical of the active space and high-energy laboratory experiments, including complete expulsion of the magnetic field from the cloud and development of the flute instability at its boundary, are reproduced at low injection speed (below 30 km/s) and low plasma energy (on the order of 0.1 J).
About the authors
A. S. Nikolenko
Federal Research Center Institute of Applied Physics, Russian Academy of Sciences
Email: nikolenko@ipfran.ru
603950, Nizhny Novgorod, Russia
M. E. Gushchin
Federal Research Center Institute of Applied Physics, Russian Academy of Sciences
Email: nikolenko@ipfran.ru
603950, Nizhny Novgorod, Russia
S. V. Korobkov
Federal Research Center Institute of Applied Physics, Russian Academy of Sciences
Email: nikolenko@ipfran.ru
603950, Nizhny Novgorod, Russia
I. Yu. Zudin
Federal Research Center Institute of Applied Physics, Russian Academy of Sciences
Email: nikolenko@ipfran.ru
603950, Nizhny Novgorod, Russia
N. A. Aidakina
Federal Research Center Institute of Applied Physics, Russian Academy of Sciences
Email: nikolenko@ipfran.ru
603950, Nizhny Novgorod, Russia
A. V. Strikovskiy
Federal Research Center Institute of Applied Physics, Russian Academy of Sciences
Email: nikolenko@ipfran.ru
603950, Nizhny Novgorod, Russia
K. N. Loskutov
Federal Research Center Institute of Applied Physics, Russian Academy of Sciences
Author for correspondence.
Email: nikolenko@ipfran.ru
603950, Nizhny Novgorod, Russia
References
- Marshall J. // Phys. Fluids. 1960. V. 3. P. 134.
- Блинов П.И., Черемных П.А. // ТВТ. 1967. Т. 5. С. 388.
- Oboyashi T. // Planet. Space Sci. 1963. V. 10. P. 47.
- Albee P.R., Kanellakos D.P. // J. Geophys. Res. 1968. V. 73. № 3. P. 1039.
- Burrows A. // Nature. 2000. V. 403. P. 727.
- De Young D.S. // Science. 1991. V. 252. P. 389.
- Wurden G.A., Hsu S.C., Intrator T.P., Grabowski T.C., Degnan J.H., Domonkos M., Turchi P.J., Campbell E.M., Sinars D.B., Herrmann M.C., Betti R., Bauer B.S., Lindemuth I.R., Siemon R.E., Miller R.L., Laberge M., Delage M. // J. Fusion Energ. 2016. V. 35. P. 69.
- Albertazzi B., Ciardi A., Nakatsutsumi M., Vinci T., Béard J., Bonito R., Billette J., Borghesi M., Burkley Z., Chen S.N., Cowan T.E., Herrmannsdörfer T., Higgin-son D.P., Kroll F., Pikuz S.A., Naughton K., Romag-nani L., Riconda C., Revet G., Riquier R., Schlen-voigt H.P., Skobelev I.Yu., Faenov A.Ya., Soloviev A., Huarte-Espinosa M., Frank A., Portugall O., Pépin H., Fuchs J. // Science. 2014. V. 346. P. 325.
- Haerendel G. // Front. Astron. Space Sci. 2019. V. 6. A. 29.
- Gavrilov B.G., Podgorny A.I., Podgorny I.M., Sobya-nin D.B., Zetzer J.I., Erlandson R.E., Meng C.I., Stoyanov B.J. // Geophys. Res. Lett. 1999. V. 26. P. 1549.
- Erlandson R.E., Meng C.I., Swaminathan P.K., Ku-mar C.K., Dogra V.K., Stoyanov B.J., Gavrilov B.G., Kiselev Y., Zetzer J.I., Stenbaek-Nielsen H.C., Lynch K.A., Pfaff R.F., Delamere P.A., Bounds S., Gatsonis N.A. // J. Spacecr. Rockets. 2004. V. 41. P. 483.
- Dzubenko N.I., Zhilinsky A.P., Zhulin I.A., Ivchen-ko I.S., Molotai A.A., Rozhansky V.A., Ruzhin Yu.Ya., Skomarovsky V.S., Tsendin L.D. // Planet. Space Sci. 1983. V. 31. P. 849.
- Holmgren G., Bostrom R., Kelley M.C., Kintner P.M., Lundin R., Fahleson U.V., Bering E.A., Sheldon W.R. // J. Geophys. Res. 1980. V. 85. P. 5043.
- Bernhardt P.A., Roussel-Dupre R.A., Pongratz M.B., Haerendel G., Valenzuela A., Gurnett D.A., Ander-son R.R. // J. Geophys. Res. 1987. V. 92. P. 5777.
- Torbert R.B., Kletzing C.A., Liou K., Rau D. // J. Geophys. Res. 1992. V. 19. P. 973.
- Prech L., Ruzhin Y.Y., Dokukin V.S., Nemecek Z., Safrankova J. // Front. Astron. Space Sci. 2018. V. 5. A. 46.
- Haerendel G., Sagdeev R.Z. // Adv. Space Res. 1981. V. 1. P. 29.
- Баннов С.Г., Житлухин А.М., Моторин А.А., Ступицкий Е.Л., Холодов А.С., Черковец В.Е. // Геомагнетизм и аэрономия. 2019. Т. 59. С. 340.
- Белов А.С., Вдовиченко И.А., Курина Л.Е. // Геомагнетизм и аэрономия. 2017. Т. 57. С. 635.
- Friedman H.W., Patrick R.M. // Phys. Fluids. 1971. V. 14. P. 1889.
- Morse D.L., Destler W.W. // J. Geophys. Res. 1973. V. 78. P. 7417.
- Гаркуша И.Е., Соляков Д.Г., Чеботарев В.В. Мах-лай В.А., Кулик Н.В. // Физика плазмы. 2019. Т. 45. С. 179.
- Zakharov Y.P. // IEEE Trans Plasma Sci. 2003. V. 31. P. 1243.
- Gekelman W., Van Zeeland M., Vincena S., Pribyl P. // J. Geophys. Res. 2003. V. 108. P. 1281.
- Mostovych A.N., Ripin B.H., Stamper J.A. // Phys. Rev. Lett. 1989. V. 62. P. 2837.
- Schaeffer D.B., Hofer L.R., Knall E.N., Heuer P.V., Constantin C.G., Niemann C. // High Power Laser Sci. Eng. 2018. V. 6. E. 17.
- Underwood T.C., Loebner K.T., Miller V.A., Cappelli M.A. // Sci. Rep. 2019. V. 9. P. 1.
- Zhang Y., Fisher D.M., Gilmore M., Hsu S.C., Lynn A.G. // Phys. Plasmas. 2018.V. 25. P. 055709.
- Бескин В.С., Крауз В.И., Ламзин С.А. // УФН. 2022. Т. 193. С. 345.
- Bellan P.M. // J. Plasma Phys. 2018. V. 84. P. 755840501.
- De la Fuente H., Forsen H.K. // Rev. Sci. Instrum.1971. V. 42. P. 1453.
- Mendel C.W. Jr., Zagar D.M., Mills G.S., Humphries S., Goldstein S.A. // Rev. Sci. Instrum. 1980. V. 51. P. 1641.
- Жерлицын А.А., Ковальчук Б.М., Педин Н.Н. // ПТЭ. 2014. Т. 4. С. 83.
- Гаврилов Б.Г., Кожухов С.А., Собянин Д.Б. // ЖТФ. 1994. Т. 64. С. 6.
- Witherspoon F.D., Case A., Messer S.J., Bomgardner R., Phillips M.W., Brockington S., Elton R. // Rev. Sci. Instrum. 2009. V. 80. P. 083506.
- Гущин М.Е., Коробков С.В., Терехин В.А., Стриковский А.В., Гундорин В.И., Зудин И.Ю., Айдакина Н.А., Николенко А.С. // Письма ЖЭТФ. 2018. Т. 108. С. 416.
- Коробков С.В., Гущин М.Е., Гундорин В.И., Зудин И.Ю., Айдакина Н.А., Стриковский А.В., Николенко А.С. // Письма ЖТФ. 2019. Т. 45. С. 45.
- Коробков С.В., Николенко А.С., Гущин М.Е., Стриковский А.В, Зудин И.Ю., Айдакина Н.А., Шайхисламов И.Ф., Руменских М.С., Земсков Р.С., Стародубцев М.В. // Астрон. ж. 2023. Т. 100. С. 107.
- Burdonov K., Bonito R., Giannini T., Aidakina N., Argiroffi C., Beard J., Chen S.N., Ciardi A., Ginzburg V., Gubskiy K., Gundorin V., Gushchin M., Kochetkov A., Korobkov S., Kuzmin A., Kuznetsov A., Pikuz S., Re-vet G., Ryazantsev S., Shaykin A., Shaykin I., Soloviev A., Starodubtsev M., Strikovskiy A., Yao W., Yakovlev I., Zemskov R., Zudin I., Khazanov E., Orlando S., Fuchs J. // Astron. Astrophys. 2021. V. 648. P. A81.
- Айдакина Н.А., Галка А.Г., Гундорин В.И., Гущин М.Е., Зудин И.Ю., Коробков С.В., Костров А.В., Лоску-тов К.Н., Могилевский М.М., Привер С.Э., Стриковский А.В., Чугунин Д.В., Янин Д.В. // Геомагнетизм и аэрономия. 2018. Т. 58. С. 331.
- Леонов С.Б., Лукьянов Г.А. // ПМТФ. 1994. № 5. С. 13.
- Соловьев А.А., Бурдонов К.Ф., Котов А.В., Перева-лов С.Е., Земсков Р.С., Гинзбург В.Н., Кочетков А.А., Кузьмин А.А., Шайкин А.А., Шайкин И.А., Хаза-нов Е.А., Яковлев И.В., Лучинин А.Г., Морозкин М.В., Проявин М.Д., Глявин М.Ю., Фукс Ж., Стародуб-цев М.В. // Изв. вузов. Радиофизика. 2020. Т. 63. С. 973.
- Tang H.B., Hu G.Y., Liang Y.H., Tao T., Wang Y.L., Hu P., Zhao B., Zheng, J. // Plasma Phys. Control. Fusion. 2018. V. 60. P. 055005.
- Levesque J.M., Liao A.S., Hartigan P., Young R.P., Trantham M., Klein S., Gray W., Manuel M., Fiksel G., Katz J., Li C., Birkel A., Tzeferacos P., Hansen E.C., K-hiar B., Foster J.M., Kuranz C.C. // Phys. Plasmas. 2022. V. 29. P 012106.
- Revet G., Chen S.N., Bonito R., Khiar B., Filippov E., Argiroffi C., Higginson D.P., Orlando S., Béard J., Ble-cher M., Borghesi M., Burdonov K., Khaghani D., Naughton K., Pépin H., Portugall O., Riquier R., Rodriguez R., Ryazantsev S.N., Yu Skobelev I., Soloviev A., Willi O., Pikuz S., Ciardi A., Fuchs J. // Sci. Adv. 2017. V. 3. P. E1700982.
- Захаров Ю.П., Оришич А.М., Пономаренко А.Г., Посух В.Г. // Физика плазмы. 1986. Т. 12. С. 1170.
- Ripin B.H., Huba J.D., McLean E.A., Manka C.K., Peyser T., Burris H.R., Grun J. // Phys. Fluids B. 1993. V. 5. № 10. P. 3491.
- Bonde J., Vincena S., Gekelman W. // Phys. Plasmas. 2018. V. 25. P. 042110.
- VanZeeland M., Gekelman W. // Phys. Plasmas. 2004. V. 11. P. 320.
- Райзер Ю.П. // ПМТФ. 1963. Т 6. С. 19.
- Pisarczyk T., Bryunetkin B.A., Faenov A.Ya., Faryński A., Fiedorowicz H., Koshevoy M., Miklaszewski R., Mroczkowski M., Osipov M.V., Parys P., Skobelev I., Szczurek M. // Physica Scripta. 1994. V. 50. P. 72.
- Okada S., Sato K., Sekiguchi T. // J. Phys. Soc. Japan. 1979. V. 46. P. 355.
- Colette A., Gekelman W. // Phys. Plasmas. 2011. V. 18. P. 055705.
- Hurtig T., Brenning N., Raadu M. // Phys. Plasmas. 2004. V. 11. P. L33.
- Smith R.L., Brice N. // J. Geophys. Res. 1964. V. 69. P. 5029.
- Захаров Ю.П., Антонов В.М., Бояринцев Э.Л., Мелехов А.В., Посух B.Г., Шайхисламов И.Ф., Пика-лов В.В. // Физика плазмы. 2006. Т. 32. С. 207.
- Winske D. // Phys. Fluids B1. 1989. V. 9. P. 1900.
- Dimonte G., Wiley L. // Phys. Rev. Lett. 1991. V. 67. P. 1755.
- Парамоник И.П., Дивин А.В., Шайхисламов И.Ф., Семенов В.С. // Сб. тез. 18-й ежегодной конференции “Физика плазмы в солнечной системе”. М., 2023. С. 202.
- Huba J.D. // Phys. Rev. Lett. 1994. V. 72. P. 2033.
Supplementary files













